Comprendre comment contrôler efficacement la puissance et la tension de signal à l'aide de convertisseurs RMS-CC
Avec la contribution de Rédacteurs nord-américains de DigiKey
2018-09-25
Les contrôleurs industriels et de conversion de puissance à découpage utilisent des transistors de commutation, des redresseurs contrôlés par semi-conducteurs et des dispositifs à thyristor associés pour contrôler la puissance en ajustant le rapport cyclique des formes d'onde d'entrée. Les formes d'onde produites sont très complexes. Par conséquent, pour mesurer et surveiller leurs niveaux de puissance, les concepteurs doivent déterminer la valeur efficace (RMS) des formes d'onde de courant et de tension. C'est là que les convertisseurs RMS-CC peuvent s'avérer utiles.
Bien qu'il soit possible d'effectuer des calculs programmés sur une forme d'onde acquise par un oscilloscope pour déterminer la valeur efficace, cela peut prendre beaucoup de temps. Les convertisseurs RMS-CC simplifient les mesures de puissance en générant en temps réel un niveau CC proportionnel au niveau RMS de la forme d'onde d'entrée. Ils sont largement utilisés dans les commandes et instruments de contrôle de la puissance pour mesurer le niveau RMS de formes d'onde complexes, non sinusoïdales.
Cet article explique les concepts de calcul de valeur efficace et de puissance. Il décrit également le fonctionnement des convertisseurs RMS-CC et leur application.
Mesurer des formes d'onde complexes
Les formes d'onde complexes peuvent être difficiles à gérer, car l'électronique moderne n'utilise plus uniquement des formes d'onde à tension continue ou sinusoïdale (Figure 1). Comment les quantifier ? Quelles mesures décrivent réellement ces formes d'onde ?

Figure 1 : Formes d'ondes complexes fréquemment rencontrées ; contrôleur CA à thyristor (en haut), courant dans une alimentation à découpage (au centre), bruit gaussien aléatoire (en bas). (Source de l'image : DigiKey Electronics)
La forme d'onde du haut provient d'un contrôleur CA à thyristor. Elle présente une valeur moyenne nulle et son amplitude crête-à-crête ne correspond pas linéairement à sa puissance, en particulier à faibles rapports cycliques. La forme d'onde du centre est le courant traversant un FET de puissance dans une alimentation à découpage. La forme d'onde du bas correspond au bruit large bande. Il s'agit d'une forme d'onde non périodique qui présente également une valeur moyenne nulle et peut avoir une valeur de crête très élevée, mais qui a une puissance moyenne limitée.
Les premiers voltmètres CA utilisaient des mesures moyennes redressées à deux alternances pour mesurer la valeur efficace de la tension. Ces voltmètres fonctionnaient bien pour les ondes sinusoïdales, mais les formes d'onde complexes généraient des mesures incorrectes. La seule technique produisant des valeurs efficaces indépendantes de la forme d'onde est la mesure de la valeur efficace.
Qu'est-ce que la valeur efficace ?
La mesure de la valeur efficace est largement reconnue comme fournissant les informations d'amplitude les plus précises sur une forme d'onde. Il s'agit d'un moyen cohérent, impartial et standard de mesurer et de comparer des signaux dynamiques, quelle que soit la forme de l'onde.
La valeur efficace est une mesure fondamentale de l'amplitude d'un signal CA. La valeur efficace affectée au signal est le niveau CC requis pour produire une quantité égale de chaleur dans la même charge. Elle est donc liée à la puissance du signal.
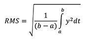
La définition mathématique de la valeur efficace d'une forme d'onde est la valeur obtenue en élevant au carré le signal, en prenant la moyenne, puis en prenant la racine carrée. La fenêtre de temps de calcul de la moyenne doit être suffisamment longue pour permettre le filtrage aux fréquences les plus basses requises pour la mesure. Sous forme d'équation, la valeur efficace d'une forme d'onde par rapport au temps est la suivante :

