Surge Protection, Power Supplies Catalog Datasheet by Phoenix Contact
View All Related Products | Download PDF Datasheet
6
Surge Protection
and Power Supplies
2015 / 2016

Also discover the Phoenix Contact catalog app
interactively on your tablet.
Surge protection and
power supplies
Terminal blocks
• Terminal blocks
Sensor/actuator cabling and
industrialconnectors
• Sensor/actuator cabling
• Cables and lines
• Connectors
Marking systems, tools, and
mountingmaterial
• Marking and labeling
• Tools
• Installation and mounting material
Interface technology and switching devices
• Electronic switching devices and motor control
• Measurement and control technology
• Monitoring
• Relay modules
• System cabling for controllers
Control technology, I/O systems, and
automation infrastructure
• Lighting and signaling
• Fieldbus components and systems
• Functional Safety
• HMIs and industrial PCs
• I/O systems
• Industrial Ethernet
• Industrial communication technology
• Software
• Controllers
• Wireless data communication
PCB connection technology and
electronics housing 2013/14
• PCB terminal blocks and PCB connectors
• Electronics housing
Connection technology for fi eld devices
2013/14
• Connectors
• Cables and lines
Information on these products can be found in the electronic
product catalogs for 2013/14.
Or get the latest on all the new products and additional
information directly in the product area of our website:
phoenixcontact.net/products
Find out more
with the web code
On some of the catalog pages, you can find our web
codes: a number sign followed by a four-digit number
combination.
Web code: #1234 (example)
This allows you to reach information on our website
quickly.
It couldn't be simpler:
1. Go to the Phoenix Contact website
2. Enter # and the number combination
in the search field
3. Receive more information and product versions
Search
Or use the direct link:
phoenixcontact.net/webcode/#1234

4
PHOENIX CONTACT
Introduction
Product range overview
Lightning monitoring
system
Surge protection for the power supply with SEC technology
LM-S Page 10 Lightning arrester
FLASHTRAB SEC HYBRID ... Page 20
FLASHTRAB SEC PLUS 440 ... Page 21
FLASHTRAB SEC PLUS 350 ... Page 22
Type 1 + 2 lightning and surge arrester
combination
FLASHTRAB SEC T1+T2... Page 25
Type 2 surge arrester + type 3 device
protection
VALVETRAB SEC Page 28
PLUGTRAB SEC Page 30
Surge protection for the power supply Set solutions
Type 1 lightning arrester
POWERTRAB Page 34
VALVETRAB MS T1/T2 Page 36
Type 2 surge arrester
VALVETRAB MS Page 40
Type 3 device protection
BLOCKTRAB Page 54
MAINTRAB Page 56
PLUGTRAB Page 54
Building set Page 39
PV-SET Page 58
Surge protection for MCR technology
Surge protection for information technology
DIN rail modules
PLUGTRAB Page 74
LINETRAB Page 92
TERMITRAB Page 94
Special systems Page 98
LSA-PLUS modules Page 116
For networks Page 108
For interfaces Page 109
MAINTRAB Page 56
PLUGTRAB PT-IQ Page 80
Telecommunications systems Page 56
Surge protection for transceiver systems
Test devices Isolating spark gap
For mobile phone networks Page 126
For video communication Page 127
For radio and television sets Page 130 CHECKMASTER 2 Page 136 FLASHTRAB ISG Page 140

For further information and full technical data, visit phoenixcontact.net/products
5
PHOENIX CONTACT
Introduction
Product range overview
EMC solutions Power supply units
Mains interference filters with integrated
surge protection Page 146
Interference suppression filters Page 149
QUINT POWER Page 158
QUINT POWER, with protective coating
Page 166
TRIOPOWER Page 168 UNOPOWER Page 174
DC/DC converters
Redundancy modules
MINI POWER Page 182 STEPPOWER Page 186 QUINT DC/DC converters Page 196
QUINT DC/DC converters, with protective
coating Page 202
MINIDC/DC converter Page 204
QUINT ORING Page 208
TRIO DIODE Page 210
QUINTDIODE, UNODIODE Page 212
STEP DIODE Page 213
UPS for the control cabinet
QUINT UPS Page 220 Power storage for
QUINT UPS Page 224
UPS with integrated power storage
QUINTUPS Page 234
QUINTBUFFER Page 235
STEPUPS, UNOUPS Page 236
UPS with integrated power supply unit
TRIOUPS Page 238
MINIUPS Page 239
UPS for 19" rack/tower
Protective devices
UPS devices Page 244 CB device circuit breakers Page 252 CBM multi-channel electronic device circuit
breakers Page 258
TCP thermal circuit breakers Page 262
Fuse terminal blocks, see Catalog 3

6
PHOENIX CONTACT

Lightning monitoring system
Introduction 8
LM-S
Sensor 10
Connecting cable 10
Evaluation unit 11
Optoelectronic module 11
7
PHOENIX CONTACT
Lightning strikes are a particular hazard
for exposed structures such as offshore
wind parks, radio masts, leisure facilities or
high buildings.
The LM-S lightning monitoring system can
detect and analyze lightning strikes in
realtime. It provides information online
about the intensity of the strike based on
the typical lightning parameters. By
consolidating the system operating
parameters and the measuring data, the
system provides a better basis for making
decisions regarding control and
maintenance.
Your web code: #0141
LM-S lightning monitoring system

8
PHOENIX CONTACT
Lightning monitoring
Lightning monitoring system introduction
Lightning strikes cause devastating
damage to buildings and systems. It is
practically impossible for employees to
continuously monitor exposed or large-
scale systems, which means that damage is
detected too late.
Detecting lightning with the lightning
monitoring system
The LM-S lightning monitoring system
supports continuous monitoring. Lightning
events are detected, evaluated, and
remotely monitored via network access. By
consolidating the system operating
parameters and the measuring data, the
system provides a better basis for making
decisions regarding control and
maintenance.
The LM-S lightning monitoring system
consists of the following components:
– Sensor
– Connecting cable
– O/E module
– Evaluation unit

For further information and full technical data, visit phoenixcontact.net/products
9
PHOENIX CONTACT
Lightning monitoring
Lightning monitoring system introduction
Faraday effect as a reliable measuring
method
The internal measuring principle of the
LM-S is based on the Faraday effect.
Polarized light in a specific medium is
rotated through a magnetic field over a
defined length and measured.
The higher the amperage (i) generated by
a lightning strike the greater the magnetic
flux density (B) and, therefore, the rotation
of the polarized light.
The lightning monitoring system detects
this change in the light signal and uses this as
the basis for the corresponding measured
value results.
Remote monitoring in realtime
The evaluation unit can be easily
integrated into standard network systems
via the RJ45 Ethernet interface. An internal
web server is used as the basis for accessing
recorded data and configuring the system.
The web interface is opened via the Internet
browser of a PC connected to the system
using IP addressing.
Detection and evaluation
The sensors are mounted on the lightning
arrester cables. They record the magnetic
field that occurs around the conductor due
to the lightning surge current. The
measured result is transmitted via fiber
optics to the O/E module of the evaluation
unit, where the optical signal is converted
into an electrical signal. Based on the values
obtained, the evaluation unit determines
the lightning characteristics with their
typical parameters, including, for example,
the maximum lightning current strength,
lightning current rate of rise, charge, and
energy. These results can be forwarded to
an existing management system via the
Ethernet interface.

Technical data
Detectable values
Maximum current strength 250 kA
FO interface
Connection method SC-RJ socket with push-pull connector, IP67
General data
Ambient temperature (operation) -30°C ... 60°C
Ambient temperature (storage/transport) -40°C ... 85°C
Degree of protection IP67
Ordering data
Description Type Order No. Pcs. /
Pkt.
Sensor
LM-S-LS-H 2800616 1
– Optical lightning sensor for measuring
current strength of lightning surge
currents
– Subsequent mounting is possible
– Resistant to humidity
– Good UV resistance
Sensor
Lightning monitoring
LM-S
Sensor
Ordering data
Description Type Order No. Pcs. /
Pkt.
Connecting cable, variable, for
Industrial applications, green FOC-SJ:14-ST/HB02/... 1417723 1
Wind power plants, black FOC-SJ:14-ST/HB07/... 1417723 1
Notes:
The specified plug configuration (see ordering example) must be
used in order to use the connecting cable in the LM-S lightning
monitoring system.
Recommended length: 10 to 200 m
– HCS cable for connecting LM-S sensors
to the O/E module
– Good UV resistance
– Good oil resistance
Connecting cable
Connecting cable for LM-S
Ordering example for LM-S connecting
cable with variable cable length:
Assembled connecting cable for the LM-S lightning monitoring
system, with a metal push-pull connector, a B-FOC plug, and a
cable length of 10 m.
Order No. Length [m]
Max. 200 m
1417723 /
FOC-SJ:14-ST/HB02 / 10.0
Increments:
10.0 m ... 200 m = 1.0 m
10
PHOENIX CONTACT

For further information and full technical data, visit phoenixcontact.net/products
Technical data
Operating voltage 24 V DC ±4 V
Ethernet ports
Connection method RJ45
Transmission speed 10/100 Mbps
FO interface
Interface B-FOC (ST
®
)
Number of ports 3
Sensor interfaces
Connection method Rack for plug-in I/O module
Remote indication contact
Connection method M12 D-coded
Max. operating voltage 60 V DC
General data
Ambient temperature (operation) -30°C ... 60°C
Degree of protection IP20
Ordering data
Description Type Order No. Pcs. /
Pkt.
Evaluation unit with O/E module
LM-S-A/C-3S-ETH 2800618 1
– Complete module including O/E module
for connecting up to three LM-S sensors
– Evaluation and storage of amperage,
current rate of rise, charge, and specific
energy
– Realtime analysis and exact time
allocation
– Status and diagnostics indicators
– Communication via Ethernet
– Operation and configuration via web
interface
– Mounting on a DIN rail
Evaluation unit
Lightning monitoring
LM-S
Evaluation unit with O/E module
Technical data
FO interface
Interface B-FOC (ST
®
)
Number of ports 3
General data
Ambient temperature (operation) -30°C ... 60°C
Ambient temperature (storage/transport) -40°C ... 85°C
Degree of protection IP20
Ordering data
Description Type Order No. Pcs. /
Pkt.
Optoelectronic module
LM-S-C-3LS 2800617 1
11
PHOENIX CONTACT
– Replacement O/E module for evaluation
unit
– Connection of up to three LM-S sensors
– Status and diagnostic display via
evaluation unit
Optoelectronic module
O/E module

12
PHOENIX CONTACT

Selection guides 14
Surge protection for the power supply with Safe Energy
Control
18
Type 1 20
Type 1 + 2 25
Type 2 28
Type 3 30
Surge protection for the power supply 32
Type 1 34
Type 1/2 36
Type 2 40
Type 3 54
Photovoltaic arresters 58
Applications 62
Surge protection for MCR technology 70
Selection guide 72
DIN rail modules
PLUGTRABPT-IQ, PLUGTRABPT, LINETRAB, TERMITRAB
74
Special systems
SURGETRAB
98
Applications 100
Surge protection for information technology and
telecommunications
104
Selection guide 106
Bus systems 108
Telecommunications 114
Applications 120
Surge protection for transceiver systems 122
Selection guide 124
Transceiver technology 126
TV and radio systems 127
Applications 58
Accessories for surge protection 134
Test device for arresters 136
Isolating spark gap 140
Interference suppression filters 144
Filters with type 3 surge protection 146
Filters 149
13
PHOENIX CONTACT
Damage caused by surge voltages
The number of electrical devices damaged
or destroyed by surge voltages is increasing
year on year. This can prove expensive in
terms of repairs and downtimes. In an
industrial environment, the hazards are not
only restricted to systems and devices.
Building technology applications and even
residential buildings may be affected.
Interference voltages
Switching operations triggered
mechanically or electronically generate
pulse-like and high-frequency interference
voltages. These voltages spread in an
unimpeded manner across the cable
network. All the devices within this cable
network are affected. Data errors,
uncontrolled functions, and system crashes
can result, with electronic and data
processing devices at particular risk.
Your web code: #0142
Surge protection and interference suppression filters

N
L1
PE
L2
L3
L1
PEN
L2
L3
L1
PE
L2
N
L2
L1
PEN
N
L1
PE
PEN
L1
N
L1
PE
Surge protection for the power supply
Network type IEC test classification/EN type
I / T1 I / T1+ I+II / T1+T2 II / T2 III / T3
230 /
400 V
3-phase
TN-S/TT
TN-C
2-phase
TN-S/TT
TN-C
1-phase
TN-S/TT
TN-C
Surge protection for the power supply
Network type IEC test classification/EN type
I / T1 I / T1+ I+II / T1+T2 II / T2 III / T3
230 /
400 V
3-phase
TN-S/TT
TN-C
1-phase TN-S/TT
Note
Products bearing this stamp
(plug elements) can be tested
with the CHECKMASTER.
The selection matrix makes it easy to
select suitable surge protection for the
desired application.
Further application recommendations,
in particular for DC applications, on
request.
Network type
TN-S/TT
3-phase
TN-C
3-phase
TN-S/TT
2-phase
TN-C
2-phase
TN-S/TT
1-phase
TN-C
1-phase
TN-S/TT
End devices
14
PHOENIX CONTACT
Surge protection and interference suppression filters
Selection guide for the power supply

