SLIN-12E1Ax Series Datasheet by Bel Power Solutions
View All Related Products | Download PDF Datasheet
Bel Fuse Inc. 206 Van Vorst Street, Jersey City, NJ 07302 Tel 201-432-0463 Fax 201-432-9542 www.belfuse.com 1
NON-ISOLATED DC/DC CONVERTERS
4.5 Vdc - 14 Vdc Input, 0.69 Vdc - 5.5 Vdc /12 A Outputs
Jul. 29, 2015 Bel Power, Inc. , a subsidiary of Bel Fuse, Inc.
Features
Applications
Description
The SLIN-12E1Ax power modules are non-isolated dc-dc converters that can deliver up to 12A of output current.
These modules operate over a wide range of input voltage (VIN = 4.5Vdc-14Vdc) and provide a precisely
regulated output voltage from 0.69Vdc to 5.5Vdc, programmable via an external resistor. Two new features
added with this family of products are the ability to externally tune the voltage control loop and frequency
synchronization. Other features include remote On/Off, adjustable output voltage, over current and over
temperature protection, power good and output voltage sequencing. The Tunable LoopTM, allows the user to
optimize the dynamic response of the converter to match the load with reduced amount of output capacitance
leading to savings on cost and PWB area.
Part Selection
Output Voltage Input Voltage
Max. Output
Current
Typical
Efficiency
Model
N
umber
Active High
Model
N
umber
Active Low
0.69 Vdc - 5.5 Vdc
4.5 Vdc - 14 Vdc 12 A 94.3% SLIN-12E1A0 SLIN-12E1AL
Notes: 1. Add “R” suffix at the end of the model number to indicate tape and reel packaging (Standard).
2. Add “G” suffix at the end of the model number to indicate tray packaging (Option).
Wide Input Voltage Range Ability to Sink and Source Current
Fixed Switching Frequency Cost Efficient Open Frame Design
Power Good Signal Over Temperature Protection
Remote Sense Output Over Current Protection
Remote On/Off
Tunable LoopTM (a registered trademark of Lineage Power Systems) to
Optimize Dynamic output voltage response
Flexible output voltage sequencing
Fixed switching frequency and ability to synchronize with external clock
Class 2, Category 2, Non-Isolated DC/DC Converter (refer to IPC-9592A)
Compliant to RoHS EU Directive 2002/95/EC
Compatible in a Pb-free or SnPb reflow environment
Certificated to UL60950-1/CSA C22.2 No.60950-1, 2rd
VDE
‡
0805:2001-12 (EN60950-1) Licensed
Distributed power architectures Servers and storage applications
Intermediate bus voltage applications Networking equipment
Telecommunications equipment Industrial equipment
S
LIN
-
12
E1Ax
RoHS Compliant
Rev.
I

Bel Fuse Inc. 206 Van Vorst Street, Jersey City, NJ 07302 Tel 201-432-0463 Fax 201-432-9542 www.belfuse.com 2
NON-ISOLATED DC/DC CONVERTERS
4.5 Vdc - 14 Vdc Input, 0.69 Vdc - 5.5 Vdc /12 A Outputs
Jul. 29, 2015 Bel Power, Inc. , a subsidiary of Bel Fuse, Inc.
Part Number Explanation
S LIN – 12 E 1A 0
1 2 3 4 5 6
1
---
Surface mount
5
---
With sequencing
2
---
Series code
6
---
Enable, active high, change “0” to “L” means active low
3
---
Output current (12A)
7
---
Package
4
---
Wide input voltage range (4.5
-
14V)
Absolute Maximum Ratings
Parameter Min Typ Max
Unit
Notes
Continuous Input Voltage -0.3 - 15 V
Voltage on SEQ terminal -0.3 - Vin V
Voltage on SYNC terminal -0.3 - 12 v
Voltage on PG terminal -0.3 - 6 V
Operating Ambient Temperature -40 - 85 C
Storage Temperature -55 - 125 C
Altitude - - 2000 m
Note: Stresses in excess of the absolute maximum ratings can cause permanent damage to the device. These
are absolute stress ratings only, functional operation of the device is not implied at these or any other
conditions in excess of those given in the operations sections of the data sheet. Exposure to absolute
maximum ratings for extended periods can adversely affect the device reliability.
Input Specifications
Parameter
Min
Typ
Max
Unit
Notes
Operating Input Voltage 4.5 - 14 V
Input Current (full load) - - 11.5 A VIN=4.5V to 14V
Input Current (no load) - 26 - mA Vo=0.69V, VIN=10V, IO=0, module enabled
- 60 - mA Vo=3.3V, VIN=12V, IO=0, module enabled
Input Stand-by Current - 1.2 - mA VIN = 12V, module disabled
Input Reflected Ripple Current
(pk-pk) - 70 - mA 5Hz to 20MHz, 1μH source impedance; VIN
=0 to 14V, IO= IOmax
I2t Inrush Current Transient - - 1 A2s
Input Ripple Rejection (120Hz) - 45 - dB
Turn-on Threshold - 4.45 - V
Turn-off Threshold - 4.2 - V
Hysteresis - 0.25 - V
CAUTION: This converter is not internally fused. An input line fuse must be used in application.
This power module can be used in a wide variety of applications, ranging from simple standalone operation to
an integrated part of sophisticated power architecture. To preserve maximum flexibility, internal fusing is not
included; however, to achieve maximum safety and system protection, always use an input line fuse. The safety
agencies require a fast-acting fuse with a maximum rating of 15A. Based on the information provided in this
data sheet on inrush energy and maximum dc input current, the same type of fuse with a lower rating can be
used. Refer to the fuse manufacturer’s data sheet for further information.
Note: Unless otherwise indicated, specifications apply over all operating input voltage, resistive load, and
temperature conditions.

Bel Fuse Inc. 206 Van Vorst Street, Jersey City, NJ 07302 Tel 201-432-0463 Fax 201-432-9542 www.belfuse.com 3
NON-ISOLATED DC/DC CONVERTERS
4.5 Vdc - 14 Vdc Input, 0.69 Vdc - 5.5 Vdc /12 A Outputs
Jul. 29, 2015 Bel Power, Inc. , a subsidiary of Bel Fuse, Inc.
Output Specifications
Parameter
Min
Typ
Max
Unit
Notes
Output Voltage Set Point -1.5 - +1.5
%Vo,set
with 0.5% tolerance for external resistor used to
set output voltage
Output Voltage -2.5 - +2.5 %Vo,set
Over all operating input voltage, resistive load,
and temperature conditions until end of life
Adjustment Range1 0.69 - 5.5 V selected by an external resistor
Remote Sense Range - - 0.5 V
Load Regulation
VO ≥ 2.5V
VO < 2.5V
-
-
-
-
10
5
mV
mV
IO=IO, min to IO, max
Line Regulation
VO ≥ 2.5V
VO < 2.5V
-
-
-
-
0.4
10
%Vo,set
mV
VIN=VIN, min to VIN, max
Temperature
Regulation
(-40°C to +85°C) - - 0.5 %Vo,set
VO < 2.5V, Tref=TA, min to TA, max
Ripple and Noise (pk-pk) - 65 80 mV 5Hz to 20MHz BW, VIN=VIN, nom and IO=IO, min to
IO, max Co = 0.1μF // 10 μF ceramic capacitors)
Ripple and Noise (rms) - 23 28 mV
Output Current Range 0 - 12 A
Output DC Current Limit - 150 - %Io,max
Hiccup Mode
Output Short-Circuit Current - 2 - A Vo≤250mV, Hiccup Mode
Output Capacitance
2
ESR≥ 1 mΩ
ESR≥0.15 mΩ
ESR≥ 10 mΩ
0
0
0
-
-
-
100
1000
5000
uF
uF
uF
Without the Tunable LoopTM
With the Tunable LoopTM
With the Tunable LoopTM
Turn-On Delay Time
- 2 - mS
Case 1: On/Off input is enabled and then input
power is applied (delay from instant at which
VIN = VIN, min until Vo =10% of Vo, set)
- 2 - mS
Case 2: Input power is applied for at least one
second and then the On/Off input is enabled
(delay from instant at which Von/Off is enabled
until Vo =10% of Vo, set)
Output voltage Rise time - 5 - mS time for Vo to rise from 10% of Vo, set to 90%
of Vo, set
Output voltage overshoot - - 3 %Vo,set
Vin=Vin, min to Vin, max, Io=Io, min to Io, max,
With or without maximum external capacitance
Dynamic Load Response
△V50%~100%
of Max Load
Overshoot - 360
- mV
di/dt=1A/us, Vin=Vin,nom, Ta=25°C, with a
1µF ceramic capacitor and a 10µF ceramic
capacitor.
Settling Time - 50 - uS
△V100%~50%
of Max Load
Overshoot - 400 - mV
Settling Time - 50 - uS
Notes: 1. Some output voltages may not be possible depending on the input voltage.
2. External capacitors may require using the new Tunable LoopTM feature to ensure that the module is
stable as well as getting the best transient response (See the Tunable LoopTM section for details).
3. Unless otherwise indicated, specifications apply over all operating input voltage, resistive load, and
temperature conditions.

