Amélioration des mesures d'oxymétrie de pouls grâce à la compensation du courant d'obscurité
Avec la contribution de Rédacteurs nord-américains de DigiKey
2019-02-06
L'oxymètre de pouls portable est un dispositif médical non invasif qui mesure la saturation en oxygène dans le sang et la fréquence cardiaque. Les techniques reposent sur la transmission et la détection d'une lumière LED à travers une partie du corps relativement translucide, comme le doigt.
Bien que la technique soit bien connue, une lecture précise peut être difficile à faire, car elle dépend d'un grand nombre de variables. En ce qui concerne la détection, ces variables incluent les éléments de mise en forme des signaux nécessaires à l'obtention d'une sensibilité, d'une plage dynamique et d'une bande passante optimales, ainsi qu'au traitement du courant d'obscurité provenant de la diode PIN. Il existe également des problèmes de coût et de consommation d'énergie.
C'est pourquoi il peut être difficile de faire en sorte que le capteur optique détecte avec précision les signaux faibles et élevés.
Pour de nombreux concepteurs, la meilleure solution est d'utiliser les circuits existants pour éviter de réinventer la roue. L'utilisation de conceptions existantes réduit le coût global, tout en maximisant les chances d'obtenir une conception réussie.
Cet article traite des exigences liées à la chaîne de mise en forme des signaux pour la détection dans un oxymètre de pouls portable. Il présente les éléments critiques de cette chaîne, notamment l'utilisation d'une diode de compensation du courant d'obscurité. Il décrit ensuite comment lancer une conception à l'aide d'une conception de référence qui combine des éléments bien adaptés dans une configuration pratique.
Fonctionnement de l'oxymètre de pouls
Un oxymètre de pouls mesure en continu le pourcentage d'hémoglobine (Hgb), l'hémoglobine saturée en oxygène (HbO2) et la fréquence cardiaque d'un patient. Lors de cette mesure, une photodiode détecte la lumière LED rouge et la lumière LED infrarouge transmises en alternance à travers le doigt, l'orteil ou le lobe d'oreille du patient. Dans le sang du patient, l'hémoglobine oxygénée (HbO2) absorbe la lumière LED infrarouge (940 nm) et l'hémoglobine non oxygénée (Hgb) absorbe la lumière LED rouge (650 nm). Dans un oxymètre de pouls, deux LED sont excitées de manière rapide et séquentielle par deux sources de courant. Une photodiode détecte rapidement l'intensité de la lumière provenant de chaque LED. Cette mesure génère un rapport entre HbO2 et Hgb pour créer une estimation de la teneur en oxygène dans le sang, sous forme de pourcentage. La mesure de la fréquence cardiaque nécessite plusieurs échantillons de la forme d'ondes du sang pulsatile. Pour mesurer ces paramètres avec précision, le trajet du signal de la photodiode haute vitesse a besoin de dispositifs à faible bruit et faible distorsion.
Circuit de détection photoélectrique traditionnel
L'approche standard utilisée pour la conception d'un circuit de détection photoélectrique de précision est de placer une photodiode (D1) sur les entrées de transistor FET ou CMOS d'un amplificateur opérationnel, et une résistance en parallèle avec un condensateur dans la boucle de rétroaction. Le circuit a été modelé à l'aide de l'assistant de conception de circuit de photodiode d'Analog Devices (Figure 1). Pour capturer la lumière rouge et infrarouge, une photodiode SFH 2701 d'OSRAM Opto Semiconductors est utilisée, avec une portée optique de 400 nanomètres (nm) à 1050 nm.
Figure 1 : Un circuit de détection photoélectrique traditionnel place la photodiode (D1) sur les entrées de transistor FET ou CMOS d'un amplificateur opérationnel, et une résistance en parallèle avec un condensateur dans la boucle de rétroaction. (Source de l'image : Bonnie Baker)
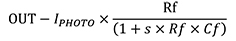
Dans la Figure 1, la lumière incidente sur la photodiode provoque un flux de courant (IPHOTO) de la cathode de la diode à l'anode, avec une valeur maximale de 200 microampères (mA). Comme l'impédance d'entrée de l'amplificateur CMOS inverseur est extrêmement élevée, la photodiode capture la lumière incidente provenant des LED infrarouges et rouges, causant un flux de courant à travers la résistance de contre-réaction, Rf. La tension à l'entrée inverseuse de l'amplificateur reste au niveau du potentiel de masse en suivant la tension virtuelle de l'entrée non inverseuse de l'amplificateur. C'est pourquoi la tension de sortie change en fonction du calcul IPHOTO x Rf.
Lorsque la lumière affecte la photodiode, le circuit convertit IPHOTO en une tension de sortie, grâce à la fonction de transfert présentée dans l'Équation 1.
 Équation 1
 Équation 1
Où :
OUT = la tension de sortie de l'amplificateur opérationnel
IPHOTO = courant de la photodiode en ampères
Rf = résistance de contre-réaction en ohms
s = une variable de fréquence complexe (jω) où ω (radians) = 2πf
Cf = capacité de rétroaction en farads
Dans l'Équation 1, il est utile de noter que le pôle de fréquence de signal (la fréquence à laquelle le gain diminue à mesure que la fréquence augmente) est égal à 2 x p x Rf x Cf.
Cette solution simple est souvent vouée à l'échec si certaines subtilités, comme la capacité parasite de la photodiode et de l'amplificateur, ne sont pas prises en compte. Par exemple, la réponse à un échelon d'un système pourrait produire une sortie avec un niveau d'oscillation inacceptable. Le circuit pourrait également osciller. Même si un problème d'instabilité est traité et résolu, la réponse de sortie peut rester trop bruyante pour obtenir des résultats fiables.
Il est clair que des réflexions supplémentaires sont nécessaires en ce qui concerne la fiabilité et la stabilité.
Stabilité et sélection des composants
L'implémentation d'un circuit de détection photoélectrique stable commence par la compréhension des variables de conception du circuit, l'analyse de la fonction de transfert globale et l'utilisation de ces informations pour concevoir une solution de circuit fiable.
La première priorité de conception est de sélectionner la résistance adaptée à la réponse de la photodiode. La deuxième priorité est d'apporter la stabilité. Une fois l'analyse de stabilité achevée, l'étape suivante est l'évaluation et l'ajustement du bruit de sortie du système afin de produire un rapport signal/bruit adapté aux exigences de l'application.
Les modèles d'amplificateur et de photodiode aident à déterminer la réponse en matière de fréquence et de bruit du circuit de détection de la photodiode. Toutefois, le processus permettant d'obtenir une bonne stabilité commence par l'évaluation de la fonction de transfert du système et la détermination des variables clés qui affectent la stabilité. La première chose à faire est de déterminer la valeur de la résistance de contre-réaction, RF (Figure 2).