For further information and full technical data, visit phoenixcontact.net/products
in a 230/400 V system, standard applications
Surge protective device Order No. Page
FLT-SEC-P-T1-3S-350/25-FM 2905421 22
FLT-SEC-H-T1-3C-264/25-FM + FLT-SEC-P-T1-N/PE-350/100-FM 2905871 + 2905472 20
FLT-SEC-T1+T2-3S-350/25-FM 2905470 25
VAL-SEC-T2-3S-350-FM 2905340 28
PLT-SEC-T3-3S-230-FM 2905230 30
FLT-SEC-P-T1-3C-350/25-FM 2905419 22
FLT-SEC-H-T1-3C-F-264/25-FM 2905871 20
FLT-SEC-T1+T2-3C-350/25-FM 2905469 25
VAL-SEC-T2-3C-350-FM 2905339 28
FLT-SEC-P-T1-2S-350/25-FM 2905418 23
2 x FLT-SEC-H-T1-1C-264/25-FM + FLT-SEC-P-T1-N/PE-350/100-FM 2801615 + 2905472 20
FLT-SEC-T1+T2-2S-350/25-FM 2905468 26
VAL-SEC-T2-2S-350-FM 2905338 29
FLT-SEC-P-T1-2C-350/25-FM 2905416 23
2 x FLT-SEC-H-T1-1C-264/25-FM 2801615 20
FLT-SEC-T1+T2-2C-350/25-FM 2905467 27
VAL-SEC-T2-2C-350-FM 2905337 29
FLT-SEC-P-T1-1S-350/25-FM 2905415 23
FLT-SEC-H-T1-1C-264/25-FM + FLT-SEC-P-T1-N/PE-350/100-FM 2801615 + 2905472 20
FLT-SEC-T1+T2-1S-350/25-FM 2905466 27
VAL-SEC-T2-1S-350-FM 2905333 29
PLT-SEC-T3-230-FM 2905229 31
FLT-SEC-P-T1-1C-350/25-FM 2905414 24
FLT-SEC-H-T1-1C-264/25-FM 2801615 20
FLT-SEC-T1+T2-1C-350/25-FM 2905465 27
in a 230/400 V system, special installation conditions
Surge protective device Order No. Page
VAL-CP-RCD-3S/40/0.03 With RCD (30 mA rated residual current) 2808002 51
VAL-CP-RCD-3S/40/0.3SEL With RCD (300 mA rated residual current) 2808001 51
VAL-CP-MCB-3S-350/40/FM With MCB 2882750 53
VAL-CP-MOSO 60-3S-FM With MCB for 60 mm rail system 2804403 52
VAL-MS 350VF/3+1-FM Free of leakage current 2885632 42
GEB-SET-T1/T2 TAE/TV-SAT Set solution for building installation 2801022 39
VAL-CP-MCB-3C-350/40/FM With MCB 2882776 53
VAL-CP-MOSO 60-3C-FM With MSB for 60 mm rail system 2804416 52
VAL-CP-MCB-1S-350/40/FM With MCB 2882763 53
VAL-MS 350 VF/1+1-FM Free of leakage current 2902577 43
MNT-1 D Attachment plug 2882200 56
BT-1S-230AC/A Universal mounting (audible) 2803409 55
BT-1S-230AC/O Universal mounting (optical) 2800625 55
15
PHOENIX CONTACT
Surge protection and interference suppression filters
Selection guide for the power supply

N
L1
PE
L2
L3
L1
PEN
L2
L3
L1
PE
L2
N
L2
L1
PEN
N
L1
PE
PEN
L1
N
L1
PE
L1
PE
L2
L3
Network type
IEC test classification/EN type
I / T1 I / T1+ I+II / T1+T2 II / T2 III / T3
120 V
3-phase
TN-S/TT
TN-C
2-phase
TN-S/TT
TN-C
1-phase
TN-S/TT
TN-C
400 V 3-phase
IT
Without
neutral
conductor
400 /
690 V 3-phase TN
554 /
960 V 3-phase TN
500 ...
690 V 3-phase
IT
Without
neutral
conductor
24 V
DC
General
applications
600 V
DC
PV
applications
1000 V
DC
PV
applications
Note
Products bearing this stamp
(plug elements) can be tested
with the CHECKMASTER.
Surge protection for the power
supply, other network types
The selection matrix makes it easy to
select suitable surge protection for the
desired application. Further application
recommendations, in particular for DC
applications, on request.
Network type
TN-S/TT
3-phase
TN-C
3-phase
TN-S/TT
2-phase
TN-C
2-phase
TN-S/TT
1-phase
TN-C
1-phase
TN-S/TT
End devices
IT
3-phase
16
PHOENIX CONTACT
Surge protection and interference suppression filters
Selection guide for the power supply

For further information and full technical data, visit phoenixcontact.net/products
Surge protective device Order No. Page
VAL-MS-T1/T2-175/12.5/3+1-FM 2800670 36
VAL-SEC-T2-3S-175-FM 2905354 28
VAL-MS-T1/T2 175/12.5/3+0-FM 2800672 36
VAL-SEC-T2-3C-175-FM 2905353 28
VAL-SEC-T2-2S-175-FM 2905351 29
VAL-SEC-T2-2C-175-FM 2905350 29
VAL-MS-T1/T2-175/12.5/1+1-FM 2800674 37
VAL-SEC-T2-1S-175-FM 2905348 29
PLT-SEC-T3-120-FM 2905228 31
VAL-MS-T1/T2-175/12.5/1+0-FM 2801044 37
VAL-MS-120-ST + VAL-MS BE/FM 2807586 + 2817738 45
FLT-SEC-P-T1-3C-440/25-FM 2905988 21
VAL-MS 580/3+0-FM 2920447 41
FLT-SEC-P-T1-3C-440/25-FM 2905988 21
VAL-MS 580/3+0-FM 2920447 41
PWT 100-800/AC-FM 2800419 35
VAL-MS 750/30/3+0-FM 2920272 48
PWT 100-800/AC-FM 2800419 35
VAL-MS 750/30/3+0-FM 2920272 48
VAL-MS-T1/T2 48/12.5/1+0-FM 2801240 38
VAL-MS 60/FM 2868033 44
PLT-SEC-T3-24-FM 2905223 31
VAL-MS-T1/T2 600DC-PV/2+V-FM 2801164 58
VAL-MS 600DC-PV/2+V-FM 2800641 58
VAL-MS-T1/T2 1000DC-PV/2+V-FM 2801161 58
VAL-MS 1000DC-PV/2+V-FM 2800627 58
PV-SET 1ST/1000DC/1MPP-SPD-SC For one MPP tracker 2801529 60
PV-SET 2ST/1000DC/2MPP-SPD-SC For two MPP trackers 2801317 60
PV-SET 3ST/1000DC/3MPP-SPD-SC For three MPP trackers 2801531 60
PV-SET 2ST/1000DC-SPD-DC-SC For two solar strings incl. disconnector 2801318 60
17
PHOENIX CONTACT
Surge protection and interference suppression filters
Selection guide for the power supply

18
PHOENIX CONTACT
Surge protection and interference suppression filters
Surge protection for the power supply with Safe Energy Control
Safe Energy Control (SEC)
technology
The new surge protective devices with
Safe Energy Control technology represent
an easy-to-install product range which
combines maximum performance and
superior durability. Electrical equipment is
reliably protected and maintenance costs
are reduced. Installation of arresters with
SEC technology is easy, cost-effective, and
space-saving.
Isolated and durable
A consistent surge protection concept
requires a powerful type 1 lightning arrester.
Conventional type 1 spark gaps burden the
installation with high line follow currents,
which can also cause the surge protection
upstream to be triggered. The lightning
arresters in the SEC range are the first of
their kind to feature spark gap technology
with no line follow current. The avoidance
of line follow currents benefits the entire
installation. This not only applies to the
protected equipment, but the entire supply,
including the arrester. Maximum system
availability is achieved because the fuse
protection upstream is not triggered.
Solution without backup fuse for
every application
The powerful lightning arresters and
surge protective devices with Safe Energy
Control technology provide a solution
without separate arrester backup fuse for all
common applications. For applications
where the protection of the installation is
the top priority, type 1 and type 2 arresters
can be used for main fuse ratings of
315AgG without separate overcurrent
protection. For applications beyond this
scope, products are available with
integrated surge-proof fuse, such as the FLT-
SEC-HYBRID. The type 3 protective devices
in the PLT range can be operated in branch
wiring without any kind of backup fuse,
which is also thanks to the integrated surge-
proof fuses.
Compact and consistent plug-in
design
With the FLT-SEC-PLUS-440, the SEC
range offers the most compact type 1 spark
gap for this nominal voltage, with the VAL-
SEC the narrowest type 2 arrester, and with
the FLT-SEC-T1+T2 the only directly
coordinated combination of type 1 spark
gap and type 2 varistor arrester in a
confined space. All products in the SEC
range have a plug-in design. Maintenance
work is therefore made much easier.
Everything in the green – we're
betting that you won't see red for five
years
With the low-wear surge protective
devices in the SEC range, you won't have to
think about replacing wear parts for at least
five years. Thanks to the SEC technology,
the high-quality components are particularly
durable. However, should the status
indicator signal the need for replacement
within the first five years following purchase,
you will receive a free replacement device.
Your web code: #0143

For further information and full technical data, visit phoenixcontact.net/products
19
PHOENIX CONTACT
Surge protection and interference suppression filters
Surge protection for the power supply with Safe Energy Control
New spark gaps
The newly developed spark gaps in the
type 1 arresters are isolated and extremely
powerful thanks to the use of technology
with no line follow current. This increases
the durability of the components in your
system.
Type 1 lightning arrester with
integrated arrester backup fuse
The FLT-SEC-HYBRID combines surge
protection and a backup fuse in a single
connector. It is no longer necessary to
install a separate arrester backup fuse. This
saves space and reduces installation costs.
The power package
Maximum discharge capacity in an
extremely compact design. And all for
continuous voltages up to 440 V. The ideal
type1 lightning arrester for use in industry
and wind power plants.
Lightning current and surge
protection
Reliable protection and minimal
installation effort thanks to the narrowest,
coordinated combination of real type1
lightning arresters and type2 surge
protective devices.
Ultra narrow
With an overall width of just 12.5mm per
channel, the type2 surge protective devices
provide outstanding protection in a
minimum amount of space - they can be
used up to 315A in the branch without a
backup fuse.
Powerful type3 device protection
Integrated surge-proof fuses eliminate the
need for a separate fuse in the branch. This
saves space and simplifies planning.

12 14
FM
11
PEN
L1 L2 L3
12 14
FM
11
L
PEN
Technical data Technical data
Electrical data
IEC test classification I / II, T1 / T2 I / II, T1 / T2
Nominal voltage U
N
240/415 V AC (TN-C) 240 V AC (TN-C) / 240 V AC (TT)
Maximum continuous operating voltage U
C
L-PEN 264 V AC 264 V AC
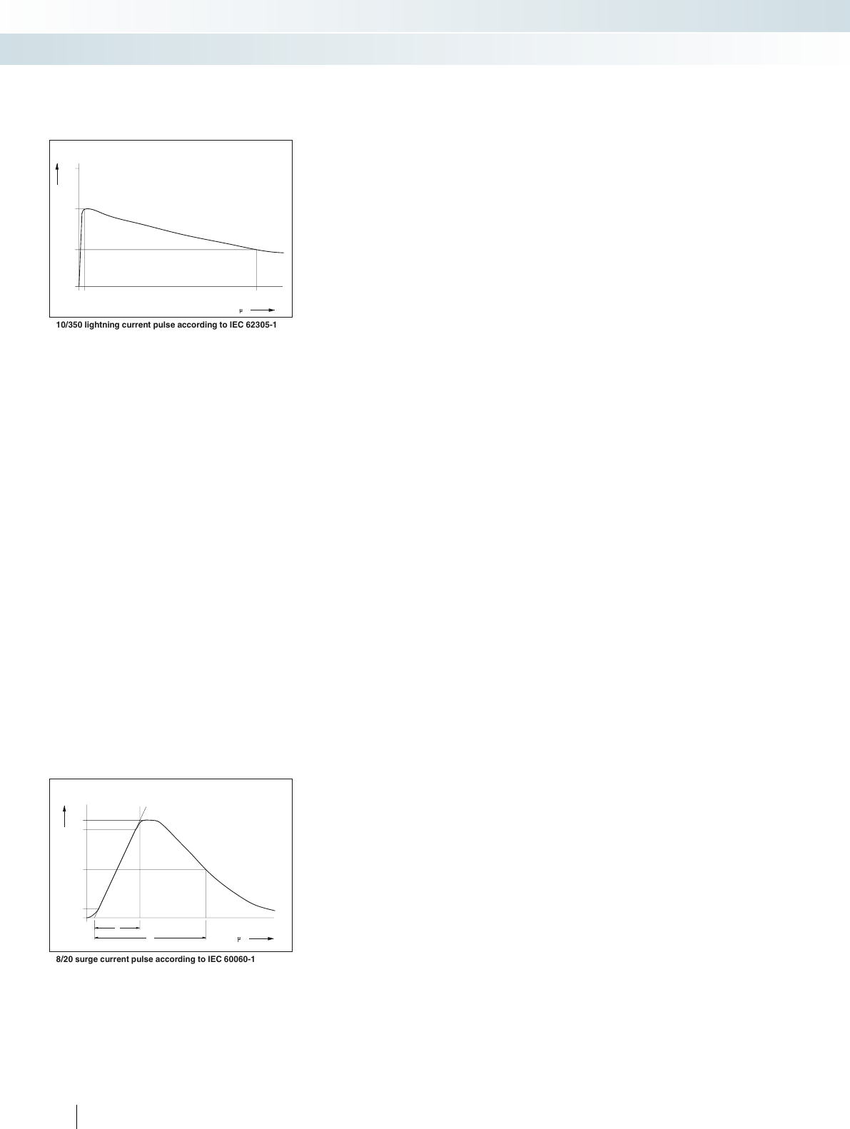
Impulse discharge curr. I
imp
(10/350) μs
Charge L-PEN 12.5 As 12.5 As
Specific energy L-PEN 160 kJ/Ω160 kJ/Ω
Peak value L-PEN 25 kA 25 kA
Nominal discharge current I
n
(8/20) µs L-PEN 25 kA 25 kA
Max. discharge current I
max.
(8/20) µs L-PEN 50 kA 50 kA
Voltage protection level U
p
L-PEN ≤ 1.5 kV ≤ 1.5 kV
Follow current interrupt rating I
fi
L-PEN 50 kA 50 kA
Short-circuit current rating I
SCCR
50 kA 50 kA
Max. backup fuse with branch wiring - -
Response time t
A
L-PEN ≤ 100 ns ≤ 100 ns
General data
Dimensions W / H / D 106.8 mm / 167 mm / 74.5 mm 35.5 mm / 167 mm / 74.5 mm
Connection data solid / stranded /AWG (IEC) /AWG (UL) 2.5 ... 35 mm² / 2.5 ... 35 mm² / 13 - 2 / - 2.5 ... 35 mm² / 2.5 ... 35 mm² / 13 - 2 / -
Temperature range -40°C ... 80°C -40°C ... 80°C
Inflammability class in acc. with UL 94 V-0 V-0
Test standards IEC 61643-11 / EN 61643-11 IEC 61643-11 / EN 61643-11
Remote indication contact PDT contact PDT contact
Connection data solid / stranded /AWG (IEC) /AWG (UL) 0.14 ... 1.5 mm² / 0.14 ... 1.5 mm² / 28 - 16 / - 0.14 ... 1.5 mm² / 0.14 ... 1.5 mm² / 28 - 16 / -
Max. operating voltage 250 V AC / 125 V DC (200 mA DC) 250 V AC / 125 V DC (200 mA DC)
Max. operating current 1 A AC / 1 A DC (30 V DC) 1 A AC / 1 A DC (30 V DC)
Ordering data Ordering data
Description Type Order No. Pcs. /
Pkt. Type Order No. Pcs. /
Pkt.
FLASHTRAB
FLT-SEC-H-T1-3C-264/25-FM 2905871 1FLT-SEC-H-T1-1C-264/25-FM 2801615 1
Accessories Accessories
Replacement plug
L-N / L-PEN FLT-SEC-H-T1-264/25-P 2905968 1FLT-SEC-H-T1-264/25-P 2905968 1
20
PHOENIX CONTACT
– Integrated combination of spark gap
without line follow current and surge-
proof fuse
– Can be used without separate backup
fuse thanks to integrated overcurrent
protection
– Free of leakage current, suitable for use in
the pre-meter area
– Can be inserted with innovative push-pull
locking mechanism
– Low voltage protection level of 1.5kV
– Optical, mechanical status indicator
– With floating remote indication contact
H
W
D
new
H
W
D
new
Type 1 lightning arrester
FLASHTRAB SEC HYBRID
Surge protection and interference suppression filters
Surge protection for the power supply with Safe Energy Control
4-conductor system; L1, L2, L3, PEN 2-conductor system; L, PEN