Bel Fuse Inc. 206 Van Vorst Street, Jersey City, NJ 07302 Tel 201-432-0463 Fax 201-432-9542 www.belfuse.com 4
NON-ISOLATED DC/DC CONVERTERS
4.5 Vdc - 14 Vdc Input, 0.69 Vdc - 5.5 Vdc /12 A Outputs
Jul. 29, 2015 Bel Power, Inc. , a subsidiary of Bel Fuse, Inc.
General Specifications
Parameter
Min
Typ
Max
Unit
Notes
Efficiency
Vo=0.69V
Vo=1.2V
Vo=1.8V
Vo=2.5V
Vo=3.3V
Vo=5.0V
-
-
-
-
-
-
76.0
83.0
87.6
90.2
92.2
94.3
-
-
-
-
-
-
%
%
%
%
%
%
Vin= 12Vdc, Ta=25°C
Io=Io, max , Vo= Vo,set
(for Vo=0.69V, Vin=10Vdc)
Switching Frequency - 500 - kHz
Over Temperature Protection - 133 - C
Sequencing Delay time 10 - - mS Delay from VIN, min to application of
voltage on SEQ pin
Tracking Accuracy
Power-Up: 0.5V/ms
Power-Down: 0.5V/ms
-
-
-
-
100
150
mV
mV
Vin, min to Vin, max; Io, min to Io,
max, Vseq < Vo
PGOOD (Power Good)
Output Voltage Limit for PGOOD
Pulldown resistance of PGOOD pin
89.1
-
-
7
110.8
50
%Vo,set
Ω
Signal Interface Open Drain,
Vsupply 6Vdc
Weight - 3.68 - g
MTBF 16,250,892 hours
Calculated Per Telcordia Issue 2
Method 1 Case 3 (Io=0.8Io, max,
Ta=40°C)
Dimensions
Inches (L × W × H)
Millimeters (L × W × H)
0.80 x 0.45 x 0.334
20.32 x 11.43 x 8.5
-
Frequency Synchronization
Synchronization Frequency Range 520 - 600 KHz
High-Level Input Voltage 2.5 - - V
Low-Level Input Voltage - - 0.8 V
Input Current, SYNC - - 1 mA
Minimum Pulse Width, SYNC 250 - - nS
Minimum Setup/Hold Time, SYNC
250 - - nS
Note: Unless otherwise indicated, specifications apply over all operating input voltage, resistive load, and
temperature conditions.

Bel Fuse Inc. 206 Van Vorst Street, Jersey City, NJ 07302 Tel 201-432-0463 Fax 201-432-9542 www.belfuse.com 5
NON-ISOLATED DC/DC CONVERTERS
4.5 Vdc - 14 Vdc Input, 0.69 Vdc - 5.5 Vdc /12 A Outputs
Jul. 29, 2015 Bel Power, Inc. , a subsidiary of Bel Fuse, Inc.
Efficiency Data
EFFICIENCY, (%)
70
75
80
85
90
0 2 4 6 8 10 12
Vin=10V
Vin=5V
Vin=4.5V
EFFICIENCY, (%)
70
75
80
85
90
95
0 2 4 6 8 10 12
Vin=14V
Vin=12V
Vin=4.5V
OUTPUT CURRENT, IO (A) OUTPUT CURRENT, IO (A)
Vo=0.69V Vo=1.2V
EFFICIENCY, (%))
70
75
80
85
90
95
100
0 2 4 6 8 10 12
Vin=14V
Vin=12V
Vin=4.5V
EFFICIENCY, (%)
70
75
80
85
90
95
100
0 2 4 6 8 10 12
Vin=14V
Vin=12V
Vin=4.5V
OUTPUT CURRENT, IO (A) OUTPUT CURRENT, IO (A)
Vo=1.8V Vo=2.5V
EFFICIENCY, (%))
70
75
80
85
90
95
100
0 2 4 6 8 10 12
Vin=14V
Vin=12V
Vin=5V
EFFICIENCY, (%)
80
85
90
95
100
0 2 4 6 8 10 12
Vin=14V
Vin=12V
Vin=7V
OUTPUT CURRENT, IO (A) OUTPUT CURRENT, IO (A)
Vo=3.3V Vo=5.0V

Bel Fuse Inc. 206 Van Vorst Street, Jersey City, NJ 07302 Tel 201-432-0463 Fax 201-432-9542 www.belfuse.com 6
NON-ISOLATED DC/DC CONVERTERS
4.5 Vdc - 14 Vdc Input, 0.69 Vdc - 5.5 Vdc /12 A Outputs
Jul. 29, 2015 Bel Power, Inc. , a subsidiary of Bel Fuse, Inc.
Thermal Derating Curves
OUTPUT CURRENT, Io (A)
OUTPUT CURRENT, Io (A)
AMBIENT TEMPERATURE, TA OC AMBIENT TEMPERATURE, TA OC
Vo=0.69V
Vo=1.2V
OUTPUT CURRENT, Io (A)
OUTPUT CURRENT, Io (A)
AMBIENT TEMPERATURE, TA OC AMBIENT TEMPERATURE, TA OC
Vo=1.8V Vo=2.5V
OUTPUT CURRENT, Io (A)
OUTPUT CURRENT, Io (A)
AMBIENT TEMPERATURE, TA OC AMBIENT TEMPERATURE, TA OC
Vo=3.3V Vo=5.0V
4
6
8
10
12
55
65
75
85
45
35
NC
0.5m/s
(100LFM)
1m/s
(200LFM)
4
6
8
10
12
14
NC
0.5m/s
(100LFM)
1m/s
(200LFM)
1.5m/s
(300LFM)
55
65
75
85
45
35
4
6
8
10
12
14
NC
0.5m/s
(100LFM)
1m/s
(200LFM)
1.5m/s
(300LFM)
55
65
75
85
45
3
5
3
5
7
9
11
13
NC
0.5m/s
(100LFM)
1m/s
(200LFM)
1.5m/s
(300LFM)
55
65
75
85
45
35
3
5
7
9
11
13
NC
0.5m/s
(100LFM)
1m/s
(200LFM)
1.5m/s
(300LFM)
2m/s
(400LFM)
55
65
75
85453
5
3
5
7
9
11
13
NC
0.5m/s
(100LFM)
1m/s
(200LFM)
1.5m/s
(300LFM)
2m/s
(400LFM)
55
65
75
85
45
35
25

Bel Fuse Inc. 206 Van Vorst Street, Jersey City, NJ 07302 Tel 201-432-0463 Fax 201-432-9542 www.belfuse.com 7
NON-ISOLATED DC/DC CONVERTERS
4.5 Vdc - 14 Vdc Input, 0.69 Vdc - 5.5 Vdc /12 A Outputs
Jul. 29, 2015 Bel Power, Inc. , a subsidiary of Bel Fuse, Inc.
Ripple and Noise Waveforms
OUTPUT VOLTAGE
VO (V) (20mV/div)
OUTPUT VOLTAGE
VO (V) (20mV/div)
TIME, t (1s/div) TIME, t (1s/div)
Vin=12V, Vo=0.69V, Io = Io,max Vin=12V, Vo=1.2V, Io = Io,max
OUTPUT VOLTAGE
V
O
(V) (20mV/div)
OUTPUT VOLTAGE
VO (V) (20mV/div)
TIME, t (1s/div) TIME, t (1s/div)
Vin=12V, Vo=1.8V, Io = Io,max Vin=12V, Vo=2.5V, Io = Io,max
OUTPUT VOLTAGE
VO (V) (20mV/div)
OUTPUT VOLTAGE
V
O
(V) (20mV/div)
TIME, t (1s/div) TIME, t (1s/div)
Vin=12V, Vo=3.3V, Io = Io,max Vin=12V, Vo=5.0V, Io = Io,max