Figure 2 : Circuit équivalent de préamplificateur de photodiode pour l'analyse du bruit et du courant alternatif. (Source de l'image : Analog Devices)
Les instructions de conception pour ce circuit sont une sortie pleine échelle de 5 V, avec un courant de photodiode maximum de 200 μA. La tension de sortie pleine échelle et le courant de photodiode maximum déterminent la valeur de la résistance de contre-réaction, selon l'Équation 2.
 Équation 2
 Équation 2
Trois variables sont à prendre en compte lors de l'analyse de la stabilité du circuit : la photodiode, l'amplificateur et le réseau de rétroaction d'amplificateur parallèle RF et CF (RF||CF). La sélection de la photodiode se fait en fonction de ses caractéristiques de réponse lumineuse. Toutefois, sa capacité parasite (CS) a un impact considérable sur le gain de bruit et la stabilité du circuit.
Le réseau illustré à la Figure 2 influe directement sur la stabilité et sur les performances de bruit du circuit. L'amplificateur opérationnel doit présenter un faible courant de polarisation d'entrée de l'ordre des picoampères (pA), comme avec les paires différentielles d'entrée FET ou CMOS. Ces paires de transistors différentielles préservent de faibles courants de polarisation d'entrée en picoampères et des erreurs de décalage de dizaines à des centaines de microvolts. Si ces erreurs s'avèrent importantes, un comportement non linéaire s'installe dans la réponse de l'amplificateur, jusqu'aux résultats de la LED/photodiode.
De plus, les condensateurs parasites de mode commun (CM) et de mode différentiel (CD) à l'entrée de l'amplificateur peuvent affecter la stabilité et la précision globale du système.
Une bande passante relativement stable repose sur RF, le produit gain/bande passante de l'amplificateur et la capacité totale au niveau de la jonction de sommation de l'amplificateur, CIN. La capacité totale de jonction de sommation de l'amplificateur, qui inclut la capacité parasite de la photodiode (SFH 2701) et la capacité d'entrée réelle de l'amplificateur (AD8065ARTZ-R2 d'Analog Devices) (mode commun et mode différentiel), est calculée à l'aide de l'Équation 3.
 Équation 3
 Équation 3
Où :
CIN = capacité totale de jonction de sommation
CS = capacité parasite de la photodiode = 1,7 pF
CD = capacité d'entrée différentielle de l'amplificateur = 4,5 pF
CM = capacité d'entrée de mode commun de l'amplificateur = 2,1 pF
Dans cet article, la valeur CS est la capacité parasite de la photodiode générée à partir d'une polarisation inverse de 5 V.
Le produit gain/bande passante de l'amplificateur est de 35 MHz (fCR). La bande passante maximale qu'il est possible d'atteindre pour l'AD8065 est plus importante que l'objectif de conception fixé à 2 MHz, ce qui fait de l'AD8065 une bonne solution pour un circuit d'oxymètre de pouls.
Pour valider la bande acceptable de l'AD8065, l'Équation 4 définit la bande passante du signal qui présente une marge de phase de 45° (f(45)) :
 Équation 4
 Équation 4
Où :
f (45) = bande passante de signal système avec une marge de phase de 45°
fCR = produit gain/bande passante de l'amplificateur
La valeur de f(45) dépasse l'objectif de bande passante fixé à 2 MHz.
Le pôle RF et CIN dans la fonction de transfert de boucle de l'amplificateur peut produire un effet de « peaking » ou de l'instabilité. L'ajout de la valeur CF crée un zéro dans la fonction de transfert de boucle, ce qui compense l'effet du pôle et réduit la bande passante de signal (Figure 3).