12 14
FM
11
PE(N)
L2
L1 L3
12 14
FM
11
L
PE(N)
For further information and full technical data, visit phoenixcontact.net/products
Technical data Technical data
Electrical data
IEC test classification I / II, T1 / T2 I / II, T1 / T2
Nominal voltage U
N
400/690 V AC (TN-C) / 400 V AC (IT) 400 V AC (TN) / 400 V AC (IT)
Maximum continuous operating voltage U
C
L-PEN 440 V AC 440 V AC
Impulse discharge curr. I
imp
(10/350) μs
Charge L-PEN 12.5 As 12.5 As
Specific energy L-PEN 160 kJ/Ω160 kJ/Ω
Peak value L-PEN 25 kA 25 kA
Nominal discharge current I
n
(8/20) µs L-PEN 25 kA 25 kA
Max. discharge current I
max.
(8/20) µs L-PEN 50 kA 50 kA
Voltage protection level U
p
L-PEN ≤ 2.5 kV ≤ 2.5 kV
Follow current interrupt rating I
fi
L-PEN 50 kA 50 kA
Short-circuit current rating I
SCCR
50 kA 50 kA
Max. backup fuse with branch wiring 400 A AC (gG) 400 A AC (gG)
Response time t
A
L-PEN ≤ 100 ns ≤ 100 ns
General data
Dimensions W / H / D 106.8 mm / 95.2 mm / 74.5 mm 35.6 mm / 95.2 mm / 74.5 mm
Connection data solid / stranded /AWG (IEC) /AWG (UL) 2.5 ... 35 mm² / 2.5 ... 35 mm² / 13 - 2 / - 2.5 ... 35 mm² / 2.5 ... 35 mm² / 13 - 2 / -
Temperature range -40°C ... 80°C -40°C ... 80°C
Inflammability class in acc. with UL 94 V-0 V-0
Test standards IEC 61643-11 / EN 61643-11 IEC 61643-11 / EN 61643-11
Remote indication contact PDT contact PDT contact
Connection data solid / stranded /AWG (IEC) /AWG (UL) 0.14 ... 1.5 mm² / 0.14 ... 1.5 mm² / 28 - 16 / - 0.14 ... 1.5 mm² / 0.14 ... 1.5 mm² / 28 - 16 / -
Max. operating voltage 250 V AC / 125 V DC (200 mA DC) 250 V AC / 125 V DC (200 mA DC)
Max. operating current 1 A AC / 1 A DC (30 V DC) 1 A AC / 1 A DC (30 V DC)
Ordering data Ordering data
Description Type Order No. Pcs. /
Pkt. Type Order No. Pcs. /
Pkt.
FLASHTRAB
FLT-SEC-P-T1-3C-440/25-FM 2905988 1FLT-SEC-P-T1-1C-440/25-FM 2905987 1
Accessories Accessories
Replacement plug
L-N / L-PEN FLT-SEC-P-T1-440/25-P 2905989 1FLT-SEC-P-T1-440/25-P 2905989 1
21
PHOENIX CONTACT
– Spark gap has no line follow current
– Suitable for use in the pre-meter area
– Satisfies TOV requirements for use in
IT systems
– Plug-in
– Low voltage protection level of 2.5 kV
– Optical, mechanical status indicator
– With floating remote indication contact
– Plugs can be checked with
CHECKMASTER
H
W
D
new
H
W
D
new
Type 1 lightning arrester
FLASHTRAB SEC PLUS 440
Surge protection and interference suppression filters
Surge protection for the power supply with Safe Energy Control
4-conductor system, L1, L2, L3, PE(N) 2-conductor system, L, PE(N)

12 14
11
FM
N
PE L2
L1 L3
PEN
L1 L3
L2
12 14
11
FM
Technical data Technical data
Electrical data
IEC test classification I / II, T1 / T2 I / II, T1 / T2
Nominal voltage U
N
240/415 V AC (TN-S) / 240/415 V AC (TT) 240/415 V AC (TN-C)
Maximum continuous operating voltage U
C
L-N / N-PE / L-PEN 350 V AC / 350 V AC / - - / - / 350 V AC
Impulse discharge curr. I
imp
(10/350) μs
Charge L-N / N-PE / L-PEN 12.5 As / 50 As / - - / - / 12.5 As
Specific energy L-N / N-PE / L-PEN 160 kJ/Ω / 2500 kJ/Ω / - - / - / 160 kJ/Ω
Peak value L-N / N-PE / L-PEN 25 kA / 100 kA / - - / - / 25 kA
Nominal discharge current I
n
(8/20) µs
L-N / N-PE / L-PEN 25 kA / 100 kA / - - / - / 25 kA
Max. discharge current I
max.
(8/20) µs
L-N / N-PE / L-PEN 50 kA / - / - - / - / 50 kA
Voltage protection level U
p
L-N / N-PE / L-PEN ≤ 1.5 kV /≤1.5 kV / - - / - /≤1.5 kV
Follow current interrupt rating I
fi
L-N / N-PE / L-PEN 50 kA / 100 A / - - / - / 50 kA
Short-circuit current rating I
SCCR
50 kA 50 kA
Response time t
A
L-N / N-PE / L-PEN ≤ 100 ns / ≤100 ns / - - / - / ≤100 ns
General data
Dimensions W / H / D 142.4 mm / 95.2 mm / 74.5 mm 106.8 mm / 95.2 mm / 74.5 mm 106.8 mm / 95.2 mm / 74.5 mm 71.2 mm / 95.2 mm / 74.
Connection data solid / stranded /AWG (IEC) /AWG (UL) 2.5 ... 35 mm² / 2.5 ... 25 mm² / 13 - 2 / 12 - 2 2.5 ... 35 mm² / 2.5 ... 25 mm² / 13 - 2 / 12 - 2 2.5 ... 35 mm² / 2.5
Temperature range -40°C ... 80°C -40°C ... 80°C
Inflammability class in acc. with UL 94 V-0 V-0
Test standards IEC 61643-11 / EN 61643-11 IEC 61643-11 / EN 61643-11 IEC 61643-11 / EN 61643-11 IEC 61643-11 / EN 61643-11 IEC 61643
Remote indication contact PDT contact PDT contact
Connection data solid / stranded /AWG (IEC) /AWG (UL) 0.14 ... 1.5 mm² / 0.14 ... 1.5 mm² / 28 - 16 / 30 - 14 0.14 ... 1.5 mm² / 0.14 ... 1.5 mm² / 28 - 16 / 30 - 14 0.14 ...
Max. operating voltage 250 V AC / 125 V DC (200 mA DC) 250 V AC / 125 V DC (200 mA DC) 250 V AC / 125 V DC (200 mA DC) 250 V AC / 125 V DC (200 mA
Max. operating current 1 A AC / 1 A DC (30 V DC) 1 A AC / 1 A DC (30 V DC) 1 A AC / 1 A DC (30 V DC) 1 A AC / 1 A DC (30 V DC) 1 A AC / 1 A
Ordering data Ordering data
Description Type Order No. Pcs. /
Pkt. Type Order No. Pcs. /
Pkt.
FLASHTRAB
FLT-SEC-P-T1-3S-350/25-FM 2905421 1FLT-SEC-P-T1-3C-350/25-FM 2905419 1
Accessories Accessories
Replacement plug
L-N / L-PEN FLT-SEC-P-T1-350/25-P 2905422 1FLT-SEC-P-T1-350/25-P 2905422 1
N-PE FLT-SEC-P-T1-N/PE-350/100-P 2905473 1
22
PHOENIX CONTACT
– Spark gap has no line follow current
– Free of leakage current, suitable for use in
the pre-meter area
– Plug-in
– High continuous voltage of 350VAC for
230/400VAC networks with high
voltage fluctuations
– Low voltage protection level of 1.5kV
– Optical, mechanical status indicator
– With floating remote indication contact
– Plugs can be checked with
CHECKMASTER
Type 1 lightning arrester
FLASHTRAB SEC PLUS
Surge protection and interference suppression filters
Surge protection for the power supply with Safe Energy Control
5-conductor system; L1, L2, L3, N, PE 4-conductor system; L1, L2, L3, PEN 4-conductor system; L1, L2, N, PE 3-conductor system; L1
H
W
D
new
H
W
D
new

12 14
11
FM
N
PE L2
L1
PEN
L1 L2
12 14
11
FM
12 14
11
FM
N
PE L
For further information and full technical data, visit phoenixcontact.net/products
Technical data Technical data Technical data
I / II, T1 / T2 I / II, T1 / T2 I / II, T1 / T2
240/415 V AC (TN-S) / 240/415 V AC (TT) 240/415 V AC (TN-C) 240 V AC (TN-S) / 240 V AC (TT)
350 V AC / 350 V AC / - - / - / 350 V AC 350 V AC / 350 V AC / -
12.5 As / 50 As / - - / - / 12.5 As 12.5 As / 50 As / -
160 kJ/Ω / 2500 kJ/Ω / - - / - / 160 kJ/Ω160 kJ/Ω / 2500 kJ/Ω / -
25 kA / 100 kA / - - / - / 25 kA 25 kA / 100 kA / -
25 kA / 100 kA / - - / - / 25 kA 25 kA / 100 kA / -
50 kA / - / - - / - / 50 kA 50 kA / - / -
≤ 1.5 kV / ≤1.5 kV / - - / - / ≤1.5 kV ≤ 1.5 kV / ≤1.5 kV / -
50 kA / 100 A / - - / - / 50 kA 50 kA / 100 A / -
50 kA 50 kA 50 kA
≤ 100 ns / ≤100 ns / - - / - / ≤100 ns ≤ 100 ns / ≤100 ns / -
Dimensions W / H / D 142.4 mm / 95.2 mm / 74.5 mm 106.8 mm / 95.2 mm / 74.5 mm 106.8 mm / 95.2 mm / 74.5 mm 71.2 mm / 95.2 mm / 74.5 mm 71.2 mm / 95.2 mm / 74.5 mm
AWG (UL) 2.5 ... 35 mm² / 2.5 ... 25 mm² / 13 - 2 / 12 - 2 2.5 ... 35 mm² / 2.5 ... 25 mm² / 13 - 2 / 12 - 2 2.5 ... 35 mm² / 2.5 ... 25 mm² / 13 - 2 / 12 - 2 2.5 ... 35 mm² / 2.5 ... 25 mm² / 13 - 2 / 12 - 2 2.5 ... 35 mm² / 2.5 ... 25 mm² / 13 - 2 / 12 - 2
-40°C ... 80°C -40°C ... 80°C -40°C ... 80°C
V-0 V-0 V-0
Test standards IEC 61643-11 / EN 61643-11 IEC 61643-11 / EN 61643-11 IEC 61643-11 / EN 61643-11 IEC 61643-11 / EN 61643-11 IEC 61643-11 / EN 61643-11
PDT contact PDT contact PDT contact
AWG (UL) 0.14 ... 1.5 mm² / 0.14 ... 1.5 mm² / 28 - 16 / 30 - 14 0.14 ... 1.5 mm² / 0.14 ... 1.5 mm² / 28 - 16 / 30 - 14 0.14 ... 1.5 mm² / 0.14 ... 1.5 mm² / 28 - 16 / 30 - 14 0.14 ... 1.5 mm² / 0.14 ... 1.5 mm² / 28 - 16 / 30 - 14 0.14 ... 1.5 mm² / 0.14 ... 1.5 mm² / 28 - 16 / 30 - 14
(200 mA DC) 250 V AC / 125 V DC (200 mA DC) 250 V AC / 125 V DC (200 mA DC) 250 V AC / 125 V DC (200 mA DC)
DC) 1 A AC / 1 A DC (30 V DC) 1 A AC / 1 A DC (30 V DC) 1 A AC / 1 A DC (30 V DC)
Ordering data Ordering data Ordering data
Type Order No. Pcs. /
Pkt. Type Order No. Pcs. /
Pkt. Type Order No. Pcs. /
Pkt.
FLT-SEC-P-T1-2S-350/25-FM 2905418 1FLT-SEC-P-T1-2C-350/25-FM 2905416 1FLT-SEC-P-T1-1S-350/25-FM 2905415 1
Accessories Accessories Accessories
FLT-SEC-P-T1-350/25-P 2905422 1FLT-SEC-P-T1-350/25-P 2905422 1FLT-SEC-P-T1-350/25-P 2905422 1
FLT-SEC-P-T1-N/PE-350/100-P 2905473 1FLT-SEC-P-T1-N/PE-350/100-P 2905473 1
23
PHOENIX CONTACT
Surge protection and interference suppression filters
Surge protection for the power supply with Safe Energy Control
H
W
D
new
L3, PEN 4-conductor system; L1, L2, N, PE 3-conductor system; L1, L2, PEN 3-conductor system; L, N, PE
H
W
D
new
H
W
D
new