Bel Fuse Inc. 206 Van Vorst Street, Jersey City, NJ 07302 Tel 201-432-0463 Fax 201-432-9542 www.belfuse.com 8
NON-ISOLATED DC/DC CONVERTERS
4.5 Vdc - 14 Vdc Input, 0.69 Vdc - 5.5 Vdc /12 A Outputs
Jul. 29, 2015 Bel Power, Inc. , a subsidiary of Bel Fuse, Inc.
Transient Response Waveforms
OUTPUT CURRENT, OUTPUT VOLTAGE
IO (A) (5A/div) VO (V) (200mV/div)
OUTPUT CURRENT, OUTPUT VOLTAGE
IO (A) (5A/div) VO (V) (200mV/div)
TIME, t (100s /div) TIME, t (100s /div)
Transient Response to Dynamic Load Change from
0% to 50% to 0%. Vo=0.69V
Transient Response to Dynamic Load Change from
0% to 50% to 0%. Vo=1.2V
OUTPUT CURRENT, OUTPUT VOLTAGE
I
O
(A) (5A/div) V
O
(V) (200mV/div)
OUTPUT CURRENT, OUTPUT VOLTAGE
IO (A) (5A/div) VO (V) (200mV/div)
TIME, t (100s /div) TIME, t (100s /div)
Transient Response to Dynamic Load Change from
0% to 50% to 0%. Vo=1.8V
Transient Response to Dynamic Load Change from
0% to 50% to 0%. Vo=2.5V
OUTPUT CURRENT, OUTPUT VOLTAGE
IO (A) (5A/div) VO (V) (200mV/div)
OUTPUT CURRENT, OUTPUT VOLTAGE
I
O
(A) (5A/div) V
O
(V) (200mV/div)
TIME, t (100s /div) TIME, t (100s /div)
Transient Response to Dynamic Load Change from
0% to 50% to 0%. Vo=3.3V
Transient Response to Dynamic Load Change from
0% to 50% to 0%. Vo=5.0V

Bel Fuse Inc. 206 Van Vorst Street, Jersey City, NJ 07302 Tel 201-432-0463 Fax 201-432-9542 www.belfuse.com 9
NON-ISOLATED DC/DC CONVERTERS
4.5 Vdc - 14 Vdc Input, 0.69 Vdc - 5.5 Vdc /12 A Outputs
Jul. 29, 2015 Bel Power, Inc. , a subsidiary of Bel Fuse, Inc.
Startup Time
ON/OFF VOLTAGE OUTPUT VOLTAGE
VON/OFF (V) (2V/div) VO (V) (200mV/div)
ON/OFF VOLTAGE OUTPUT VOLTAGE
VON/OFF (V) (2V/div) VO (V) (500mV/div)
TIME, t (1 ms/div) TIME, t (1 ms/div)
Start-up Using On/Off Voltage (Io = Io,max), Vo=0.69V Start-up Using On/Off Voltage (Io = Io,max), Vo=1.2V
ON/OFF VOLTAGE OUTPUT VOLTAGE
V
ON/OFF
(V) (2V/div) V
O
(V) (500mV/div)
ON/OFF VOLTAGE OUTPUT VOLTAGE
VON/OFF (V) (1V/div) VO (V) (1V/div)
TIME, t (1 ms/div) TIME, t (1 ms/div)
Start-up Using On/Off Voltage (Io = Io,max), Vo=1.8V Start-up Using On/Off Voltage (Io = Io,max), Vo=2.5V
ON/OFF VOLTAGE OUTPUT VOLTAGE
VON/OFF (V) (2V/div) VO (V) (1V/div)
ON/OFF VOLTAGE OUTPUT VOLTAGE
V
ON/OFF
(V) (2V/div) V
O
(V) (2V/div)
TIME, t (1 ms/div) TIME, t (1 ms/div)
Start-up Using On/Off Voltage (Io = Io,max), Vo=3.3V Start-up Using On/Off Voltage (Io = Io,max), Vo=5.0V

Bel Fuse Inc. 206 Van Vorst Street, Jersey City, NJ 07302 Tel 201-432-0463 Fax 201-432-9542 www.belfuse.com
10
NON-ISOLATED DC/DC CONVERTERS
4.5 Vdc - 14 Vdc Input, 0.69 Vdc - 5.5 Vdc /12 A Outputs
Jul. 29, 2015 Bel Power, Inc. , a subsidiary of Bel Fuse, Inc.
Startup Time (continued)
INPUT VOLTAGE OUTPUT VOLTAGE
VIN (V) (5V/div) VO (V) (200mV/div)
INPUT VOLTAGE OUTPUT VOLTAGE
VIN (V) (5V/div) VO (V) (500mV/div)
TIME, t (1 ms/div) TIME, t (1 ms/div)
Start-up Using Input Voltage (VIN = 10V, Io = Io,max ),
Vo=0.69V
Start-up Using Input Voltage (VIN = 12V, Io = Io,max ),
Vo=1.2V
INPUT VOLTAGE OUTPUT VOLTAGE
V
IN
(V) (5V/div) V
O
(V) (500mV/div)
INPUT VOLTAGE OUTPUT VOLTAGE
VIN (V) (5V/div) VO (V) (1V/div)
TIME, t (1 ms/div) TIME, t (1 ms/div)
Start-up Using Input Voltage (VIN = 12V, Io = Io,max ),
Vo=1.8V
Start-up Using Input Voltage (VIN = 12V, Io = Io,max ),
Vo=2.5V
INPUT VOLTAGE OUTPUT VOLTAGE
VIN (V) (5V/div) VO (V) (1V/div)
INPUT VOLTAGE OUTPUT VOLTAGE
V
IN
(V) (5V/div) V
O
(V) (2V/div)
TIME, t (1 ms/div) TIME, t (1 ms/div)
Start-up Using Input Voltage (VIN = 12V, Io = Io,max ),
Vo=3.3V
Start-up Using Input Voltage (VIN = 12V, Io = Io,max ),
Vo=5.0V

Bel Fuse Inc. 206 Van Vorst Street, Jersey City, NJ 07302 Tel 201-432-0463 Fax 201-432-9542 www.belfuse.com
11
NON-ISOLATED DC/DC CONVERTERS
4.5 Vdc - 14 Vdc Input, 0.69 Vdc - 5.5 Vdc /12 A Outputs
Jul. 29, 2015 Bel Power, Inc. , a subsidiary of Bel Fuse, Inc.
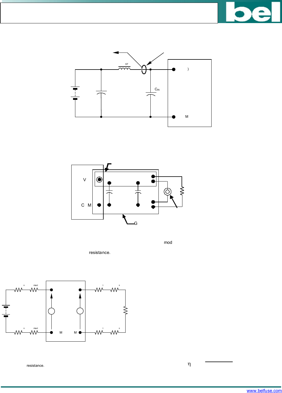
Test Configurations
Input Reflected Ripple Current Test Setup.
TO OSCILLOSCOPE CURRENT PROBE
LTEST
1μH
BATTERY
CS 1000μF
Electrolytic
E.S.R.<0.1
@ 20°C 100kHz
2x100μF
Tantalum
VIN(+)
COM
NOTE: Measure input reflected ripple current with a simulated
source inductance (LTEST) of 1μH. Capacitor CS offsets
possible battery impedance. Measure current as shown
above.
C
IN
Output Ripple and Noise Test Setup
NOTE: All voltage measurements to be taken at the module
terminals, as shown above . If sockets are used then
Kelvin connections are required at the mo
dule terminals
to avoid measurement errors due to socket contact
resistance.
Vo+
COM
0.1uF
RESISTIVE
LOAD
SCOPE USING
BNC SOCKET
COPPER STRIP
GROUND PLANE
10uF
Output Voltage and Efficiency Test Setup
VO
COM
VIN(+)
COM
RLOAD
Rcontact
Rdistribution
Rcontact
Rdistribution
Rcontact
Rcontact
Rdistribution
Rdistribution
VIN VO
NOTE: All voltage measurements to be taken at the module
terminals, as shown above. If sockets are used then
Kelvin connections are required at the module terminals
to avoid measurement errors due to socket contact
resistance.
=
VO.
IO
VIN.
IIN
x 100
%
Efficiency