Figure 3 : Réponse en fréquence du circuit d'amplificateur de photodiode avec la capacité d'entrée parasite, CIN. (Source de l'image : Analog Devices)
L'Équation 5 utilise la fréquence de coude à f2 (2 MHz) pour définir la valeur de Cf :
 Équation 5
 Équation 5
Pour vérifier que 3,3 pF est une capacité suffisante pour stabiliser le système, l'Équation 6 calcule Cf pour une marge de phase de 45° :
 Équation 6
Équation 6
La valeur Cf = 3,3 pF pour la bande passante de signal souhaitée de 2 MHz est supérieure à la valeur de l'amplificateur Cf = 0,903 pF. Cette capacité plus faible indique que le système est stable, car une capacité de rétroaction croissante augmente également la marge de phase.
Temps de réponse de la photodiode
Les trois facteurs qui influencent le temps de réponse de la photodiode sont les suivants :
- Le temps de collecte des charges de porteurs dans la zone appauvrie de la photodiode
- Le temps de collecte des charges de porteurs dans la zone non appauvrie de la photodiode
- La constante de temps résistance-condensateur (RC) de la combinaison photodiode/circuit
La capacité de jonction dépend de la zone de diffusion de la photodiode et de la polarisation inverse appliquée, ainsi les temps de montée augmentent à mesure que la zone de diffusion rétrécit et que la polarisation inverse augmente. La capacité de jonction de la photodiode PIN SFH 2701 peut atteindre 5 pF pour une polarisation de 0 V. La capacité typique est de 2 pF pour une polarisation inverse de 1 V et de 1,7 pF pour une polarisation inverse de 5 V. Aux fins de cet article, les mesures ont toutes été prises avec une polarisation inverse de 5 V.
L'une des caractéristiques des photodiodes est que dans des conditions de polarisation inverse (mode photoconducteur) sans lumière, une petite quantité de courant, appelé « courant d'obscurité » traverse la photodiode. Cela doit être compensé à l'aide d'une deuxième photodiode identique (Figure 4). La deuxième diode est protégée contre les lumières LED entrantes et est raccordée à l'entrée non inverseuse de l'amplificateur opérationnel pour annuler l'effet du premier courant d'obscurité de la diode.