PEN
L1
12 14
11
FM
12 14
11
FM
N
PE
Technical data Technical data
Electrical data
IEC test classification I / II, T1 / T2 I / II, T1 / T2
Nominal voltage U
N
240 V AC (TN-C) / 240 V AC (TT) 240 V AC (TN - only N-PE) / 240 V AC (TT - only N-PE)
Maximum continuous operating voltage U
C
L-N / N-PE / L-PEN - / - / 350 V AC - / 350 V AC / -
Impulse discharge curr. I
imp
(10/350) μs
Charge L-N / N-PE / L-PEN - / - / 12.5 As - / 50 As / -
Specific energy L-N / N-PE / L-PEN - / - / 160 kJ/Ω- / 2500 kJ/Ω / -
Peak value L-N / N-PE / L-PEN - / - / 25 kA - / 100 kA / -
Nominal discharge current I
n
(8/20) µs
L-N / N-PE / L-PEN - / - / 25 kA - / 100 kA / -
Max. discharge current I
max.
(8/20) µs
L-N / N-PE / L-PEN - / - / 50 kA - / - / -
Voltage protection level U
p
L-N / N-PE / L-PEN - / - / ≤1.5 kV - / ≤1.5 kV / -
Follow current interrupt rating I
fi
L-N / N-PE / L-PEN - / - / 50 kA - / 100 A (350 V AC) / -
Short-circuit current rating I
SCCR
50 kA -
Max. backup fuse with branch wiring 315 A AC (gG) -
Response time t
A
L-N / N-PE / L-PEN - / - / ≤100 ns - / ≤100 ns / -
General data
Dimensions W / H / D 35.6 mm / 95.2 mm / 74.5 mm 35.6 mm / 95.2 mm / 74.5 mm
Connection data solid / stranded /AWG (IEC) /AWG (UL) 2.5 ... 35 mm² / 2.5 ... 25 mm² / 13 - 2 / 12 - 2 2.5 ... 35 mm² / 2.5 ... 25 mm² / 13 - 2 / 12 - 2
Temperature range -40°C ... 80°C -40°C ... 80°C
Inflammability class in acc. with UL 94 V-0 V-0
Test standards IEC 61643-11 / EN 61643-11 IEC 61643-11 / EN 61643-11
Remote indication contact PDT contact PDT contact
Connection data solid / stranded /AWG (IEC) /AWG (UL) 0.14 ... 1.5 mm² / 0.14 ... 1.5 mm² / 28 - 16 / 30 - 14 0.14 ... 1.5 mm² / 0.14 ... 1.5 mm² / 28 - 16 / 30 - 14
Max. operating voltage 250 V AC / 125 V DC (200 mA DC) 250 V AC / 125 V DC (200 mA DC)
Max. operating current 1 A AC / 1 A DC (30 V DC) 1 A AC / 1 A DC (30 V DC)
Ordering data Ordering data
Description Type Order No. Pcs. /
Pkt. Type Order No. Pcs. /
Pkt.
FLASHTRAB
FLT-SEC-P-T1-1C-350/25-FM 2905414 1FLT-SEC-P-T1-N/PE-350/100-FM 2905472 1
Accessories Accessories
Replacement plug
L-N / L-PEN FLT-SEC-P-T1-350/25-P 2905422 1
N-PE FLT-SEC-P-T1-N/PE-350/100-P 2905473 1
24
PHOENIX CONTACT
– Spark gap has no line follow current
– Free of leakage current, suitable for use in
the pre-meter area
– Plug-in
– High continuous voltage of 350VAC for
230/400VAC networks with high
voltage fluctuations
– Low voltage protection level of 1.5kV
– Optical, mechanical status indicator
– With floating remote indication contact
– Plugs can be checked with
CHECKMASTER
H
W
D
new
H
W
D
new
Type 1 lightning arrester
FLASHTRAB SEC PLUS
Surge protection and interference suppression filters
Surge protection for the power supply with Safe Energy Control
2-conductor system; L, PEN N-PE spark gap

12 14
11
FM
N
PE L2
L1 L3
12 14
11
FM
PEN
L1 L3
L2
For further information and full technical data, visit phoenixcontact.net/products
Technical data Technical data
Electrical data
IEC test classification I + II, T1 + T2 I + II, T1 + T2
Nominal voltage U
N
240/415 V AC (TN-S) / 240/415 V AC (TT) 240/415 V AC (TN-C)
Maximum continuous operating voltage U
C
L-N / N-PE / L-PEN 350 V AC / 350 V AC / - - / - / 350 V AC
Impulse discharge curr. I
imp
(10/350) μs
Charge L-N / N-PE / L-PEN 12.5 As / 50 As / - - / - / 12.5 As
Specific energy L-N / N-PE / L-PEN 160 kJ/Ω / 2500 kJ/Ω / - - / - / 160 kJ/Ω
Peak value L-N / N-PE / L-PEN 25 kA / 100 kA / - - / - / 25 kA
Nominal discharge current I
n
(8/20) µs
L-N / N-PE / L-PEN 25 kA / 100 kA / - - / - / 25 kA
Voltage protection level U
p
L-N / N-PE / L-PEN ≤ 1.5 kV / ≤1.5 kV / - - / - / ≤1.5 kV
Follow current interrupt rating I
fi
L-N / N-PE / L-PEN 25 kA (264 V AC) / 100 A (350 V AC) / - - / - / 25 kA (264 VAC)
Short-circuit current rating I
SCCR
25 kA (264 VAC) / 3 kA (350 V AC) 25 kA (264 VAC) / 3 kA (350 V AC)
Max. backup fuse with branch wiring 315 A AC (gG) 315 A AC (gG)
Response time t
A
L-N / N-PE / L-PEN ≤ 25 ns / ≤100 ns / - - / - / ≤25 ns
General data
Dimensions W / H / D 142.4 mm / 95.2 mm / 74.5 mm 106.8 mm / 95.2 mm / 74.5 mm
Connection data solid / stranded /AWG (IEC) /AWG (UL) 2.5 ... 35 mm² / 2.5 ... 25 mm² / 13 - 2 / 12 - 2 2.5 ... 35 mm² / 2.5 ... 25 mm² / 13 - 2 / 12 - 2
Temperature range -40°C ... 80°C -40°C ... 80°C
Inflammability class in acc. with UL 94 V-0 V - 0
Test standards IEC 61643-11 / EN 61643-11 IEC 61643-11 / EN 61643-11
Remote indication contact PDT contact PDT contact
Connection data solid / stranded /AWG (IEC) /AWG (UL) 0.14 ... 1.5 mm² / 0.14 ... 1.5 mm² / 28 - 16 / 30 - 14 0.14 ... 1.5 mm² / 0.14 ... 1.5 mm² / 28 - 16 / 30 - 14
Max. operating voltage 250 V AC / 125 V DC (200 mA DC) 250 V AC / 125 V DC (200 mA DC)
Max. operating current 1 A AC / 1 A DC (30 V DC) 1 A AC / 1 A DC (30 V DC)
Ordering data Ordering data
Description Type Order No. Pcs. /
Pkt. Type Order No. Pcs. /
Pkt.
Type 1 + 2 lightning/surge arrester combination
FLT-SEC-T1+T2-3S-350/25-FM 2905470 1FLT-SEC-T1+T2-3C-350/25-FM 2905469 1
Accessories Accessories
Replacement plug
L-N / L-PEN FLT-SEC-T1-350/25-P 2905471 1FLT-SEC-T1-350/25-P 2905471 1
L-N / L-PEN VAL-SEC-T2-350-P 2905346 1VAL-SEC-T2-350-P 2905346 1
N-PE FLT-SEC-P-T1-N/PE-350/100-P 2905473 1
25
PHOENIX CONTACT
– Directly coordinated combination of type
1 spark gap without line follow current
and type 2 varistor arrester
– Particularly suitable for maximum
protection of sensitive devices in harsh
environments
– Plug-in
– High continuous voltage of 350VAC for
230/400VAC networks with high
voltage fluctuations
– Low voltage protection level of 1.5kV
– Optical, mechanical status indicator
– With floating remote indication contact
– Plugs can be checked with
CHECKMASTER
H
W
D
new
H
W
D
new
Type 1 + 2 lightning and surge arrester
combination
FLASHTRAB SEC T1+T2
Surge protection and interference suppression filters
Surge protection for the power supply with Safe Energy Control
5-conductor system; L1, L2, L3, N, PE 4-conductor system; L1, L2, L3, PEN

12 14
11
FM
N
PE L2
L1
PEN
L1 L2
12 14
11
FM
Technical data Technical data
Electrical data
IEC test classification I + II, T1 + T2 I + II, T1 + T2
Nominal voltage U
N
240/415 V AC (TN-S) / 240/415 V AC (TT) 240/415 V AC (TN-C)
Maximum continuous operating voltage U
C
L-N / L-PE / N-PE / L-PEN 350 V AC / - / 350 V AC / - - / - / - / 350 V AC
Impulse discharge curr. I
imp
(10/350) μs
Charge L-N / N-PE / L-PEN 12.5 As / 50 As / - - / - / 12.5 As
Specific energy L-N / N-PE / L-PEN 160 kJ/Ω / 2500 kJ/Ω / - - / - / 160 kJ/Ω
Peak value L-N / N-PE / L-PEN 25 kA / 100 kA / - - / - / 25 kA
Nominal discharge current I
n
(8/20) µs
L-N / N-PE / L-PEN 25 kA / 100 kA / - - / - / 25 kA
Voltage protection level U
p
L-N / N-PE / L-PEN ≤ 1.5 kV / ≤1.5 kV / - - / - / ≤1.5 kV
Follow current interrupt rating I
fi
L-N / N-PE / L-PEN 25 kA (264 V AC) / 100 A (350 V AC) / - - / - / 25 kA (264 VAC) 25 kA (264 V AC) / 100 A (350 V AC) / - - / - / 25 kA (264 V
Short-circuit current rating I
SCCR
25 kA (264 VAC) / 3 kA (350 V AC) 25 kA (264 VAC) / 3 kA (350 V AC) 25 kA (264 V
Max. backup fuse with branch wiring 315 A AC (gG) 315 A AC (gG)
Response time t
A
L-N / N-PE / L-PEN ≤ 25 ns / ≤100 ns / - - / - / ≤25 ns
General data
Dimensions W / H / D 106.8 mm / 95.2 mm / 74.5 mm 71.2 mm / 95.2 mm / 74.5 mm 71.2 mm / 95.2 mm / 74.5 mm 35.6 mm / 95.2 mm / 74.5
Connection data solid / stranded /AWG (IEC) /AWG (UL) 2.5 ... 35 mm² / 2.5 ... 25 mm² / 13 - 2 / 12 - 2 2.5 ... 35 mm² / 2.5 ... 25 mm² / 13 - 2 / 12 - 2 2.5 ... 35 mm² / 2.5
Temperature range -40°C ... 80°C -40°C ... 80°C
Inflammability class in acc. with UL 94 V-0 V-0
Test standards IEC 61643-11 / EN 61643-11 IEC 61643-11 / EN 61643-11 IEC 61643-11 / EN 61643-11 IEC 61643-11 / EN 61643-11 IEC 61643
Remote indication contact PDT contact PDT contact
Connection data solid / stranded /AWG (IEC) /AWG (UL) 0.14 ... 1.5 mm² / 0.14 ... 1.5 mm² / 28 - 16 / 30 - 14 0.14 ... 1.5 mm² / 0.14 ... 1.5 mm² / 28 - 16 / 30 - 14 0.14 ...
Max. operating voltage 250 V AC / 125 V DC (200 mA DC) 250 V AC / 125 V DC (200 mA DC) 250 V AC / 125 V DC (200 mA DC) 250 V AC / 125 V DC (200 mA
Max. operating current 1 A AC / 1 A DC (30 V DC) 1 A AC / 1 A DC (30 V DC) 1 A AC / 1 A DC (30 V DC) 1 A AC / 1 A DC (30 V DC) 1 A AC / 1 A
Ordering data nsOrdering data
Description Type Order No. Pcs. /
Pkt. Type Order No. Pcs. /
Pkt.
Type 1 + 2 lightning/surge arrester combination
FLT-SEC-T1+T2-2S-350/25-FM 2905468 1FLT-SEC-T1+T2-2C-350/25-FM 2905467 1
Accessories Accessories
Replacement plug
L-N / L-PEN FLT-SEC-T1-350/25-P 2905471 1FLT-SEC-T1-350/25-P 2905471 1
L-N / L-PEN VAL-SEC-T2-350-P 2905346 1VAL-SEC-T2-350-P 2905346 1
N-PE FLT-SEC-P-T1-N/PE-350/100-P 2905473 1
26
PHOENIX CONTACT
– Directly coordinated combination of type
1 spark gap without line follow current
and type 2 varistor arrester
– Particularly suitable for maximum
protection of sensitive devices in harsh
environments
– Plug-in
– High continuous voltage of 350VAC for
230/400VAC networks with high
voltage fluctuations
– Low voltage protection level of 1.5kV
– Optical, mechanical status indicator
– With floating remote indication contact
– Plugs can be checked with
CHECKMASTER
Type 1 + 2 lightning and surge arrester
combination
FLASHTRAB SEC T1+T2
Surge protection and interference suppression filters
Surge protection for the power supply with Safe Energy Control
4-conductor system; L1, L2, N, PE 3-conductor system; L1, L2, PEN 3-conductor system; L, N, PE 2-conductor system; L, PEN N-PE spar
H
W
D
new
H
W
D
new