Bel Fuse Inc. 206 Van Vorst Street, Jersey City, NJ 07302 Tel 201-432-0463 Fax 201-432-9542 www.belfuse.com
12
NON-ISOLATED DC/DC CONVERTERS
4.5 Vdc - 14 Vdc Input, 0.69 Vdc - 5.5 Vdc /12 A Outputs
Jul. 29, 2015 Bel Power, Inc. , a subsidiary of Bel Fuse, Inc.
Input Filtering
The SLIN-12E1Ax should be connected to a low ac-impedance source. A highly inductive source can affect
the stability of the module. Input capacitance must be placed directly adjacent to the input pin of the module,
to minimize input ripple voltage and ensure module stability.
To minimize input voltage ripple, ceramic capacitors are recommended at the input of the module. The figure
below shows the input ripple voltage for various output voltages at 12A of load current with 1x22 µF or 2x22 µF
ceramic capacitors and an input of 12V.
In
put Ripple Voltage (mVp
-
p)
0
50
100
150
200
250
300
0.5 1 1.5 2 2.5 3 3.5 4 4.5 5
1x22uF
2x22uF
Output Voltage (Vdc)
Note: Input ripple voltage for various output voltages with 1x22 µF or 2x22 µF ceramic capacitors at the input
(12A load). Input voltage is 12V.
Output Filtering
The SLIN-12E1Ax modules are designed for low output ripple voltage and will meet the maximum output ripple
specification with 0.1 µF ceramic and 10 µF ceramic capacitors at the output of the module. However, additional
output filtering may be required by the system designer for a number of reasons. First, there may be a need to
further reduce the output ripple and noise of the module. Second, the dynamic response characteristics may
need to be customized to a particular load step change.
To reduce the output ripple and improve the dynamic response to a step load change, additional capacitance at
the output can be used. Low ESR polymer and ceramic capacitors are recommended to improve the dynamic
response of the module. The figure on the next page provides output ripple information for different external
capacitance values at various Vo and for a load current of 12A. For stable operation of the module, limit the
capacitance to less than the maximum output capacitance as specified in the electrical specification table.
Optimal performance of the module can be achieved by using the Tunable LoopTM feature described later in this
data sheet.

Bel Fuse Inc. 206 Van Vorst Street, Jersey City, NJ 07302 Tel 201-432-0463 Fax 201-432-9542 www.belfuse.com
13
NON-ISOLATED DC/DC CONVERTERS
4.5 Vdc - 14 Vdc Input, 0.69 Vdc - 5.5 Vdc /12 A Outputs
Jul. 29, 2015 Bel Power, Inc. , a subsidiary of Bel Fuse, Inc.
Output Filtering (continued)
0
10
20
30
40
50
60
70
0.5 1.5 2.5 3.5 4.5 5.5
Output Voltage(Volts)
Ripple(mVp-p)
1x10uF External Cap
1x47uF External Cap
2x47uF External cap
4x47uF External Cap
Note: Output ripple voltage for various output voltages with external 1x10 µF, 1x47 µF, 2x47 µF or 4x47 µF
ceramic capacitors at the output (12A load). Input voltage is 12V.
Safety Considerations
For safety agency approval the power module must be installed in compliance with the spacing and separation
requirements of the end-use safety agency standards, i.e., UL 60950-1, CSA C22.2 No. 60950-1-03, and VDE
0850:2001-12 (EN60950-1) Licensed.
For the converter output to be considered meeting the requirements of safety extra-low voltage (SELV), the input
must meet SELV requirements. The power module has extra-low voltage (ELV) outputs when all inputs are ELV.
The input to these units is to be provided with a fast-acting fuse with a maximum rating of 15A in the positive
input lead.

Bel Fuse Inc. 206 Van Vorst Street, Jersey City, NJ 07302 Tel 201-432-0463 Fax 201-432-9542 www.belfuse.com
14
NON-ISOLATED DC/DC CONVERTERS
4.5 Vdc - 14 Vdc Input, 0.69 Vdc - 5.5 Vdc /12 A Outputs
Jul. 29, 2015 Bel Power, Inc. , a subsidiary of Bel Fuse, Inc.
Remote On/Off
Parameter
Min
Typ
Max
Unit
Notes
Signal Low (Unit On) Active Low
0 - 1 V The remote on/off pin open, Unit on.
Signal High (Unit Off) 2.0 - Vin,max V
Signal Low (Unit Off) Active High
- - 3.5 V The remote on/off pin open, Unit on.
Signal High (Unit On) Vin-1 - Vin,max V
The SLIN-12E1Ax modules feature an On/Off pin for remote On/Off operation. Two On/Off logic options are
available. In the Positive Logic On/Off option, the module turns ON during a logic High on the On/Off pin and
turns OFF during a logic Low. With the Negative Logic On/Off option, the module turns OFF during logic High
and ON during logic Low. The On/Off signal is always referenced to ground. For either On/Off logic option,
leaving the On/Off pin disconnected will turn the module ON when input voltage is present.
For positive logic modules, the circuit configuration for using the On/Off pin is shown in the figure below. When
the external transistor Q1 is in the OFF state, the internal PWM Enable signal is pulled high through an internal
24.9k resistor and the external pullup resistor and the module is ON. When transistor Q1 is turned ON, the
On/Off pin is pulled low and the module is OFF. A suggested value for Rpullup is 20k.
Circuit configuration for using positive On/Off logic
For negative logic On/Off modules, the circuit configuration is shown below. The On/Off pin should be pulled high
with an external pull-up resistor (suggested value for the 4.5V to 14V input range is 20Kohms). When transistor
Q1 is in the OFF state, the On/Off pin is pulled high, internal transistor Q2 is turned ON and the module is OFF.
To turn the module ON, Q1 is turned ON pulling the On/Off pin low, turning transistor Q2 OFF resulting in the
PWM Enable pin going high and the module turning ON.
Circuit configuration for using negative On/Off logic
25.5K
Q1
ON/OFF
VIN+
GND
_
+
PWM Enable
V
ON/OFF
MODULE
I
Rpullup1
ON/OFF
22K
Q2
23K
11.8K
23K
I
ON/OFF
25.5K
Q1
GND
ON/OFF
VIN+
_
+
PWM Enable
V
ON/OFF
MODULE
Rpullup
22K
Q3
22K
11.8K
Q2
22K