La valeur efficace est la racine carrée de la tension moyenne au carré. La tension moyenne au carré divisée par l'impédance de la charge correspond à la puissance moyenne délivrée par la forme d'onde, ce qui démontre à nouveau que la valeur efficace est liée à la puissance du signal.
L'équation peut être appliquée numériquement à une forme d'onde acquise par un instrument comme un oscilloscope. Le calcul numérique nécessite une quantité non négligeable de codage de programme. Un convertisseur RMS-CC permet de mesurer une forme d'onde physique sans avoir à la numériser.
Convertisseur RMS-CC
Comme son nom l'indique, le convertisseur RMS-CC est un dispositif qui produit un niveau de sortie CC proportionnel à l'amplitude RMS d'un signal d'entrée. Historiquement, les premiers dispositifs de ce type étaient des instruments qui mesuraient en fait la chaleur produite par la forme d'onde d'entrée qui était connectée à une charge. Ceux-ci ont depuis longtemps été supplantés par des circuits intégrés qui effectuent la même tâche électroniquement.
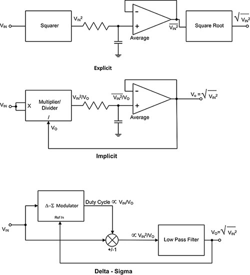
Il existe trois méthodes qui permettent de calculer l'amplitude RMS d'une forme d'onde : topologies de circuit explicite, implicite et Delta-Sigma (Figure 2).

Figure 2 : Il existe trois manières différentes de mesurer la valeur efficace d'une forme d'onde : topologies de circuit explicite, implicite et Delta-Sigma. (Source de l'image : DigiKey Electronics)
Avec la méthode explicite, le signal est élevé au carré, sa moyenne est calculée, puis sa racine carrée est extraite. L'élévation au carré et l'extraction de la racine carrée sont généralement mises en œuvre à l'aide de réseaux de transistors log-antilog. Le calcul de la moyenne est effectué avec un filtre passe-bas RC, nécessitant généralement un condensateur externe pour régler la fréquence de coupure. Cette méthode fonctionne, mais l'opération de racine carrée donne des mesures ayant une plage dynamique très élevée, ce qui implique la possibilité d'erreurs très importantes.
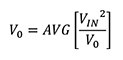
La deuxième méthode est la méthode implicite. Elle améliore les performances de la méthode explicite en réorganisant les opérations mathématiques à l'aide de la rétroaction. L'étage d'entrée est un multiplicateur/diviseur dont la sortie est renvoyée en tant que diviseur. Il s'agit d'une approche intelligente pour éviter l'opération de racine carrée, comme illustré dans les équations 2 à 5 :

Puisque VO est un niveau CC, sa valeur est égale à sa valeur moyenne :

Multiplication des deux côtés de l'équation par VO :
![]()
Enfin, extraction de la racine carrée des deux côtés de l'équation :
![]()
L'AD737JRZ-RL d'Analog Devices est un convertisseur RMS-CC qui utilise la technique de calcul implicite. Il présente une précision de ±0,2 mV ±0,3 % de la mesure. Outre la génération de la valeur efficace du signal d'entrée, il fournit également la valeur redressée moyenne et la valeur absolue.
La dernière technique pour déterminer la valeur efficace est la méthode Delta-Sigma. Dans cette méthode, un modulateur Delta-Sigma (ΔΣ) est utilisé comme diviseur. Un simple commutateur de polarité à la sortie du modulateur sert de multiplicateur. La sortie du ΔΣ est une impulsion avec un rapport cyclique moyen proportionnel au rapport entre le signal d'entrée et le signal de sortie. Cette impulsion de sortie commande le commutateur de polarité entre les valeurs de gain de +1 et -1, ce qui entraîne une sortie proportionnelle au rapport entre l'entrée et la sortie. Le filtre passe-bas fournit une moyenne. Le même calcul que celui utilisé pour la méthode implicite s'applique à la technique ΔΣ, ce qui donne une sortie égale à la valeur efficace du signal d'entrée. L'un des avantages de cette méthode est que le calcul est plus rapide, ce qui se traduit par une largeur de bande de mesure plus grande.
Le LTC1966IMS8#TRPBF d'Analog Devices est un convertisseur RMS-CC qui utilise la méthode ΔΣ. Il est doté d'une largeur de bande de 800 kHz avec une erreur totale inférieure à 0,25 % pour les signaux d'entrée inférieurs à 1 kHz. En raison de l'excellente linéarité de la technique, la linéarité de la mesure est de 0,02 %.
Appliquer des convertisseurs RMS-CC
Les convertisseurs RMS-CC sont utilisés chaque fois qu'il est nécessaire de surveiller ou de contrôler des niveaux de signal. Il peut s'agir de formes d'onde complexes ou d'ondes sinusoïdales plus traditionnelles. Prenons l'exemple d'une application de surveillance d'alimentation triphasée (Figure 3).