12 14
11
FM
N
PE L
PEN
L1
12 14
11
FM
12 14
11
FM
N
PE
For further information and full technical data, visit phoenixcontact.net/products
Technical data Technical data Technical data
I + II, T1 + T2 I + II, T1 + T2 I / II, T1 / T2
240 V AC (TN-S) / 240 V AC (TT) 240 V AC (TN-C) / 240 V AC (TT) 240 V AC (TN - only N-PE) / 240 V AC (TT - only N-PE)
350 V AC / - / 350 V AC / - - / - / - / 350 V AC - / - / 350 V AC / -
12.5 As / 50 As / - - / - / 12.5 As - / 50 As / -
160 kJ/Ω / 2500 kJ/Ω / - - / - / 160 kJ/Ω- / 2500 kJ/Ω / -
25 kA / 100 kA / - - / - / 25 kA - / 100 kA / -
25 kA / 100 kA / - - / - / 25 kA - / 100 kA / -
≤ 1.5 kV / ≤1.5 kV / - - / - / ≤1.5 kV - / ≤1.5 kV / -
AC) 25 kA (264 V AC) / 100 A (350 V AC) / - - / - / 25 kA (264 VAC) - / 100 A (350 V AC) / -
AC) / 3 kA (350 V AC) 25 kA (264 VAC) / 3 kA (350 V AC) 25 kA (264 VAC) / 3 kA (350 V AC) -
315 A AC (gG) 315 A AC (gG) -
≤ 25 ns / ≤100 ns / - - / - / ≤25 ns - / ≤100 ns / -
Dimensions W / H / D 106.8 mm / 95.2 mm / 74.5 mm 71.2 mm / 95.2 mm / 74.5 mm 71.2 mm / 95.2 mm / 74.5 mm 35.6 mm / 95.2 mm / 74.5 mm 35.6 mm / 95.2 mm / 74.5 mm
AWG (UL) 2.5 ... 35 mm² / 2.5 ... 25 mm² / 13 - 2 / 12 - 2 2.5 ... 35 mm² / 2.5 ... 25 mm² / 13 - 2 / 12 - 2 2.5 ... 35 mm² / 2.5 ... 25 mm² / 13 - 2 / 12 - 2 2.5 ... 35 mm² / 2.5 ... 25 mm² / 13 - 2 / 12 - 2 2.5 ... 35 mm² / 2.5 ... 25 mm² / 13 - 2 / 12 - 2
-40°C ... 80°C -40°C ... 80°C -40°C ... 80°C
V-0 V-0 V-0
Test standards IEC 61643-11 / EN 61643-11 IEC 61643-11 / EN 61643-11 IEC 61643-11 / EN 61643-11 IEC 61643-11 / EN 61643-11 IEC 61643-11 / EN 61643-11
PDT contact PDT contact PDT contact
AWG (UL) 0.14 ... 1.5 mm² / 0.14 ... 1.5 mm² / 28 - 16 / 30 - 14 0.14 ... 1.5 mm² / 0.14 ... 1.5 mm² / 28 - 16 / 30 - 14 0.14 ... 1.5 mm² / 0.14 ... 1.5 mm² / 28 - 16 / 30 - 14 0.14 ... 1.5 mm² / 0.14 ... 1.5 mm² / 28 - 16 / 30 - 14 0.14 ... 1.5 mm² / 0.14 ... 1.5 mm² / 28 - 16 / 30 - 14
(200 mA DC) 250 V AC / 125 V DC (200 mA DC) 250 V AC / 125 V DC (200 mA DC) 250 V AC / 125 V DC (200 mA DC)
DC) 1 A AC / 1 A DC (30 V DC) 1 A AC / 1 A DC (30 V DC) 1 A AC / 1 A DC (30 V DC)
Ordering data Ordering data Ordering data
Type Order No. Pcs. /
Pkt. Type Order No. Pcs. /
Pkt. Type Order No. Pcs. /
Pkt.
FLT-SEC-T1+T2-1S-350/25-FM 2905466 1FLT-SEC-T1+T2-1C-350/25-FM 2905465 1FLT-SEC-P-T1-N/PE-350/100-FM 2905472 1
Accessories Accessories Accessories
FLT-SEC-T1-350/25-P 2905471 1FLT-SEC-T1-350/25-P 2905471 1FLT-SEC-T1-350/25-P 2905471 1
VAL-SEC-T2-350-P 2905346 1VAL-SEC-T2-350-P 2905346 1VAL-SEC-T2-350-P 2905346 1
FLT-SEC-P-T1-N/PE-350/100-P 2905473 1FLT-SEC-P-T1-N/PE-350/100-P 2905473 1
27
PHOENIX CONTACT
Surge protection and interference suppression filters
Surge protection for the power supply with Safe Energy Control
H
W
D
new
4-conductor system; L1, L2, N, PE 3-conductor system; L1, L2, PEN 3-conductor system; L, N, PE 2-conductor system; L, PEN N-PE spark gap
H
W
D
new
H
W
D
new

12 14
11
FM
N
PE L1 L2 L3
12 14
11
FM
PEN
L1 L2 L3
Technical data Technical data
Electrical data ... 350 ... 175 ... 350 ... 175
IEC test classification II, T2 II, T2 II, T2 II, T2 II, T2 II, T2 II, T2 II, T2 II, T2 II, T2
Nominal voltage U
N
240/415 V AC (TN-S) /
240/415 V AC (TT)
120/208 V AC (TN-S) /
120/208 V AC (TT)
240/415 V AC (TN-C) 120/208 V AC (TN-C) 240/415 V AC (TN-S) /
Maximum continuous operating voltage U
C
L-N / N-PE / L-PEN 350 V AC / 264 V AC / - 175 V AC / 150 V AC / - - / - / 350 V AC - / - / 175 V AC 350 V AC / 264 V AC / - 175 V AC / 150 V AC / - - / -
Nominal discharge current I
n
(8/20) µs
L-N / N-PE / L-PEN 20 kA / 20 kA / - 20 kA / 20 kA / - - / - / 20 kA - / - / 20 kA 20 kA / 20 kA / - 20 kA / 20 kA / - - / - / 20 kA -
Max. discharge current I
max.
(8/20) µs
L-N / N-PE / L-PEN 40 kA / 40 kA / - 40 kA / 40 kA / - - / - / 40 kA - / - / 40 kA 40 kA / 40 kA / - 40 kA / 40 kA / - - / - / 40 kA -
Voltage protection level U
p
L-N / N-PE / L-PEN ≤ 1.5 kV / ≤1.5 kV / - ≤ 0.85 kV / ≤0.95 kV / - - / - / ≤1.5 kV - / - / ≤0.85 kV
Short-circuit current rating I
SCCR
25 kA (in case of 315 A gG backup fuse) /
50 kA (in case of 200 A gG backup fuse)
25 kA (in case of 315 A gG backup fuse) /
50 kA (in case of 200 A gG backup fuse)
Max. backup fuse with branch wiring 315 A AC (gG) 315 A AC (gG) 315 A AC (gG) 315 A AC (gG) 315 A AC (gG) 315 A AC (gG) 315 A AC (gG) 3
Response time t
A
L-N / N-PE / L-PEN ≤ 25 ns / ≤100 ns / - ≤ 25 ns / ≤100 ns / - - / - / ≤25 ns - / - / ≤25 ns
General data
Dimensions W / H / D 49.2 mm / 97.9 mm / 74.5 mm 37.3 mm / 97.9 mm / 74.5 mm 37.3 mm / 97.9 mm / 74.5 mm 25.4 mm / 97.9 mm / 74.5 m
Connection data solid / stranded /AWG (IEC) /AWG (UL) 2.5 ... 25 mm² / 2.5 ... 16 mm² / 12 - 4 / 14 - 2 2.5 ... 25 mm² / 2.5 ... 16 mm² / 12 - 4 / 14 - 2 2.5 ... 25 mm² / 2.5
Temperature range -40°C ... 80°C -40°C ... 80°C
Inflammability class in acc. with UL 94 V-0 V-0
Test standards IEC 61643-11 / EN 61643-11 IEC 61643-11 / EN 61643-11 IEC 61643-11 / EN 61643-11 IEC 61643-11 / EN 61643-11 IEC 61643-11 / EN 61643
Remote indication contact PDT contact PDT contact
Connection data solid / stranded /AWG (IEC) /AWG (UL) 0.14 ... 1.5 mm² / 0.14 ... 1.5 mm² / 28 - 16 / 30 - 14 0.14 ... 1.5 mm² / 0.14 ... 1.5 mm² / 28 - 16 / 30 - 14 0.14 ...
Max. operating voltage 250 V AC / 125 V DC (200 mA DC) 250 V AC / 125 V DC (200 mA DC) 250 V AC / 125 V DC (200 mA DC) 250 V AC / 125 V DC (200 mA
Max. operating current 1 A AC / 1 A DC (30 V DC) 1 A AC / 1 A DC (30 V DC) 1 A AC / 1 A DC (30 V DC) 1 A AC / 1 A DC (30 V DC) 1 A AC / 1 A
Ordering data Ordering data
Description Type Order No. Pcs. /
Pkt. Type Order No. Pcs. /
Pkt.
VALVETRAB SEC
VAL-SEC-T2-3S-350-FM 2905340 1VAL-SEC-T2-3C-350-FM 2905339 1
VAL-SEC-T2-3S-350 2905345 1VAL-SEC-T2-3C-350 2905344 1
VAL-SEC-T2-3S-175-FM 2905354 1VAL-SEC-T2-3C-175-FM 2905353 1
Accessories Accessories
Replacement plug
L-N / L-PEN VAL-SEC-T2-350-P 2905346 1VAL-SEC-T2-350-P 2905346 1
N-PE VAL-SEC-T2-N/PE-350-P 2905347 1
L-N / L-PEN VAL-SEC-T2-175-P 2905355 1VAL-SEC-T2-175-P 2905355 1
N-PE VAL-SEC-T2-N/PE-175-P 2905356 1
28
PHOENIX CONTACT
– Varistor arrester free of leakage current
– High-performance gas-filled surge
arrester for N/PE protection
– Extremely narrow design, just 12 mm per
position
– Plug-in
– High continuous voltage of 350VAC for
230/400VAC networks with high
voltage fluctuations
– Low voltage protection level of 1.5kV
– Optical, mechanical status indicator
– With floating remote indication contact
as an option
– Plugs can be checked with
CHECKMASTER
Type 2 surge arrester
VALVETRAB SEC
Surge protection and interference suppression filters
Surge protection for the power supply with Safe Energy Control
5-conductor system; L1, L2, L3, N, PE 4-conductor system; L1, L2, L3, PEN 4-conductor system; L1, L2, N, PE 3-conductor system; L1
H
W
D
new
H
W
D
new