Bel Fuse Inc. 206 Van Vorst Street, Jersey City, NJ 07302 Tel 201-432-0463 Fax 201-432-9542 www.belfuse.com
15
NON-ISOLATED DC/DC CONVERTERS
4.5 Vdc - 14 Vdc Input, 0.69 Vdc - 5.5 Vdc /12 A Outputs
Jul. 29, 2015 Bel Power, Inc. , a subsidiary of Bel Fuse, Inc.
Over Current Protection
To provide protection in a fault (output overload) condition, the unit is equipped with internal current-limiting
circuitry and can endure current limiting continuously. At the point of current-limit inception, the unit enters hiccup
mode. The unit operates normally once the output current is brought back into its specified range.
Over Temperature Protection
To provide protection in a fault condition, the unit is equipped with a thermal shutdown circuit. The unit will
shutdown if the over temperature threshold of 133°C is exceeded at the thermal reference point Tref . The
thermal shutdown is not intended as a guarantee that the unit will survive temperatures beyond its rating. Once
the unit goes into thermal shutdown it will then wait to cool before attempting to restart.
Input Under-voltage Lockout
At input voltages below the input under voltage lockout limit, the module operation is disabled. The module will
begin to operate at an input voltage above the under voltage lockout turn-on threshold.
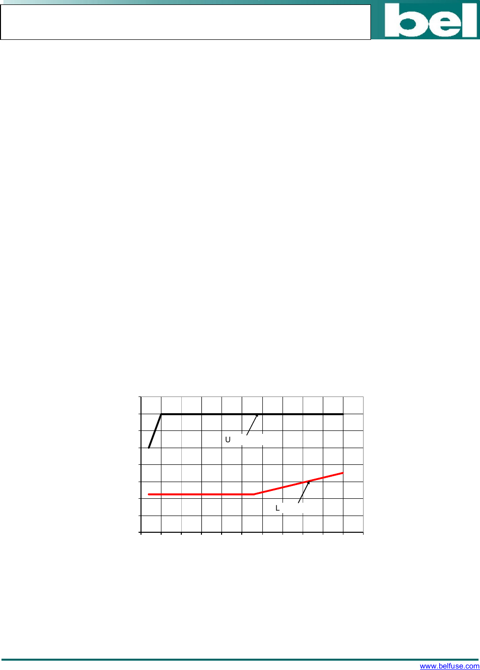
Output Voltage Programming
The output voltage of the SLIN-12E1Ax modules can be programmed to any voltage from 0.69Vdc to 5.5Vdc by
connecting a resistor between the Trim and GND pins of the module. Certain restrictions apply on the output
voltage set point depending on the input voltage. These are shown below. The Limit curve shows that for output
voltages of 0.9V and lower, the input voltage must be lower than the maximum of 14V. The Lower Limit curve
shows that for output voltages of 3.3V and higher, the input voltage needs to be larger than the minimum of 4.5V.
0
2
4
6
8
10
12
14
16
0.5 1 1.5 2 2.5 3 3.5 4 4.5 5 5.5 6
Output Voltage (V)
Input Voltage (v)
Lower Limit
Upper Limit
Output Voltage vs. Input Voltage Set Point Area plot showing limits where the output voltage can be set for
different input voltages.

Bel Fuse Inc. 206 Van Vorst Street, Jersey City, NJ 07302 Tel 201-432-0463 Fax 201-432-9542 www.belfuse.com
16
NON-ISOLATED DC/DC CONVERTERS
4.5 Vdc - 14 Vdc Input, 0.69 Vdc - 5.5 Vdc /12 A Outputs
Jul. 29, 2015 Bel Power, Inc. , a subsidiary of Bel Fuse, Inc.
Output Trim Equations
Without an external resistor between Trim and GND pins, the output of the module will be 0.69Vdc. To calculate
the value of the trim resistor, Rtrim for a desired output voltage, use the following equation:
k
Vo
Rtrim
69.0
9.6
Rtrim is the external resistor in kΩ
Vo is the desired output voltage.
Table 1 provides Rtrim values required for some common output voltages.
Table 1
V
O, set
(V)
Rtrim (
KΩ)
0.7 690
1.0 22.26
1.2 13.53
1.5 8.519
1.8 6.216
2.5 3.812
3.3 2.644
5.0 1.601
By using a ±0.5% tolerance trim resistor with a TC of ±100ppm, a set point tolerance of ±1.5% can be achieved
as specified in the electrical specification.
Remote Sense
The SLIN-12E1Ax power modules have a Remote Sense feature to minimize the effects of distribution losses by
regulating the voltage between the VS+ and VS– pins. The voltage between the VS– and GND pins of the
module must not drop below –0.2V. If Remote Sense is being used, the voltage between VS+ and VS– cannot
be more than 0.5V larger than the voltage between VOUT and GND. Note that the output voltage of the module
cannot exceed the specified maximum value. When the Remote Sense feature is not being used, connect the
VS+ pin to the VOUT pin and the VS– pin to the GND pin.
Circuit configuration for programming output voltage using an external resistor

Bel Fuse Inc. 206 Van Vorst Street, Jersey City, NJ 07302 Tel 201-432-0463 Fax 201-432-9542 www.belfuse.com
17
NON-ISOLATED DC/DC CONVERTERS
4.5 Vdc - 14 Vdc Input, 0.69 Vdc - 5.5 Vdc /12 A Outputs
Jul. 29, 2015 Bel Power, Inc. , a subsidiary of Bel Fuse, Inc.
Startup into Pre-biased Output
The SLIN-12E1Ax modules can start into a prebiased output as long as the prebias voltage is 0.5V less than the
set output voltage. Note that prebias operation is not supported when output voltage sequencing is used.
Voltage Margining
Output voltage margining can be implemented in the SLIN-12E1Ax modules by connecting a resistor, Rmargin-up,
from the Trim pin to the ground pin for margining-up the output voltage and by connecting a resistor, Rmargin-down,
from the Trim pin to output pin for margining-down.
Vo
MODULE
GND
Trim
Q1
Rtrim
Rmargin-up
Q2
Rmargin-down
Circuit Configuration for margining Output voltage
Monotonic Start-up and Shutdown
The SLIN-12E1Ax modules have monotonic start-up and shutdown behavior for any combination of rated input
voltage, output current and operating temperature range.
Output Voltage Sequencing
The SLIN-12E1Ax modules include a sequencing feature that enables users to implement various types of output
voltage sequencing in their applications. This is accomplished via an additional sequencing pin. When not using
the sequencing feature, either tie the SEQ pin to VIN or leave it unconnected.
When an analog voltage is applied to the SEQ pin, the output voltage tracks this voltage until the output reaches
the set-point voltage. The final value of the SEQ voltage must be set higher than the set-point voltage of the
module. The output voltage follows the voltage on the SEQ pin on a one-to-one volt basis. By connecting
multiple modules together, multiple modules can track their output voltages to the voltage applied on the SEQ pin.
For proper voltage sequencing, first, input voltage is applied to the module. The On/Off pin of the module is left
unconnected (or tied to GND for negative logic modules or tied to VIN for positive logic modules) so that the
module is ON by default.

Bel Fuse Inc. 206 Van Vorst Street, Jersey City, NJ 07302 Tel 201-432-0463 Fax 201-432-9542 www.belfuse.com
18
NON-ISOLATED DC/DC CONVERTERS
4.5 Vdc - 14 Vdc Input, 0.69 Vdc - 5.5 Vdc /12 A Outputs
Jul. 29, 2015 Bel Power, Inc. , a subsidiary of Bel Fuse, Inc.
Output Voltage Sequencing (continued)
After applying input voltage to the module, a minimum 10msec delay is required before applying voltage on the
SEQ pin. During this time, a voltage of 50mV (± 20 mV) is maintained on the SEQ pin.
This can be done by applying the sequencing voltage through a resistor R1connected in series with the SEQ pin.
This delay gives the module enough time to complete its internal power-up soft-start cycle. During the delay time,
the SEQ pin should be held close to ground (nominally 50mV ± 20 mV). This is required to keep the internal op-
amp out of saturation thus preventing output overshoot during the start of the sequencing ramp. By selecting
resistor R1 according to the following equation:
05.0
24950
1
IN
V
R
The voltage at the sequencing pin will be 50mV when the sequencing signal is at zero.
R1
GND
VIN+
SEQ
+
-
OUT
10K
499K
MODULE
Circuit showing connection of the sequencing signal to the SEQ pin
After the 10msec delay, an analog voltage is applied to the SEQ pin and the output voltage of the module will
track this voltage on a one-to-one volt basis until the output reaches the set-point voltage. To initiate
simultaneous shutdown of the modules, the SEQ pin voltage is lowered in a controlled manner. The output
voltage of the modules tracks the voltages below their set-point voltages on a one-to-one basis. A valid input
voltage must be maintained until the tracking and output voltages reach ground potential.
When using the sequencing feature to control start-up of the module, pre-bias immunity during start-up is
disabled. The pre-bias immunity feature of the module relies on the module being in the diode-mode during start-
up. When using the sequencing feature, modules goes through an internal set-up time of 10msec, and will be in
synchronous rectification mode when the voltage at the SEQ pin is applied. This will result in the module sinking
current if a pre-bias voltage is present at the output of the module. When pre-bias immunity during start-up is
required, the sequencing feature must be disabled. For additional guidelines on using the sequencing feature
please contact the Bel Power technical representative for additional information.
ohms