Figure 4 : Circuit complet de détection photoélectrique avec diode de compensation du courant d'obscurité en parallèle avec la photodiode d'entrée, SFH 2710. (Source de l'image : Analog Devices)
L'implémentation de cette compensation du courant d'obscurité inclut la photodiode parallèle à l'entrée de l'amplificateur et sur SFH 2701, la résistance Rf supplémentaire de 24,9 kΩ associée à la résistance de contre-réaction RF et le condensateur de 0,1 mF pour réduire fortement le bruit de la résistance.
Le circuit prend le courant de la photodiode PIN silicium SFH 2701 haute vitesse pour commander les entrées du convertisseur analogique-numérique (CAN) de 20 Méch./s AD9629BCPZ-20 d'Analog Devices. Cette combinaison de dispositifs offre :
- Bande passante de 2 MHz
- Sensibilité spectrale de 400 nm à 1050 nm
- Sensibilité de photocourant de 49 nA minimum
- Plage dynamique de 91 dB
Le circuit complet consomme 40 mA à partir d'alimentations de ±5 V, ce qui fait de cette configuration une solution adaptée aux applications portables alimentées par batterie de détection d'intensité lumineuse haute vitesse et haute résolution.
L'oxymétrie de pouls est l'une de ces applications, mais le bruit du circuit doit d'abord être réduit.
Analyse du bruit d'entrée pour la détection photoélectrique d'un oxymètre de pouls
Une fois les composants sélectionnés, la prochaine étape consiste à déterminer la résolution globale du système. Les éléments qui contribuent au bruit définissent le seuil inférieur de la fenêtre de résolution. Les sources de bruit sont combinées de manière RSS (racine carrée de la somme des carrés).
Dans le cas d'un préamplificateur de photodiode, les sources de bruit de sortie dominantes sont la tension de bruit en entrée de l'amplificateur opérationnel et le bruit de la résistance de contre-réaction.
Le calcul du bruit de résistance utilise la formule de bruit de Johnson, illustrée dans l'Équation 7 :
 Équation 7
 Équation 7
Où :
k = constante de Boltzmann (1,38 × 10-23J/K)
T = la température absolue en kelvin
p/2 approche la bande passante unipolaire pour f2
Les principales sources de bruit en sortie sont la tension de bruit en entrée de l'amplificateur opérationnel et le phénomène de « gain peaking » du bruit système qui se produit entre f1 et fCR, Équation 8 (Figure 3).
 Équation 8
 Équation 8
Où VN = tension de bruit en entrée de l'amplificateur opérationnel (7 nV/√Hz).
Le bruit efficace total par rapport à la sortie de l'AD8065 est la valeur RSS de VRFRTO et VNRTO, Équation 9.
 Équation 9
 Équation 9
La plage dynamique de sortie totale du préamplificateur en décibels est égale à 20 fois log10 du signal de sortie pleine échelle (5 V) divisé par le bruit efficace de sortie total (56,54 μVRMS), comme illustré dans l'Équation 10 :
 Équation 10
 Équation 10
Sélection du CAN
La résolution effective est égale à la conversion du nombre maximum de bits en résolution effective. Le nombre de bits maximum ou le nombre total de codes est égal à la sortie pleine échelle divisée par le bruit de sortie total, Équation 11.
 Équation 11
 Équation 11
La résolution effective est égale au logarithme base 2 des LSB RMS totaux, Équation 12.
 Équation 12
 Équation 12
La résolution du code sans bruit est égale à la résolution effective moins 2,7 bits, Équation 13 :
 Équation 13
 Équation 13
En fonction des spécifications de l'oxymètre de pouls portable, la valeur de 13 bits peut répondre aux exigences du fabricant ou les dépasser.
Le courant d'obscurité peut être annulé à l'aide d'une deuxième photodiode si la taille LSB du système est inférieure à la contribution du courant d'obscurité. Par exemple, dans un environnement de résolution 16 bits, la valeur LSB du photocourant est égale au photocourant maximum divisé par 2 sur le nombre de bits, Équation 14.
 Équation 14
 Équation 14
La spécification relative à la quantité maximale de courant d'obscurité SFH 2701 est de 5 nA à 25°C. Par conséquent, une conception de 16 bits a besoin de compensation. Cette application d'oxymètre de pouls utilise un CAN 12 bits, alors la taille LSB est de 49 nA, ce qui ne nécessite pas de compensation du courant d'obscurité. Notez que le courant d'obscurité augmente ~10 fois tous les 20°C. Ainsi, le courant d'obscurité de 5 pA d'une photodiode à 25°C devient 50 pA à 45°C.
La solution raisonnable à adopter est de sélectionner un CAN avec un taux d'échantillonnage 10 fois supérieur (ou plus) à la bande passante du système de 2 MHz. Si la bande passante de l'oxymètre de pouls est de 2 MHz, le taux d'échantillonnage idéal d'un CAN devrait être de 20 Méch./s ou plus, avec une résolution de 12 bits.
L'AD9629-20 constitue une bonne solution en tant que CAN de 20 Méch./s avec une résolution de 12 bits. Toutefois, ce convertisseur nécessite des entrées différentielles, alors le signal asymétrique de 5 V p-p de l'AD8065 doit être atténué pour fournir un signal différentiel de 2 V p-p. L'amplificateur à cône différentiel AD8475 est capable de fournir une conversion asymétrique-différentiel. L'AD8475 offre également un décalage de niveau de mode commun et une atténuation de précision.
L'AD8475 prend en charge une tension de sortie 10 MHz maximum de 2 V p-p. De plus, l'AD8475 présente un décalage de sortie maximum de 500 μV, un bruit de sortie différentielle de 10 nV/√Hz et une distorsion harmonique totale plus bruit (THD+N) de −112 dB.
La sortie pleine échelle de l'AD8065 (5 Vp-p) et la plage d'entrée analogique de l'AD9629-20 (2 Vp-p) déterminent le gain de l'AD8475, Équation 15 :
 Équation 15
 Équation 15
La tension de mode commun de l'AD8475 est de 0,9 V, ce qui complète la broche VCM de l'AD9629-20.
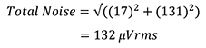
La contribution de bruit de l'AD8475 est la pièce finale du puzzle concernant le bruit du système. Pour commencer à calculer le bruit de l'AD8475, il faut multiplier le bruit de sortie de l'AD8065 par le gain de l'AD8475.
Le bruit de l'AD8065 à la sortie de l'AD8475 est égal à 0,4 x 43,6 μVRMS ou 17 μVRMS. Le bruit de sortie de l'AD8475 est égal à la densité de bruit de sortie (10 nV/√Hz) par la racine carrée de la bande passante (BW) du filtre de sortie, Équation 16 :
 Équation 16
 Équation 16
Bruit à la sortie de l'AD8475 après le filtre =
(10 nV/√Hz) x √ (110 MHz x p/2) = 131 mVRMS
Le calcul de la sortie totale de l'AD8475 nécessite la valeur RSS du bruit de l'AD8065 et du bruit de sortie filtré de l'AD8475, Équation 17 :
 Équation 17
 Équation 17
La contribution de bruit de l'AD8475 permet de calculer les LSB RMS totaux du système, la résolution effective, la résolution sans bruit et la plage dynamique, conformément à l'Équation 18 :
 Équation 18
 Équation 18
Résultats de test
La théorie est une chose, mais c'est en réalisant des tests que les concepteurs parviennent réellement à savoir ce qui se passe dans le circuit.
Par exemple, une diode laser commande la photodiode D1 et génère un courant. La photodiode D2 est dans le circuit en tant que dispositif de compensation du courant d'obscurité et elle est recouverte d'époxy optiquement opaque pour empêcher le courant de sortie de D2 lors de l'excitation D1. En forçant la photodiode à commander un courant plus important que prévu, le temps de montée/descente maximum approximatif de l'AD8065 est de 72 nanosecondes (ns) (Figure 5).