Figure 3 : Utilisation d'un convertisseur RMS-CC pour surveiller une ligne d'alimentation triphasée de 50 Hz. (Source de l'image : Analog Devices)
Dans cette application, le convertisseur RMS-CC AD8436 d'Analog Devices est utilisé avec un multiplexeur 3:1, ce qui permet à un seul convertisseur RMS-CC de surveiller les trois phases. Les tensions de phase sont échantillonnées à l'aide de trois diviseurs haute tension 1000:1. La sortie du convertisseur RMS-CC est routée vers un convertisseur analogique-numérique (CAN). Le multiplexeur et le convertisseur analogique-numérique échantillonnent en continu toutes les phases au cours d'une seule période de tension secteur de 20 ms.
L'AD8436 est un convertisseur RMS-CC basse consommation utilisant une topologie implicite. Sa précision est de ±10 mV ±0,25 % avec une largeur de bande de 1 MHz. Il dispose d'un tampon FET intégré pour pouvoir communiquer avec des atténuateurs externes. Il possède également un amplificateur séparateur de sortie qui minimise les erreurs lors de la gestion de charges à basse impédance.
Mesurer des formes d'onde non périodiques
Les convertisseurs RMS-CC peuvent également être utilisés pour caractériser des signaux non périodiques comme le bruit gaussien (Figure 4).

Figure 4 : Simulation LTSpice XVII d'un circuit de surveillance de niveau de bruit, recommandée par le fabricant, à l'aide d'un convertisseur RMS-CC LTC1966 d'Analog Devices. (Source de l'image : DigiKey Electronics)
Le bruit et les signaux similaires sont très difficiles à caractériser. Le bruit gaussien, par exemple, peut avoir une très grande amplitude crête-à-crête (théoriquement infinie). Les niveaux crête-à-crête sont essentiellement illimités et augmentent avec le temps d'observation. Le niveau efficace est cependant limité et présente un comportement correct. Le circuit de surveillance du bruit, modélisé dans LTSpice XVII, utilise un convertisseur RMS-CC ΔΣ LTC1966 d'Analog Devices. L'amplificateur opérationnel situé devant le LTC1966 augmente l'amplitude du bruit en le multipliant par un facteur de gain de 1 000. Le condensateur de 1 microfarad (mF) à la sortie représente la capacité de calcul de la moyenne qui définit la fréquence de coupure du filtre moyen. La sortie du convertisseur RMS-CC est un niveau CC avec une sensibilité d'environ 1 mV CC par mV efficace de bruit. Dans cet exemple, la mesure est de 0,7 V, indiquant une amplitude de bruit de 700 mVRMS.
De la même manière, il est possible de mesurer le niveau efficace de la forme d'onde du courant d'alimentation à découpage (Figure 5).
Dans cette simulation LTSpice XVII, la forme d'onde réelle a été importée dans la source de courant linéaire par morceaux (PWL). Le courant est détecté à l'aide d'un shunt résistif de 1 ohm, et la tension d'entrée au niveau du LTC1966 est mappée à 1 mV/mA. Ce signal ne nécessite pas l'amplificateur utilisé précédemment, et le courant est directement détecté par le LTC1966. Le courant de crête de la forme d'onde est de 0,584 A. La forme d'onde de la rampe a un rapport cyclique de 20 %. La tension efficace mesurée à la sortie du convertisseur RMS-CC est de 140 mV, ce qui correspond à une amplitude d'intensité efficace de 140 mA.

Figure 5 : Simulation du LTC1966 utilisé pour mesurer la valeur efficace d'une forme d'onde de courant FET de commutation d'une alimentation à découpage. (Source de l'image : DigiKey Electronics)
La forme d'onde d'un contrôleur à thyristor peut être mesurée de la même manière dans une simulation (Figure 6).

Figure 6 : La forme d'onde d'un contrôleur à thyristor, simulée et mesurée à l'aide du LTC1966, a une valeur efficace de 155 V. (Source de l'image : DigiKey Electronics)
Là encore, la forme d'onde réelle a été importée et utilisée en tant que source PWL. La forme d'onde crête-à-crête de 620 V est atténuée par un diviseur de tension de 200:1. La sortie efficace résultante du convertisseur RMS-CC LTC1966 est de 0,767 V, représentée en tant que niveau efficace à l'entrée du circuit de 155 V.
Conclusion
L'utilisation de convertisseurs analogiques RMS-CC simplifie la mesure de la puissance efficace des signaux les plus complexes sans avoir à écrire ni à déboguer de code de programmation. Ces convertisseurs à faible coût sont parfaits pour la mesure ou pour la surveillance et le contrôle des paramètres de puissance de diverses formes d'onde.
Avertissement : les opinions, convictions et points de vue exprimés par les divers auteurs et/ou participants au forum sur ce site Web ne reflètent pas nécessairement ceux de DigiKey ni les politiques officielles de la société.