Bel Fuse Inc. 206 Van Vorst Street, Jersey City, NJ 07302 Tel 201-432-0463 Fax 201-432-9542 www.belfuse.com
19
NON-ISOLATED DC/DC CONVERTERS
4.5 Vdc - 14 Vdc Input, 0.69 Vdc - 5.5 Vdc /12 A Outputs
Jul. 29, 2015 Bel Power, Inc. , a subsidiary of Bel Fuse, Inc.
Power Good
The SLIN-12E1Ax modules provide a Power Good (PGOOD) signal that is implemented with an open-drain
output to indicate that the output voltage is within the regulation limits of the power module. The PGOOD signal
will be de-asserted to a low state if any condition such as over temperature, over current or loss of regulation
occurs that would result in the output voltage going ±11% outside the set point value. The PGOOD terminal
should be connected through a pull-up resistor (suggested value 100K) to a source of 6VDC or less.
Synchronization
The SLIN-12E1Ax modules can be synchronized using an external signal. Details of the SYNC signal are
provided in the Electrical Specifications table. If the synchronization function is not being used, leave the SYNC
pin floating.
Tunable LoopTM
The SLIN-12E1Ax modules have a new feature that optimizes transient response of the module called Tunable
LoopTM.
External capacitors are usually added to the output of the module for two reasons: to reduce output ripple and
noise and to reduce output voltage deviations from the steady-state value in the presence of dynamic load
current changes. Adding external capacitance however affects the voltage control loop of the module, typically
causing the loop to slow down with sluggish response. Larger values of external capacitance could also cause
the module to become unstable.
The Tunable LoopTM allows the user to externally adjust the voltage control loop to match the filter network
connected to the output of the module. The Tunable LoopTM is implemented by connecting a series R-C between
the SENSE and TRIM pins of the module, as shown below. This R-C allows the user to externally adjust the
voltage loop feedback compensation of the module.
MODULE
VOUT
SENSE
TRIM
GND
RTUNE
CTUNE
RTrim
C O
Circuit diagram showing connection of RTUNE and CTUNE to tune the control loop of the module
Recommended values of RTUNE and CTUNE for different output capacitor combinations are given in Tables 2 and 3.
Table 2 shows the recommended values of RTUNE and CTUNE for different values of ceramic output capacitors up
to 940uF that might be needed for an application to meet output ripple and noise requirements. Selecting RTUNE
and CTUNE according to Table 2 will ensure stable operation of the module.
In applications with tight output voltage limits in the presence of dynamic current loading, additional output
capacitance will be required. Table 3 lists recommended values of RTUNE and CTUNE in order to meet 2% output
voltage deviation limits for some common output voltages in the presence of a 6A to 12A step change (50% of
full load), with an input voltage of 12V.

Bel Fuse Inc. 206 Van Vorst Street, Jersey City, NJ 07302 Tel 201-432-0463 Fax 201-432-9542 www.belfuse.com
20
NON-ISOLATED DC/DC CONVERTERS
4.5 Vdc - 14 Vdc Input, 0.69 Vdc - 5.5 Vdc /12 A Outputs
Jul. 29, 2015 Bel Power, Inc. , a subsidiary of Bel Fuse, Inc.
Tunable LoopTM (Continued)
Table 2.General recommended values of RTUNE and CTUNE for Vin=12V and various external ceramic capacitor
combinations.
Co 1x47F
2x47F 4x47F
10x47F
20x47F
RTUNE 470 270 150 150 150
CTUNE 1000pF
3300pF 4700pF
8200pF
12nF
Table 3.Recommended values of RTUNE and CTUNE to obtain transient deviation of 2% of Vout for a 6A step load
with Vin=12V.
Vo 5V 3.3V 2.5V 1.8V 1.2V 0.69V
Co 4x47F
1x47F + 330
F
Polymer
2x47F + 330F
Polymer
6x47F + 330F
Polymer
6x47F + 2x330F
Polymer
4x47F + 6x330
F
Polymer
R
TUNE
270 220 220 220 150 150
CTUNE 3300pF
4700pF 6800pF 18nF 33nF 100nF
V
91mV 60mV 47mV 35mV 23mV 12mV
Thermal Considerations
Power modules operate in a variety of thermal environments; however, sufficient cooling should always be
provided to help ensure reliable operation.
Considerations include ambient temperature, airflow, module power dissipation, and the need for increased
reliability. A reduction in the operating temperature of the module will result in an increase in reliability. The
thermal data presented here is based on physical measurements taken in a wind tunnel. The test set-up is
shown below.
Air
flow
x
Power Module
Wind Tunnel
PWBs
12.7_
(0.50)
76.2_
(3.0)
Probe Location
for measuring
airflow and
ambient
temperature
25.4_
(1.0)
Thermal Test Setup

Bel Fuse Inc. 206 Van Vorst Street, Jersey City, NJ 07302 Tel 201-432-0463 Fax 201-432-9542 www.belfuse.com
21
NON-ISOLATED DC/DC CONVERTERS
4.5 Vdc - 14 Vdc Input, 0.69 Vdc - 5.5 Vdc /12 A Outputs
Jul. 29, 2015 Bel Power, Inc. , a subsidiary of Bel Fuse, Inc.
Thermal Considerations (continued)
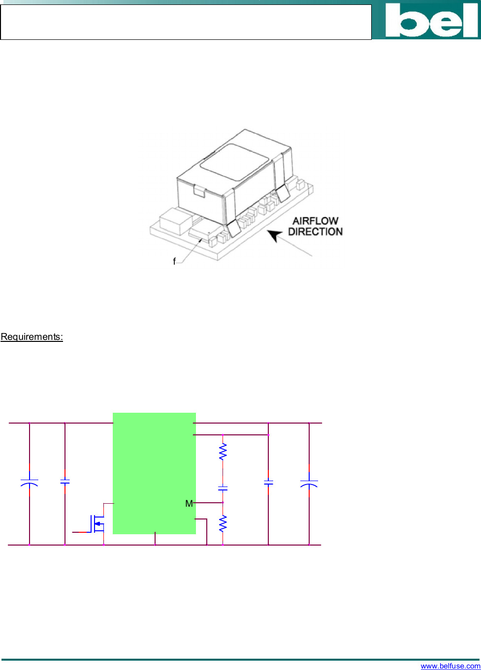
The preferred airflow direction and the thermal reference points, Tref, used in the specifications are also shown
below. For reliable operation the temperatures at these points should not exceed 125oC. The output power of the
module should not exceed the rated power of the module (Vo,set x Io,max). The derating data applies to airflow
in either direction of the module’s short axis.
Preferred airflow direction and location of hot-spot of the module (Tref).
Example Application Circuit
Requirements:
Vin: 12V
Vout: 1.8V
Iout: 9.0A max., worst case load transient is from 6A to 9A
Vout: 1.5% of Vout (27mV) for worst case load transient
Vin, ripple 1.5% of Vin (180mV, p-p)
MODULE
VOUT
VS+
GND
TRIM
RTUNE
CTUNE
RTrim
VIN
CO1
+
CI1 CI2
Vin+ Vout+
ON/OFF
Q1
VS-
+
CO2
CI1 22F/16V ceramic capacitor (e.g. Murata GRM32ER61C226KE20)
CI2 100F/16V bulk electrolytic
CO1 6 x 47F/6.3V ceramic capacitor (e.g. Murata GRM31CR60J476ME19)
CO2 330F/6.3V Polymer (e.g. Sanyo, Poscap)
CTune 15nF ceramic capacitor (can be 1206, 0805 or 0603 size)
RTune 150 ohms SMT resistor (can be 1206, 0805 or 0603 size)
RTrim 6.19k SMT resistor (can be 1206, 0805 or 0603 size, recommended tolerance of 0.1%)
Tref