12 14
11
FM
N
PE L1 L2
12 14
11
FM
PEN
L1 L2
12 14
11
FM
N
PE L1
For further information and full technical data, visit phoenixcontact.net/products
Technical data Technical data Technical data
... 350 ... 175 ... 350 ... 175 ... 350 ... 175
IEC test classification II, T2 II, T2 II, T2 II, T2 II, T2 II, T2 II, T2 II, T2 II, T2 II, T2
240/415 V AC (TN-C) 120/208 V AC (TN-C) 240/415 V AC (TN-S) /
240/415 V AC (TT)
120/208 V AC (TN-S) /
120/208 V AC (TT)
240/415 V AC (TN-C) 120/208 V AC (TN-C) 240 V AC (TN-S) /
240 V AC (TT)
120 V AC (TN-S) /
120 V AC (TT)
L-N / N-PE / L-PEN 350 V AC / 264 V AC / - 175 V AC / 150 V AC / - - / - / 350 V AC - / - / 175 V AC 350 V AC / 264 V AC / - 175 V AC / 150 V AC / - - / - / 350 V AC - / - / 175 V AC 350 V AC / 264 V AC / - 175 V AC / 150 V AC / -
L-N / N-PE / L-PEN 20 kA / 20 kA / - 20 kA / 20 kA / - - / - / 20 kA - / - / 20 kA 20 kA / 20 kA / - 20 kA / 20 kA / - - / - / 20 kA - / - / 20 kA 20 kA / 20 kA / - 20 kA / 20 kA / -
L-N / N-PE / L-PEN 40 kA / 40 kA / - 40 kA / 40 kA / - - / - / 40 kA - / - / 40 kA 40 kA / 40 kA / - 40 kA / 40 kA / - - / - / 40 kA - / - / 40 kA 40 kA / 40 kA / - 40 kA / 40 kA / -
≤ 1.5 kV / ≤1.5 kV / - ≤ 0.85 kV / ≤0.95 kV / - - / - / ≤1.5 kV - / - / ≤0.85 kV ≤ 1.5 kV / ≤1.5 kV / - ≤ 0.85 kV / ≤0.95 kV / -
25 kA (in case of 315 A gG backup fuse) /
50 kA (in case of 200 A gG backup fuse)
25 kA (in case of 315 A gG backup fuse) /
50 kA (in case of 200 A gG backup fuse)
25 kA (in case of 315 A gG backup fuse) /
50 kA (in case of 200 A gG backup fuse)
Max. backup fuse with branch wiring 315 A AC (gG) 315 A AC (gG) 315 A AC (gG) 315 A AC (gG) 315 A AC (gG) 315 A AC (gG) 315 A AC (gG) 315 A AC (gG) 315 A AC (gG) 315 A AC (gG)
≤ 25 ns / ≤100 ns / - ≤ 25 ns / ≤100 ns / - - / - / ≤25 ns - / - / ≤25 ns ≤ 25 ns / ≤100 ns / - ≤ 25 ns / ≤100 ns / -
Dimensions W / H / D 49.2 mm / 97.9 mm / 74.5 mm 37.3 mm / 97.9 mm / 74.5 mm 37.3 mm / 97.9 mm / 74.5 mm 25.4 mm / 97.9 mm / 74.5 mm 25.4 mm / 97.9 mm / 74.5 mm
AWG (UL) 2.5 ... 25 mm² / 2.5 ... 16 mm² / 12 - 4 / 14 - 2 2.5 ... 25 mm² / 2.5 ... 16 mm² / 12 - 4 / 14 - 2 2.5 ... 25 mm² / 2.5 ... 16 mm² / 12 - 4 / 14 - 2 2.5 ... 25 mm² / 2.5 ... 16 mm² / 12 - 4 / 14 - 2 2.5 ... 25 mm² / 2.5 ... 16 mm² / 12 - 4 / 14 - 2
-40°C ... 80°C -40°C ... 80°C -40°C ... 80°C
V-0 V-0 V-0
IEC 61643-11 / EN 61643-11 IEC 61643-11 / EN 61643-11 IEC 61643-11 / EN 61643-11 IEC 61643-11 / EN 61643-11 IEC 61643-11 / EN 61643-11
PDT contact PDT contact PDT contact
AWG (UL) 0.14 ... 1.5 mm² / 0.14 ... 1.5 mm² / 28 - 16 / 30 - 14 0.14 ... 1.5 mm² / 0.14 ... 1.5 mm² / 28 - 16 / 30 - 14 0.14 ... 1.5 mm² / 0.14 ... 1.5 mm² / 28 - 16 / 30 - 14 0.14 ... 1.5 mm² / 0.14 ... 1.5 mm² / 28 - 16 / 30 - 14 0.14 ... 1.5 mm² / 0.14 ... 1.5 mm² / 28 - 16 / 30 - 14
Max. operating voltage 250 V AC / 125 V DC (200 mA DC) 250 V AC / 125 V DC (200 mA DC) 250 V AC / 125 V DC (200 mA DC) 250 V AC / 125 V DC (200 mA DC) 250 V AC / 125 V DC (200 mA DC)
Max. operating current 1 A AC / 1 A DC (30 V DC) 1 A AC / 1 A DC (30 V DC) 1 A AC / 1 A DC (30 V DC) 1 A AC / 1 A DC (30 V DC) 1 A AC / 1 A DC (30 V DC)
Ordering data Ordering data Ordering data
Type Order No. Pcs. /
Pkt. Type Order No. Pcs. /
Pkt. Type Order No. Pcs. /
Pkt.
VAL-SEC-T2-2S-350-FM 2905338 1VAL-SEC-T2-2C-350-FM 2905337 1VAL-SEC-T2-1S-350-FM 2905333 1
VAL-SEC-T2-2S-350 2905343 1VAL-SEC-T2-2C-350 2905342 1VAL-SEC-T2-1S-350 2905341 1
VAL-SEC-T2-2S-175-FM 2905351 1VAL-SEC-T2-2C-175-FM 2905350 1VAL-SEC-T2-1S-175-FM 2905348 1
Accessories Accessories Accessories
VAL-SEC-T2-350-P 2905346 1VAL-SEC-T2-350-P 2905346 1VAL-SEC-T2-350-P 2905346 1
VAL-SEC-T2-N/PE-350-P 2905347 1VAL-SEC-T2-N/PE-350-P 2905347 1
VAL-SEC-T2-175-P 2905355 1VAL-SEC-T2-175-P 2905355 1VAL-SEC-T2-175-P 2905355 1
VAL-SEC-T2-N/PE-175-P 2905356 1VAL-SEC-T2-N/PE-175-P 2905356 1
29
PHOENIX CONTACT
Surge protection and interference suppression filters
Surge protection for the power supply with Safe Energy Control
H
W
D
new
L3, PEN 4-conductor system; L1, L2, N, PE 3-conductor system; L1, L2, PEN 3-conductor system; L, N, PE
H
W
D
new
H
W
D
new

5L1
7L2
9L3
6
8
10
IN OUT
2
N
4
3PE
N
L1
L2
L3
1
11
12
Technical data
Electrical data ... 230AC
IEC test classification III / T3
Nominal voltage U
N
230VAC
Maximum continuous operating voltage U
C
264VAC
Rated load current I
L
26 A (30°C)
Combined surge U
OC
6 kV
Nominal discharge current I
n
(8/20) µs 3 kA
Protection level U
p
L-N / L(N)-PE ≤ 1.4 kV / ≤1.5 kV
Short-circuit current rating I
SCCR
-
Max. backup fuse with branch wiring Not required
Response time t
A
L-N / L(N)-PE ≤ 25 ns / ≤100 ns
General data
Dimensions W / H / D 35.4 mm / 90 mm / 74.5 mm
Connection data solid / stranded / AWG 0.2 ... 4 mm² / 0.2 ... 2.5 mm² / 24 - 12 0.2 ... 4 mm² / 0.2 ... 2.5 mm² / 24 - 12 - / - /
Temperature range -40°C ... 70°C
Inflammability class in acc. with UL 94 V-0
Test standards IEC 61643-11 / EN 61643-11
Remote indication contact N/C contact
Connection data solid / stranded / AWG 0.2 ... 4 mm² / 0.2 ... 2.5 mm² / 24 - 12 0.2 ... 4 mm² / 0.2 ... 2.5 mm² / 24 - 12 - / - /
Max. operating voltage 250 V AC / 125 V DC
Max. operating current 3 A AC / 1 A DC (30 V DC)
Ordering data
Description Voltage U
N
Type Order No. Pcs. /
Pkt.
MAINS-PLUGTRAB, consisting of a plug and base element
24VAC
60VAC
120VAC
230VAC PLT-SEC-T3-3S-230-FM 2905230 1
MAINS-PLUGTRAB plug
24VAC
60VAC
120VAC
230VAC
Accessories
Replacement plug
PLT-SEC-T3-3S-230-P 2905236 1
PLUGTRAB base element, for mounting on NS35
PLT-SEC-T3-3S-BE 2905592 1
30
PHOENIX CONTACT
Type 3 device protection
PLUGTRAB SEC
– Varistor-based device protection
– For single and three-phase power supply
units
– Plug-in
– Can be used without separate backup
fuse thanks to integrated overcurrent
protection
– Optical status indicator via LED
– With floating remote indication contact
– Plugs can be checked with
CHECKMASTER
Surge protection and interference suppression filters
Surge protection for the power supply with Safe Energy Control
H
W
D
new
5-conductor system; L1, L2, L3, N, PE 3-conductor system; L, N, PE Replacement plug for 3-conductor system; L,

6
5L
2
1N
4
3PE
IN
11
12 OUT
L
N PE
For further information and full technical data, visit phoenixcontact.net/products
Technical data Technical data
... 24AC ... 60AC ... 120AC ... 230AC ... 24AC ... 60AC ... 120AC ... 230AC
III / T3 III / T3 III / T3 III / T3 III / T3 III / T3 III / T3 III / T3
24VAC 60VAC 120VAC 230VAC 24VAC 60VAC 120VAC 230VAC
34 V AC /
34 V DC
100 V AC /
80VDC
150 V AC /
150 V DC
264 V AC /
230 V DC
34VAC /
34VDC
100VAC /
80VDC
150 V AC /
150 V DC
264 V AC /
230 V DC
26 A (30°C) 26 A (30°C) 26 A (30°C) 26 A (30°C) - - - -
2 kV 4 kV 6 kV 6 kV 2 kV 4 kV 6 kV 6 kV
1 kA 2 kA 3 kA 3 kA 1 kA 2 kA 3 kA 3 kA
≤ 0.25 kV /
≤ 0.65 kV
≤ 0.48 kV /
≤ 0.9 kV
≤ 0.85 kV /
≤ 0.95 kV
≤ 1.35 kV /
≤ 1.5 kV
≤ 0.25 kV /
≤ 0.65 kV
≤ 0.48 kV /
≤ 0.9 kV
≤ 0.85 kV /
≤ 0.95 kV
≤ 1.35 kV /
≤ 1.5 kV
1.5 kA AC /
1 kA DC
1.5 kA AC /
1 kA DC
1.5 kA AC /
0.25 kA DC
1.5 kA AC /
0.25 kA DC
1.5 kA AC /
1 kA DC
1.5 kA AC /
1 kA DC
1.5 kA AC /
0.25 kA DC
1.5 kA AC /
0.25 kA DC
Not required -
≤ 25 ns /
≤ 100 ns
≤ 25 ns /
≤ 100 ns
≤ 25 ns /
≤ 100 ns
≤ 25 ns /
≤ 100 ns
≤ 25 ns /
≤ 100 ns
≤ 25 ns /
≤ 100 ns
≤ 25 ns /
≤ 100 ns
≤ 25 ns /
≤ 100 ns
17.7 mm / 90 mm / 74.5 mm 17.5 mm / 60.9 mm / 44.8 mm
Connection data solid / stranded / AWG 0.2 ... 4 mm² / 0.2 ... 2.5 mm² / 24 - 12 0.2 ... 4 mm² / 0.2 ... 2.5 mm² / 24 - 12 - / - / -
-40°C ... 80°C -40°C ... 80°C
V-0 V-0
EN 61643-11 / UL1449 EN 61643-11 / UL1449
N/C contact
Connection data solid / stranded / AWG 0.2 ... 4 mm² / 0.2 ... 2.5 mm² / 24 - 12 0.2 ... 4 mm² / 0.2 ... 2.5 mm² / 24 - 12 - / - / -
250 V AC / 125 V DC - / -
3 A AC / 1 A DC (30 V DC) - / -
Ordering data Ordering data
Type Order No. Pcs. /
Pkt. Type Order No. Pcs. /
Pkt.
PLT-SEC-T3-24-FM 2905223 1
PLT-SEC-T3-60-FM 2905225 1
PLT-SEC-T3-120-FM 2905228 1
PLT-SEC-T3-230-FM 2905229 1
PLT-SEC-T3-24-P 2905232 1
PLT-SEC-T3-60-P 2905233 1
PLT-SEC-T3-120-P 2905234 1
PLT-SEC-T3-230-P 2905235 1
Accessories Accessories
PLT-SEC-T3-BE 2905557 1PLT-SEC-T3-BE 2905557 1
31
PHOENIX CONTACT
Surge protection and interference suppression filters
Surge protection for the power supply with Safe Energy Control
H
W
D
new
new
5-conductor system; L1, L2, L3, N, PE 3-conductor system; L, N, PE Replacement plug for 3-conductor system; L,
N, PE

32
PHOENIX CONTACT
Surge protection and interference suppression filters
Surge protection for the power supply
Type 1 lightning arresters for harsh
industrial environments
With a rated voltage of 800 V AC,
discharge capacity of 35 kA per channel, and
robust housing design, POWERTRAB is
ideal for harsh industrial environments and
use in 690 V IT networks, such as in wind
power plants.
VAL-MS T1/T2
The VAL-MS T1/T2 varistor-based
lightning arresters meet the requirements
of Lightning Protection Level III and IV and
also provide the voltage protection level of
a type 2 surge arrester.
Protective plugs for American
applications
The special plugs designed for American
networks enable the easy implementation
of DIN-rail-mountable surge protection
solutions.
Surge protection for 60mm system
technology
VAL-CP-MOSO are surge arresters
with integrated, surge-proof arrester
backup fuse for installation on 60 mm
system technology.
Type 3 device protection in an
extremely compact design
Ideal for protecting end devices, type 3
device protection is used in deep
installation boxes, cable ducts or underfloor
systems.
Device protection plugs - MNT
The MAINTRAB device protection range
is very easy to retrofit in existing
installations. Versions are available as simple
adapters for mains sockets or with
additional signal interfaces.

For further information and full technical data, visit phoenixcontact.net/products
33
PHOENIX CONTACT
Surge protection and interference suppression filters
Surge protection for the power supply
Type 2 surge protection for higher
nominal voltages
With VAL-MS..., corresponding arresters
are available for power supplies with higher
supply voltages, such as in wind power
plants or when discharge currents > 30 kA
per channel are required.
Surge protection with residual
current device
VAL-CP-RCD are combinations of type
2 device protection with residual current
device. They therefore combine personal
protection and surge protection in a single
device.
Surge protection with integrated
arrester backup fuse
VAL-CP-MCB are combinations of type
2 surge protection with integrated, surge-
proof arrester backup fuses.
Surge protection for LED lights
The surge protective devices for LED
applications are specifically designed for
street, tunnel or object lighting. Different
versions are available for protection class I
and II.
Surge protection for photovoltaic
systems
The product range covers everything
from individual components to ready-to-
install solutions for all types of photovoltaic
systems from 600VDC to 1500VDC.
Surge protection set
The basic solution for building
installations. The GEB-SET consists of a
T1/T2 arrester and three MAINTRAB
device protection plugs.