Figure 5 : Réponse impulsionnelle en surattaquant la photodiode. (Source de l'image : Analog Devices)
La Figure 6 montre une capture d'écran du logiciel d'évaluation CN0272 recevant les données de conversion du CAN AD9629-20 et traçant ces données dans un graphique.

Figure 6 : Capture d'écran du logiciel d'évaluation CN0272 d'Analog Devices numérisant une source de lumière variable de 2 MHz. (Source de l'image : Analog Devices)
La Figure 7 montre la carte d'évaluation EVAL-CN0272-SDPZ connectée à la carte SDP EVAL-SDP-CB1Z.

Figure 7 : Carte d'évaluation EVAL-CN0272-SDPZ connectée à la carte SDP-B EVAL-SDP-CB1Z. (Source de l'image : Analog Devices)
Conclusion
L'oxymètre de pouls portable mesure la saturation en oxygène dans le sang et la fréquence cardiaque en envoyant des signaux LED à travers des parties translucides du corps. Les composants électroniques de mise en forme des signaux de détection LED nécessitent des dispositifs complémentaires offrant une sensibilité, une plage dynamique et une bande passante optimales. Le circuit traditionnel d'une photodiode permet de résoudre de nombreux problèmes majeurs. Cependant, la plage dynamique est limitée par le courant d'obscurité de la photodiode.
Dans la technique de compensation du courant d'obscurité présentée ici , une deuxième photodiode est ajoutée au circuit pour offrir un signal de courant d'obscurité différentiel qui élimine l'erreur. Faites un test grâce aux cartes d'évaluation EVAL-CN0272-SDPZ et SDP-B EVAL-SDP-CB1Z d'Analog Devices.
 
            
        Avertissement : les opinions, convictions et points de vue exprimés par les divers auteurs et/ou participants au forum sur ce site Web ne reflètent pas nécessairement ceux de DigiKey ni les politiques officielles de la société.
 
                 
                 
                 
 
 
 
 Paramètres
        Paramètres
     Livraison rapide
                                    Livraison rapide
                                 Livraison gratuite
                                    Livraison gratuite
                                 Incoterms
                                    Incoterms
                                 Types de paiement
                                    Types de paiement
                                





 Produit marketplace
                                    Produit marketplace
                                 
            




 
                 
                     
                                 
                                 
                                 
                         
                                 
                                 
                                 
                                 
                                 
                                 
                                 France
France