Bel Fuse Inc. 206 Van Vorst Street, Jersey City, NJ 07302 Tel 201-432-0463 Fax 201-432-9542 www.belfuse.com
22
NON-ISOLATED DC/DC CONVERTERS
4.5 Vdc - 14 Vdc Input, 0.69 Vdc - 5.5 Vdc /12 A Outputs
Jul. 29, 2015 Bel Power, Inc. , a subsidiary of Bel Fuse, Inc.
Mechanical Outline

Bel Fuse Inc. 206 Van Vorst Street, Jersey City, NJ 07302 Tel 201-432-0463 Fax 201-432-9542 www.belfuse.com
23
NON-ISOLATED DC/DC CONVERTERS
4.5 Vdc - 14 Vdc Input, 0.69 Vdc - 5.5 Vdc /12 A Outputs
Jul. 29, 2015 Bel Power, Inc. , a subsidiary of Bel Fuse, Inc.
Mechanical Outline (continued)
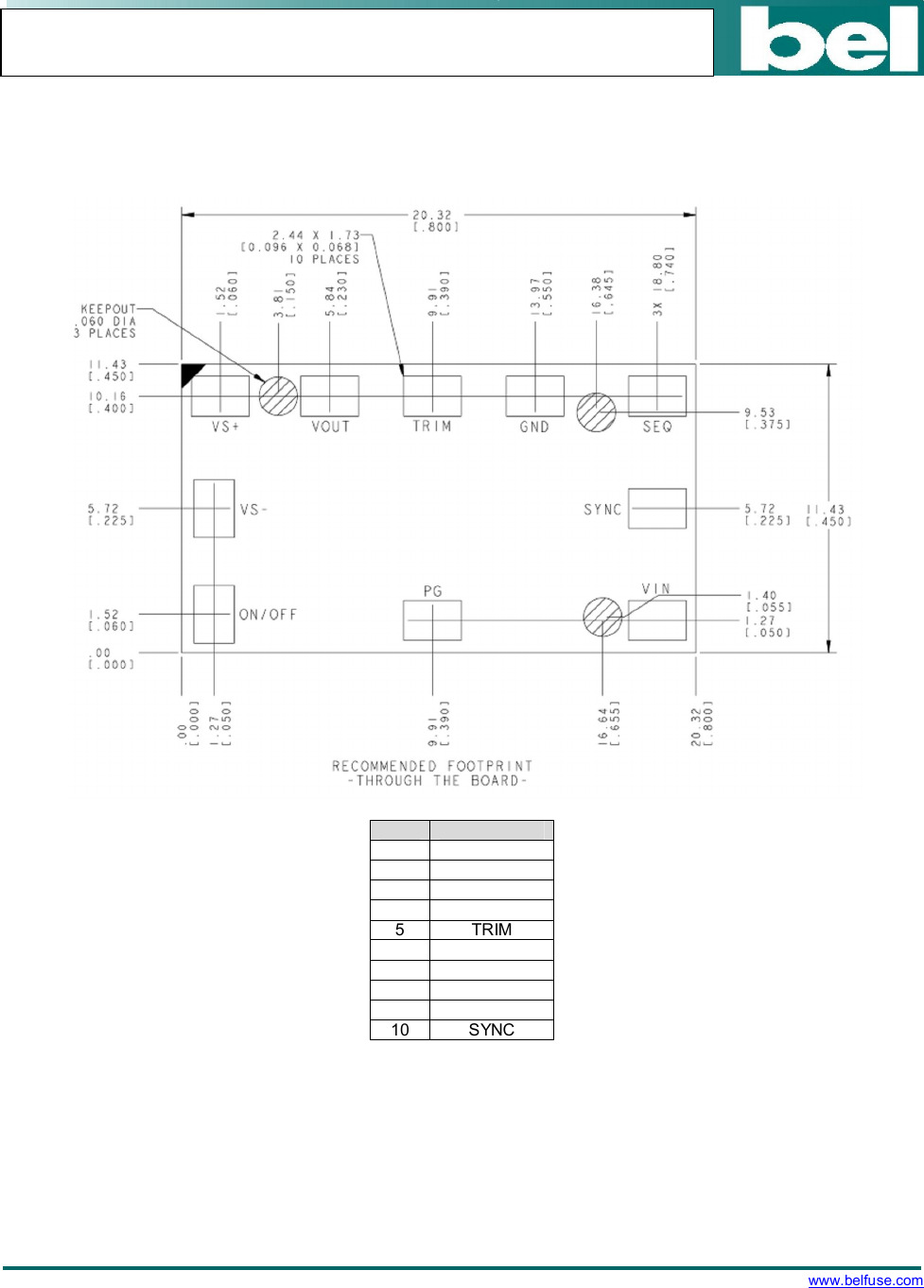
Recommended Pad Layout
Dimensions are in millimeters and (inches).
Tolerances: x.x mm 0.5 mm (x.xx in. 0.02 in.) [unless otherwise indicated]
x.xx mm 0.25 mm (x.xxx in 0.010 in.)
Note: This module is recommended and compatible with Pb-Free Reflow Soldering and must be soldered
using a reflow profile with a peak temperature of no more than 260 ºC for less than 5 seconds.
PIN
FUNCTION
1 ON/OFF
2 VIN
3 SEQ
4 GND
5
TRIM
6 VOUT
7 VS+
8 VS-
9 PG
10
SYNC

Bel Fuse Inc. 206 Van Vorst Street, Jersey City, NJ 07302 Tel 201-432-0463 Fax 201-432-9542 www.belfuse.com
24
NON-ISOLATED DC/DC CONVERTERS
4.5 Vdc - 14 Vdc Input, 0.69 Vdc - 5.5 Vdc /12 A Outputs
Jul. 29, 2015 Bel Power, Inc. , a subsidiary of Bel Fuse, Inc.
Packaging Details
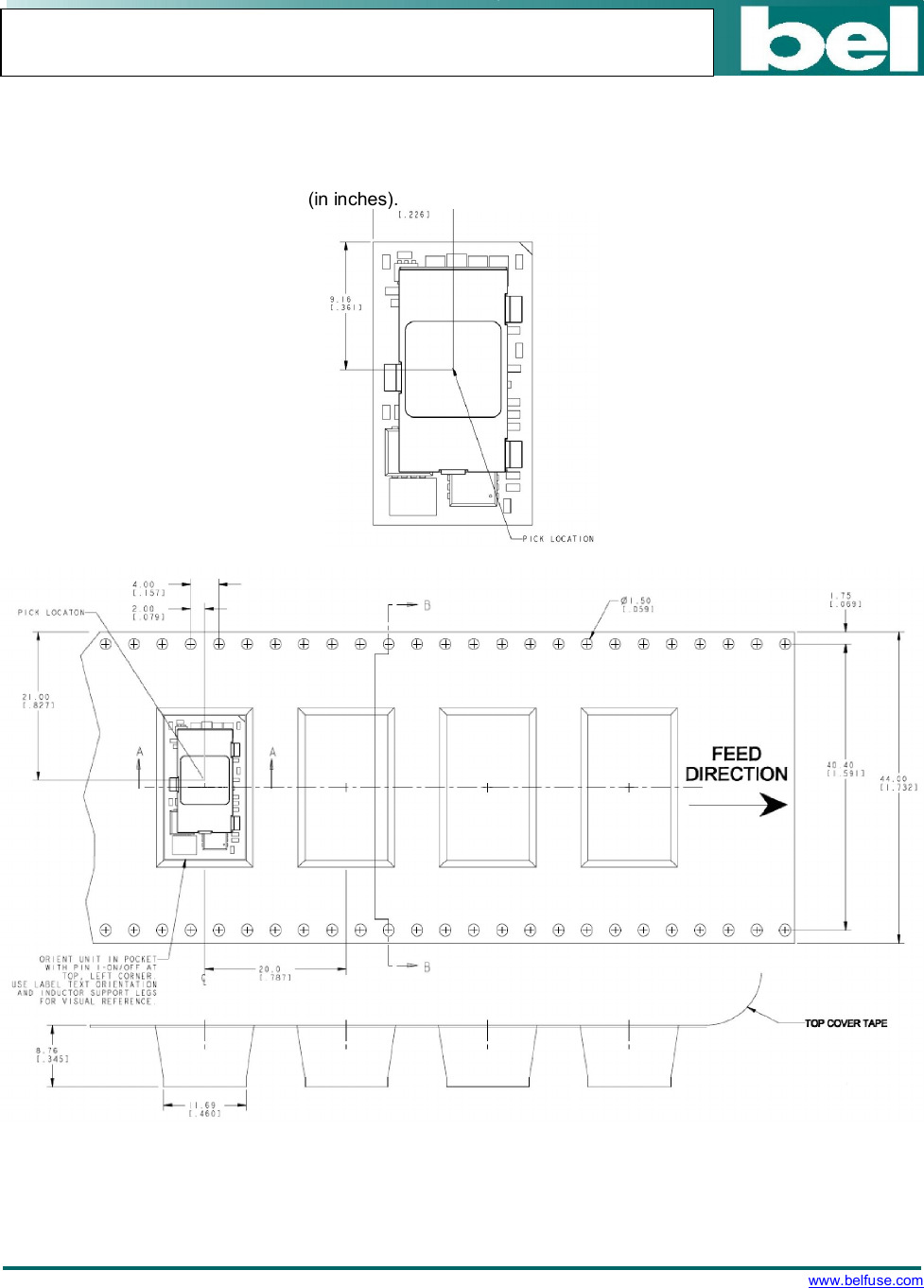
The SLIN-12E1Ax modules are supplied in tape & reel as standard.
All Dimensions are in millimeters and (in inches).
Reel Dimensions:
Outside Dimensions: 330.2 mm (13.00’’)
Inside Dimensions: 177.8 mm (7.00”)
Tape Width: 44.00 mm (1.732”)

