What is LiDAR-Light Detection And Ranging?
2024-11-27 | By DWARAKAN RAMANATHAN
What is LiDAR?
LiDAR can be expanded as Light Detection and Ranging. A Laser (Light Amplification by Stimulated Emission of Radiation) light source is emitted at an object. This is used to measure the distance between the object and the light source using a light detector, a receiver that detects the light that bounces off the object and also calculates the time it takes to reach the object and return to the source. The gif shown below illustrates the workings of the LiDAR.
Simple Illustration of how LiDAR works
Working
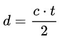
LiDAR works on a basic principle, the distance traveled by the light is directly proportional or linear to the time taken for the light to travel and the speed of the light. The formula to calculate the distance traveled is shown below.

d = Distance traveled by the light
c = Speed of light (3 x 10^8 m/s)
t = Total time taken by the light source from source to object and then back to the detector
The actual formula is just the product of speed(c) and time(t). Here, we are dividing the whole product by 2 because the light travels twice, that is, from the source to the object and again from the object to the source.
Types of LiDAR
- Airborne LiDAR: Airborne LiDAR systems also known as airborne laser scanning systems, use LiDAR scanners mounted under the aircraft to generate 3D models of the ground surface.
- Bathymetric LiDAR: Bathymetric LiDAR emits green laser beams at a wavelength that can penetrate water without reducing its speed to generate models of the seafloor.
- Space-Based LiDAR: Space agencies like NASA use space-based LiDAR for spacecraft navigation and 3D modeling of celestial bodies, it is also used in autonomous vehicles to detect objects in space.
- Terrestrial LiDAR: Terrestrial LiDAR is used for terrain and landscape mapping which can easily find subtle elevations in the ground and many more.
Advantages
LiDAR has high accuracy and precision over other methods to model a landscape or find the distance between the source and the object. It can penetrate into a medium like water and other substances that may disturb the measurement of the distance. It is widely used to create or generate models of landscape because of its rapid data collection and speed.
Disadvantages
The LiDAR technology is so advantageous because of the technology used in it so LiDAR is expensive. It is weather-dependent, moving particles like raindrops can disturb the distance calculation and require a clear line of sight without any obstacle between the source and the target object.
Conclusion
LiDAR technology is widely used in various fields, such as autonomous vehicles, mapping, manufacturing, and defense. This technology is constantly evolving, allowing for the manipulation of light sources to create more modern and efficient options. While this can be costly, it offers significant benefits. This is a broad field with much to explore regarding different light sources, their characteristics, and how light detectors operate.