12
11
FM
21
22
PE / PEN /
CCA
Technical data
Electrical data
IEC test classification I / II, T1 / T2
Nominal voltage U
N
690 V AC / 554/960 V AC (TN-C) / 690 V AC (IT) 690 V AC / 554/960 V AC (TN-C) / 690 V AC (IT)
Maximum continuous operating voltage U
C
L-PE 800 V AC
Impulse discharge curr. I
imp
(10/350) μs
Charge L-PE 17.5 As
Specific energy L-PE 305 kJ/Ω
Peak value L-PE 35 kA
Nominal discharge current I
n
(8/20) µs L-PE 35 kA
Max. discharge current I
max.
(8/20) µs L-PE 100 kA
Residual voltage at 5 kA L-PE ≤ 2.2 kV
Protection level U
p
L-PE ≤ 4.5 kV
Short-circuit current rating I
SCCR
50 kA
Response time t
A
L-PE ≤ 100 ns
General data
Dimensions W / H / D 56 mm / 191 mm / 280 mm 176 mm / 191 mm / 280 mm
Connection data solid / stranded /AWG (IEC) /AWG (UL) 16 ... 50 mm² / 16 ... 50 mm² / 6 - 1/0 / 6 - 1/0 16 ... 50 mm² / 16 ... 50 mm² / 6 - 1/0 / 6 - 1/0
Temperature range -40°C ... 80°C
Inflammability class in acc. with UL 94 V-2
Test standards IEC 61643-11 / EN 61643-11 IEC 61643-11 / EN 61643-11
Remote indication contact 2x N/C contacts, 1-pos.
Connection data solid / stranded /AWG (IEC) /AWG (UL) 0.2 ... 2.5 mm² / 0.2 ... 2.5 mm² / 24 - 12 / 24 - 12 0.2 ... 2.5 mm² / 0.2 ... 2.5 mm² / 24 - 12 / 24 - 12
Max. operating voltage 30 V AC / 30 V DC
Max. operating current 1.5 A AC / 1.5 A DC
Ordering data
Description Type Order No. Pcs. /
Pkt.
POWERTRAB
PWT 35-800AC-FM 2800419 1
Montage set, consisting of: PE aluminum rail, M10 x 20 hexagonal
screws, M10 hexagonal nuts, M10 washers, M10 spring washers,
installation instructions
34
PHOENIX CONTACT
Type 1 lightning arrester
POWERTRAB
– Type 1 arrester based on a varistor
– Meets Lightning Protection Level I
– Universal solution for various network
types
– Multi-stage status monitoring via remote
indication contact
– Local optical status indication
– Encapsulated, non-extinguishing
– Free of leakage current/noline follow
current
– Very high TOV resistance
– Meets installation requirements according
to CLC/TS 50539-22
– Use in harsh industrial environments
Surge protection and interference suppression filters
Surge protection for the power supply
H
W
D
Single-channel 4-conductor system; L1, L2, L3, PE/PEN Mounting set for 3+0 applications Mounting set for 4+0 applications

PE / PEN /
12
11
FM
21
22
L1 L2 L3
For further information and full technical data, visit phoenixcontact.net/products
CCA
Technical data
I / II, T1 / T2
690 V AC / 554/960 V AC (TN-C) / 690 V AC (IT) 690 V AC / 554/960 V AC (TN-C) / 690 V AC (IT)
800 V AC
17.5 As
305 kJ/Ω
35 kA
35 kA
100 kA
≤ 2.2 kV
≤ 4.5 kV
50 kA
≤ 100 ns
Dimensions W / H / D 56 mm / 191 mm / 280 mm 176 mm / 191 mm / 280 mm
AWG (UL) 16 ... 50 mm² / 16 ... 50 mm² / 6 - 1/0 / 6 - 1/0 16 ... 50 mm² / 16 ... 50 mm² / 6 - 1/0 / 6 - 1/0
-40°C ... 80°C
V-2
Test standards IEC 61643-11 / EN 61643-11 IEC 61643-11 / EN 61643-11
2x N/C contacts, 1-pos.
AWG (UL) 0.2 ... 2.5 mm² / 0.2 ... 2.5 mm² / 24 - 12 / 24 - 12 0.2 ... 2.5 mm² / 0.2 ... 2.5 mm² / 24 - 12 / 24 - 12
30VAC / 30VDC
1.5 A AC / 1.5 A DC
Ordering data Ordering data Ordering data
Type Order No. Pcs. /
Pkt. Type Order No. Pcs. /
Pkt. Type Order No. Pcs. /
Pkt.
PWT 100-800AC-FM 2800531 1
PWT CCT-SET 2800532 1PWT CCT-SET 4 2905613 1
35
PHOENIX CONTACT
Surge protection and interference suppression filters
Surge protection for the power supply
H
W
D
Single-channel 4-conductor system; L1, L2, L3, PE/PEN Mounting set for 3+0 applications Mounting set for 4+0 applications

12 14
11
FM
NL1 L2 L3
12 14
11
FM
NL1 L2 L3
CCA
CCA
Technical data Technical data
Electrical data ...335 ...175 ...335
IEC test classification I / II, T1 / T2 I / II, T1 / T2 I / II, T1 / T2
Nominal voltage U
N
240/415 V AC (TN-S) /
240/415 V AC (TT)
120/208 V AC (TN-S) /
120/208 V AC (TT)
240/415 V AC (TN-S)
Maximum continuous operating voltage U
C
L-N / L-PE / N-PE / L-PEN 335 V AC / - / 264 V AC / - 175 V AC / - / 264 V AC / - - / 335 V AC / 335 V AC / - - / - / - / 335 V AC - / - / - / 175
Impulse discharge curr. I
imp
(10/350) μs
Charge L-N / N-PE / L-PEN 6.25 As / 25 As / - 6.25 As / 25 As / - - / 6.25 As / -
Specific energy L-N / N-PE / L-PEN 39 kJ/Ω / 625 kJ/Ω / - 39 kJ/Ω / 625 kJ/Ω / - - / 39 kJ/Ω / -
Peak value L-N / N-PE / L-PEN 12.5 kA / 50 kA / - 12.5 kA / 50 kA / - - / 12.5 kA / -
Nominal discharge current I
n
(8/20) µs
L-N / L-PE / N-PE / L-PEN 12.5 kA / 12.5 kA / 50 kA / - 12.5 kA / 12.5 kA / 50 kA / - - / 12.5 kA / 12.5 kA / - - / - / - / 12.5 kA
Max. discharge current I
max.
(8/20) µs
L-N / L-PE / N-PE / L-PEN 50 kA / 50 kA / 50 kA / - 50 kA / 50 kA / 50 kA / - - / 50 kA / 50 kA / -
Voltage protection level U
p
L-N / L-PE / N-PE / L-PEN ≤ 1.2 kV / ≤2 kV / ≤1.7 kV / - ≤ 0.8 kV / ≤2 kV / ≤1.7 kV / - ≤ 1.6 kV (30 kA - 8/20µs) / ≤1.2 kV / ≤1.2 kV / - - / - / - /
Short-circuit current rating I
SCCR
25 kA 25 kA
Max. backup fuse with branch wiring 160 A AC (gG) 160 A AC (gG) 160 A AC (gG)
Response time t
A
L-N / L-PE / N-PE / L-PEN ≤ 25 ns / ≤100 ns / ≤100 ns / - ≤ 25 ns / ≤100 ns / ≤100 ns / - - / ≤25 ns / ≤25 ns / -
General data
Dimensions W / H / D 71.2 mm / 99 mm / 77.5 mm 71.2 mm / 99 mm / 77.5 mm
Connection data solid / stranded /AWG (IEC) /AWG (UL) 1.5 ... 35 mm² / 1.5 ... 25 mm² / 15 - 2 / 10 - 2 1.5 ... 35 mm² / 1.5 ... 25 mm² / 15 - 2 / 10 - 2 1.5 ... 35 mm² / 1.5
Temperature range -40°C ... 80°C -40°C ... 80°C
Inflammability class in acc. with UL 94 V-0 V-0
Test standards IEC 61643-11 / EN 61643-11 IEC 61643-11 / EN 61643-11
Remote indication contact PDT contact PDT contact
Connection data solid / stranded /AWG (IEC) /AWG (UL) 0.14 ... 1.5 mm² / 0.14 ... 1.5 mm² / 28 - 16 / 30 - 14 0.14 ... 1.5 mm² / 0.14 ... 1.5 mm² / 28 - 16 / 30 - 14 0.14 ...
Max. operating voltage 250 V AC / 30 V DC 250 V AC / 30 V DC
Max. operating current 1.5 A AC / 1 A DC 1.5 A AC / 1 A DC
Ordering data Ordering data
Description U
C
Type Order No. Pcs. /
Pkt. Type Order No. Pcs. /
Pkt.
VALVETRAB-MS, varistor-based lightning arrester
with remote indication contact 335 V AC VAL-MS-T1/T2 335/12.5/3+1-FM 2800183 1VAL-MS-T1/T2 335/12.5/4+0-FM 2800644 1
without remote indication contact 335 V AC VAL-MS-T1/T2 335/12.5/3+1 2800184 1VAL-MS-T1/T2 335/12.5/4+0 2800645 1
with remote indication contact 175 V AC VAL-MS-T1/T2 175/12.5/3+1-FM 2800670 1
without remote indication contact 175 V AC VAL-MS-T1/T2 175/12.5/3+1 2800671 1
Accessories Accessories
Replacement plug
L-N / L-PEN VAL-MS-T1/T2 335/12.5 ST 2800190 10 VAL-MS-T1/T2 335/12.5 ST 2800190 10
L-N / L-PEN VAL-MS-T1/T2 175/12.5 ST 2800676 10
N-PE F-MS-T1/T2 50 ST 2800191 10
36
PHOENIX CONTACT
– Consistent plug-in design (even for N/PE
spark gap)
– Secure hold of plugs in the event of high
lightning current loads and strong
vibration thanks to new latching
– Thermal disconnect device for each
individual plug
– Optical, mechanical status indication for
the individual arresters
– With or without floating remote
indication contact
– Mechanical coding of all slots
– Plugs can be checked with
CHECKMASTER
Type 1/2 lightning arrester/surge
arrester
VAL-MS-T1/T2
Surge protection and interference suppression filters
Surge protection for the power supply
5-conductor system; L1, L2, L3, N, PE (3+1
circuit)
5-conductor system; L1, L2, L3, N, PE (4+0
circuit)
H
W
D
H
W
D