Bel Fuse Inc. 206 Van Vorst Street, Jersey City, NJ 07302 Tel 201-432-0463 Fax 201-432-9542 www.belfuse.com
25
NON-ISOLATED DC/DC CONVERTERS
4.5 Vdc - 14 Vdc Input, 0.69 Vdc - 5.5 Vdc /12 A Outputs
Jul. 29, 2015 Bel Power, Inc. , a subsidiary of Bel Fuse, Inc.
Surface Mount Information
Pick and Place
The SLIN-12E1Ax modules use an open frame construction and are designed for a fully automated assembly
process. The modules are fitted with a label designed to provide a large surface area for pick and place
operations. The label meets all the requirements for surface mount processing, as well as safety standards, and
is able to withstand reflow temperatures of up to 300oC. The label also carries product information such as part
number and serial number.
Nozzle Recommendations
The module weight has been kept to a minimum by using open frame construction. Variables such as nozzle size,
tip style, vacuum pressure and placement speed should be considered to optimize this process. The minimum
recommended inside nozzle diameter for reliable operation is 3mm. The maximum nozzle outer diameter, which
will safely fit within the allowable component spacing, is 7 mm.
Lead Free Soldering
The SLIN-12E1Ax modules are lead-free (Pb-free) and RoHS compliant and fully compatible in a Pb-free
soldering process. Failure to observe the instructions below may result in the failure of or cause damage to the
modules and can adversely affect long-term reliability.
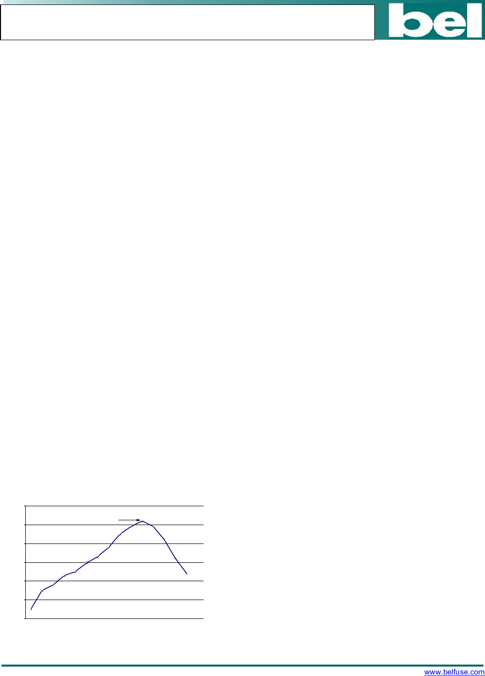
Pb-Free Reflow Profile
Power Systems will comply with J-STD-020 Rev. C (Moisture/Reflow Sensitivity Classification for Nonhermetic
Solid State Surface Mount Devices) for both Pb-free solder profiles and MSL classification procedures. This
standard provides a recommended forced-air-convection reflow profile based on the volume and thickness of the
package. The suggested Pb-free solder paste is Sn/Ag/Cu (SAC). The recommended linear reflow profile using
Sn/Ag/Cu solder is shown in the figure below. Soldering outside of the recommended profile requires testing to
verify results and performance.
MSL Rating
The SLIN-12E1Ax modules have a MSL rating of 2A.
Storage and Handling
The recommended storage environment and handling procedures for moisture-sensitive surface mount packages
is detailed in J-STD-033 Rev. A (Handling, Packing, Shipping and Use of Moisture/Reflow Sensitive Surface
Mount Devices). Moisture barrier bags (MBB) with desiccant are required for MSL ratings of 2 or greater. These
sealed packages should not be broken until time of use. Once the original package is broken, the floor life of the
product at conditions of 30°C and 60% relative humidity varies according to the MSL rating (see J-STD-033A).
The shelf life for dry packed SMT packages will be a minimum of 12 months from the bag seal date, when stored
at the following conditions: < 40° C, < 90% relative humidity.
Per J-STD-020 Re v. C
0
50
100
150
200
250
300
Reflow Time (Se conds)
Reflow Temp (°C)
He ating Zone
1°C/Second
Peak Temp 260°C
* Min. Time Above 235°C
15 Se conds
*Time Above 217°C
60 Seconds
Cooling
Zone
Recommended linear reflow profile using Sn/Ag/Cu solder.

2015 Bel Fuse Inc. Specifications subject to change without notice. 072915
26
CORPORATE FAR EAST EUROPE
Bel Fuse Inc. Bel Fuse Ltd. Bel Fuse Europe Ltd.
206 Van Vorst Street 8F/ 8 Luk Hop Street Preston Technology Management Centre
Jersey City, NJ 07302 San Po Kong Marsh Lane, Suite G7, Preston
Tel 201-432-0463 Kowloon, Hong Kong Lancashire, PR1 8UD, U.K.
Fax 201-432-9542 Tel 852-2328-5515 Tel 44-1772-556601
www.belfuse.com Fax 852-2352-3706 Fax 44-1772-888366
www.belfuse.com www.belfuse.com
NON-ISOLATED DC/DC CONVERTERS
4.5 Vdc - 14 Vdc Input, 0.69 Vdc - 5.5 Vdc /12 A Outputs
Jul. 29, 2015 Bel Power, Inc. , a subsidiary of Bel Fuse, Inc.
Post Solder Cleaning and Drying Considerations
Post solder cleaning is usually the final circuit-board assembly process prior to electrical board testing. The
result of inadequate cleaning and drying can affect both the reliability of a power module and the testability of
the finished circuit-board assembly.
Revision History
Date Revision Changes Detail Approval
2009-6-1 A First release T. Bubriski
2009-6-25 B Section “Surface Mount Information” added. T. Bubriski
2009-9-1 C Tunable LoopTM logo added. T. Bubriski
2009-10-8 D Updated Startup Time waveforms on page 10. T. Bubriski
2009-11-5 E Corrected I/P Reflected Ripple Current. T. Bubriski
2010-1-20 F Updated Remote ON/OFF section on page 14. T. Bubriski
2010-11-5 G Updated Thermal Derating Curves on page 6. T. Bubriski
2010-12-2 H
Updated
Output Voltage Limit for PGOOD
and MTBF on page 4 and
Power Good section on page 19. T. Bubriski
2015-7-29 I
Update UL in features, update part Selection,part number explanation,
absolute maximum ratings, MSL rating, add label in mechanical
outline. XF Jiang
RoHS Compliance
Complies with the European Directive 2011/65/EU, calling for the elimination of lead and
other hazardous substances from electronic products.
Products related to this Datasheet
DC DC CONVERTER 0.69-5.5V 66W
DC DC CONVERTER 0.69-5.5V 66W