PENPEN
L1 L2 L3
12 14
11
FM
12 14
11
FM
NL
12 14
11
FM
N / PEN
L
For further information and full technical data, visit phoenixcontact.net/products
CCA
CCA
Technical data Technical data Technical data
...335 ...175 ...335 ...175 ...335 ...175
I / II, T1 / T2 I / II, T1 / T2 I / II, T1 / T2 I / II, T1 / T2 I / II, T1 / T2 I / II, T1 / T2
240/415 V AC (TN-C) 120/208 V AC (TN-C) 240 V AC (TN-S) /
240 V AC (TT)
120 V AC (TN-S) /
120 V AC (TT)
240 V AC (TN-C, TN-S) /
240 V AC (TT)
120 V AC (TN-C, TN-S) /
120 V AC (TT)
L-N / L-PE / N-PE / L-PEN 335 V AC / - / 264 V AC / - 175 V AC / - / 264 V AC / - - / 335 V AC / 335 V AC / - - / - / - / 335 V AC - / - / - / 175 V AC 335 V AC / - / 264 V AC / - 175 V AC / - / 264 V AC / - 335 V AC / - / - / 335 V AC 175 V AC / - / - / 175 V AC
- / - / 6.25 As - / - / 6.25 As 6.25 As / 25 As / - 6.25 As / 25 As / - 6.25 As / - / 6.25 As 6.25 As / - / 6.25 As
- / - / 39 kJ/Ω- / - / 39 kJ/Ω39 kJ/Ω / 625 kJ/Ω / - 39 kJ/Ω / 625 kJ/Ω / - 39 kJ/Ω / - / 39 kJ/Ω39 kJ/Ω / - / 39 kJ/Ω
- / - / 12.5 kA - / - / 12.5 kA 12.5 kA / 50 kA / - 12.5 kA / 50 kA / - 12.5 kA / - / 12.5 kA 12.5 kA / - / 12.5 kA
L-N / L-PE / N-PE / L-PEN 12.5 kA / 12.5 kA / 50 kA / - 12.5 kA / 12.5 kA / 50 kA / - - / 12.5 kA / 12.5 kA / - - / - / - / 12.5 kA - / - / - / 12.5 kA 12.5 kA / - / 50 kA / - 12.5 kA / - / 50 kA / - 12.5 kA / - / - / 12.5 kA 12.5 kA / - / - / 12.5 kA
- / - / - / 50 kA - / - / - / 50 kA 50 kA / - / 50 kA / - 50 kA / - / 50 kA / - 50 kA / - / - / 50 kA 50 kA / - / - / 50 kA
1.2 kV / - - / - / - / ≤1.6 kV (30 kA - 8/20µs) - / - / - / ≤0.8 kV ≤ 1.2 kV / ≤2 kV / ≤1.7 kV / - ≤ 0.8 kV / ≤2 kV / ≤1.7 kV / - ≤ 1.6 kV (30 kA - 8/20µs) / - / - /
≤ 1.6 kV (30 kA - 8/20µs)
≤ 0.8 kV / - / - / ≤0.8 kV
25 kA 25 kA 25 kA
160 A AC (gG) 160 A AC (gG) 160 A AC (gG) 160 A AC (gG) 160 A AC (gG) 160 A AC (gG)
- / - / - / ≤25 ns - / - / - / ≤25 ns ≤ 25 ns / ≤100 ns / ≤100 ns / - ≤ 25 ns / ≤100 ns / ≤100 ns / - ≤ 25 ns / - / - / ≤25 ns ≤ 25 ns / - / - / ≤25 ns
53.4 mm / 99 mm / 77.5 mm 35.6 mm / 99 mm / 77.5 mm 17.5 mm / 99 mm / 77.5 mm
AWG (UL) 1.5 ... 35 mm² / 1.5 ... 25 mm² / 15 - 2 / 10 - 2 1.5 ... 35 mm² / 1.5 ... 25 mm² / 15 - 2 / 10 - 2 1.5 ... 35 mm² / 1.5 ... 25 mm² / 15 - 2 / 10 - 2 1.5 ... 35 mm² / 1.5 ... 25 mm² / 15 - 2 / 10 - 2 1.5 ... 35 mm² / 1.5 ... 25 mm² / 15 - 2 / -
-40°C ... 80°C -40°C ... 80°C -40°C ... 80°C
V-0 V-0 V-0
IEC 61643-11 / EN 61643-11 IEC 61643-11 / EN 61643-11 / EN 61643-11/A11 IEC 61643-11 / EN 61643-11
PDT contact PDT contact PDT contact
AWG (UL) 0.14 ... 1.5 mm² / 0.14 ... 1.5 mm² / 28 - 16 / 30 - 14 0.14 ... 1.5 mm² / 0.14 ... 1.5 mm² / 28 - 16 / 30 - 14 0.14 ... 1.5 mm² / 0.14 ... 1.5 mm² / 28 - 16 / 30 - 14 0.14 ... 1.5 mm² / 0.14 ... 1.5 mm² / 28 - 16 / 30 - 14 0.14 ... 1.5 mm² / 0.14 ... 1.5 mm² / - / -
250VAC / 30VDC 250VAC / 30VDC 250VAC / 30VDC
1.5 A AC / 1 A DC 1.5 A AC / 1 A DC 1 A AC / 1 A DC
Ordering data Ordering data Ordering data
Type Order No. Pcs. /
Pkt. Type Order No. Pcs. /
Pkt. Type Order No. Pcs. /
Pkt.
VAL-MS-T1/T2 335/12.5/3+0-FM 2800188 1VAL-MS-T1/T2 335/12.5/1+1-FM 2800186 1VAL-MS-T1/T2 335/12.5/1+0-FM 2801042 1
VAL-MS-T1/T2 335/12.5/3+0 2800189 1VAL-MS-T1/T2 335/12.5/1+1 2800187 1VAL-MS-T1/T2 335/12.5/1+0 2801041 1
VAL-MS-T1/T2 175/12.5/3+0-FM 2800672 1VAL-MS-T1/T2 175/12.5/1+1-FM 2800674 1VAL-MS-T1/T2 175/12.5/1+0-FM 2801044 1
VAL-MS-T1/T2 175/12.5/3+0 2800673 1VAL-MS-T1/T2 175/12.5/1+1 2800675 1VAL-MS-T1/T2 175/12.5/1+0 2801043 1
Accessories Accessories Accessories
VAL-MS-T1/T2 335/12.5 ST 2800190 10 VAL-MS-T1/T2 335/12.5 ST 2800190 10 VAL-MS-T1/T2 335/12.5 ST 2800190 10
VAL-MS-T1/T2 175/12.5 ST 2800676 10 VAL-MS-T1/T2 175/12.5 ST 2800676 10 VAL-MS-T1/T2 175/12.5 ST 2800676 10
F-MS-T1/T2 50 ST 2800191 10
37
PHOENIX CONTACT
Surge protection and interference suppression filters
Surge protection for the power supply
H
W
D
4-conductor system; L1, L2, L3, PEN 3-conductor system; L, N, PE 2-conductor system; L, N/PEN
H
W
D
H
W
D

12 14
11
FM
N / PEN
L
NL
CCA
CCA
Technical data Technical data
Electrical data
IEC test classification I / II, T1 / T2 I / II, T1 / T2
Nominal voltage U
N
60 V AC ±10% (TN) 60 V AC ±10% (TN-S)
Maximum continuous operating voltage U
C
L-N / N-PE / L-PEN 75 V AC / - / 75 V AC 75 V AC / 75 V AC / -
Impulse discharge curr. I
imp
(10/350) μs
Charge L-N / N-PE / L-PEN 6.25 As / - / 6.25 As 6.25 As / 6.25 As / -
Specific energy L-N / N-PE / L-PEN 39 kJ/Ω / - / 39 kJ/Ω39 kJ/Ω / 39 kJ/Ω / -
Peak value L-N / N-PE / L-PEN 12.5 kA / - / 12.5 kA 12.5 kA / 12.5 kA / -
Nominal discharge current I
n
(8/20) µs
L-N / N-PE / L-PEN 12.5 kA / - / 12.5 kA 12.5 kA / 12.5 kA / -
Max. discharge current I
max.
(8/20) µs
L-N / N-PE / L-PEN 30 kA / - / 30 kA 30 kA / 30 kA / -
Voltage protection level U
p
L-N / N-PE / L-PEN ≤ 0.4 kV / - / ≤0.4 kV ≤ 0.4 kV / ≤0.4 kV / -
Short-circuit current rating I
SCCR
25 kA 25 kA
Response time t
A
L-N / N-PE / L-PEN ≤ 25 ns / - / ≤25 ns ≤ 25 ns / ≤25 ns / -
General data
Dimensions W / H / D 17.5 mm / 97 mm / 77.5 mm 35.6 mm / 97 mm / 77.5 mm
Connection data solid / stranded /AWG (IEC) /AWG (UL) 1.5 ... 35 mm² / 1.5 ... 25 mm² / 15 - 2 / 10 - 2 1.5 ... 35 mm² / 1.5 ... 25 mm² / 15 - 2 / 10 - 2
Temperature range -40°C ... 80°C -40°C ... 80°C
Inflammability class in acc. with UL 94 V-0 V-0
Test standards IEC 61643-11 / EN 61643-11 IEC 61643-11 / EN 61643-11
Remote indication contact PDT contact PDT contact
Connection data solid / stranded /AWG (IEC) /AWG (UL) 0.14 ... 1.5 mm² / 0.14 ... 1.5 mm² / 28 - 16 / 30 - 14 0.14 ... 1.5 mm² / 0.14 ... 1.5 mm² / 28 - 16 / 30 - 14
Max. operating voltage 250 V AC / 125 V DC (200 mA DC) 250 V AC / 125 V DC (200 mA DC)
Max. operating current 1.5 A AC / 1 A DC (30 V DC) 1.5 A AC / 1 A DC (30 V DC)
Ordering data Ordering data
Description U
C
Type Order No. Pcs. /
Pkt. Type Order No. Pcs. /
Pkt.
VALVETRAB-MS, varistor-based lightning arrester
with remote indication contact 75 V AC VAL-MS-T1/T2 48/12.5/1+0-FM 2801240 1
without remote indication contact 75 V AC VAL-MS-T1/T2 48/12.5/1+0 2801241 1
75VAC VAL-MS-T1/T2 48/12.5/1+1V-FM 2801533 1
75VAC VAL-MS-T1/T2 48/12.5/1+1V 2801532 1
Accessories Accessories
Replacement plug
VAL-MS-T1/T2 48/12.5 ST 2801242 10 VAL-MS-T1/T2 48/12.5 ST 2801242 10
38
PHOENIX CONTACT
– Consistent plug-in design
– Also suitable for industry solutions, e.g.,
in the rail and telecommunications
sectors
– Thermal disconnect device for each
individual plug
– Optical, mechanical status indication for
the individual arresters
– With or without floating remote
indication contact
– Mechanical coding of all slots
– Plugs can be checked with
CHECKMASTER
H
W
D
H
W
D
Surge protection for special
applications
Surge protection and interference suppression filters
Surge protection for the power supply
2-conductor system; L, PEN 3-conductor system; L, N, PE

For further information and full technical data, visit phoenixcontact.net/products
Ordering data
Description Type Order No. Pcs. /
Pkt.
Building set, consisting of:
1 x VAL-MS-T1/T2 (surge arrester),
1 x MNT-1D (device protection adapter),
1 x MNT-TV-SAT D (device and TV-SAT protective adapter),
1 x MNT-TAE D (device and TAE protective adapter),
2 x F to TV (IEC) connector adapter,
1 x KBL TV-SAT/150, 1 x KBL TV/150,
1 x KBL TAE/150 (connecting cable)
GEB-SET-T1/T2 TAE/TV-SAT 2801022 1
39
PHOENIX CONTACT
– Surge protection set for powerful basic
protection
– Coordinated protective devices
– VAL-MS-T1/T2 lightning arrester for
installation in the distribution
– Three device protection adapters (type 3)
for protecting the power supply
– Two of these are equipped with additional
signal line protection (TV/SAT or TAE)
– Cables and adapters are supplied as
standard
Set solution for building installation
Surge protection and interference suppression filters
Surge protection for the power supply
Set solution with surge protection for TAE and
TV-SAT

12 14
11
FM
NL1 L2 L3
12
14
11
FM
NL1L2L3
CCA
CCA
Technical data Technical data
Electrical data VAL-MS 230 VAL-MS 320 VAL-MS 320
IEC test classification II, T2 II, T2 II, T2
Nominal voltage U
N
240/415 V AC (TN-S) /
240/415 V AC (TT)
240/415 V AC (TN-S) /
240/415 V AC (TT)
240/415 V AC (TN-S) /
240/415 V AC (TT)
Maximum continuous operating voltage U
C
L-N / N-PE / L-PEN 275 V AC / 260 V AC / - 335 V AC / 260 V AC / - 335 V AC / 260 V AC / - - / - / 335 V AC - / - / 580 V AC 275 V AC / 260 V AC / - 335 V A
Nominal discharge current I
n
(8/20) µs
L-N / N-PE / L-PEN 20 kA / 20 kA / - 20 kA / 20 kA / - 20 kA / 20 kA / -
Max. discharge current I
max.
(8/20) µs
L-N / N-PE / L-PEN 40 kA / 40 kA / - 40 kA / 40 kA / - 40 kA / 40 kA / -
Voltage protection level U
p
L-N / N-PE / L-PEN ≤ 1.35 kV / ≤1.5 kV / - ≤ 1.6 kV / ≤1.5 kV / - ≤ 1.6 kV / ≤1.5 kV / -
Short-circuit current rating I
SCCR
25 kA 25 kA
Max. backup fuse with branch wiring 125 A AC (gG) 125 A AC (gG) 125 A AC (gG)
Response time t
A
L-N / N-PE / L-PEN ≤ 25 ns / ≤100 ns / - ≤ 25 ns / ≤100 ns / - ≤ 25 ns / ≤100 ns / -
General data
Dimensions W / H / D 71 mm / 99 mm / 58 mm 71 mm / 99 mm / 58 mm
Connection data solid / stranded /AWG (IEC) /AWG (UL) 1.5 ... 35 mm² / 1.5 ... 25 mm² / 15 - 2 / 10 - 2 1.5 ... 35 mm² / 1.5 ... 25 mm² / 15 - 2 / 10 - 2 1.5 ... 35 mm² / 1.5
Temperature range -40°C ... 80°C -40°C ... 80°C
Inflammability class in acc. with UL 94 V-0 V-0
Test standards IEC 61643-11 / EN 61643-11 IEC 61643-11 / EN 61643-11
Remote indication contact PDT contact PDT contact
Connection data solid / stranded /AWG (IEC) /AWG (UL) 0.14 ... 1.5 mm² / 0.14 ... 1.5 mm² / 28 - 16 / 30 - 14 0.14 ... 1.5 mm² / 0.14 ... 1.5 mm² / 28 - 16 / 30 - 14 0.14 ...
Max. operating voltage 250 V AC / 30 V DC 250 V AC / 30 V DC
Max. operating current 0.75 A AC / 1 A DC 0.75 A AC / 1 A DC
Ordering data Ordering data
Description I
max
U
C
Type Order No. Pcs. /
Pkt. Type Order No. Pcs. /
Pkt.
VALVETRAB, multi-position surge arrester combination
without remote indication contact 40 kA 275 V AC VAL-MS 230/3+1 2838209 1
with remote indication contact 40 kA 275 V AC VAL-MS 230/3+1 FM 2838199 1
without remote indication contact 40 kA 335 V AC VAL-MS 320/3+1 2859178 1
with remote indication contact 40 kA 335 V AC VAL-MS 320/3+1/FM 2859181 1VAL-MS 320/3+1/FM-UD 2856689 1
VALVETRAB MS
without remote indication contact
with remote indication contact
Accessories Accessories
Replacement plug
1L-N/PE VAL-MS 230 ST 2798844 10
1L-N/PE VAL-MS 320 ST 2838843 10 VAL-MS 320-UD ST 2858315 10
1L-N/PE
N-PE F-MS 12 ST 2817990 10 F-MS 12 ST 2817990 10
40
PHOENIX CONTACT
– Multi-channel type2 arrester
– Type 2 surge arresters with consistent
plug-in design
– Disconnect device on each individual plug
– Optical, mechanical status indication for
the individual arresters
– With or without floating remote
indication contact
– Mechanical coding of all slots
– Plugs can be checked with
CHECKMASTER
Type 2 surge arrester
VALVETRABMS
30/40 kA performance class
Surge protection and interference suppression filters
Surge protection for the power supply
5-conductor system; L1, L2, L3, N, PE, supply
line supply from below
5-conductor system; L1, L2, L3, N, PE, supply
line supply from above
H
W
D
H
W
D

PENPEN
L1 L2 L3
12 14
11
FM
12 14
11
FM
NL1
12 14
11
FM
PEN
L1L2
For further information and full technical data, visit phoenixcontact.net/products
CCA
CCA
CCA
Technical data Technical data Technical data
VAL-MS 320 VAL-MS 580 VAL-MS 230 VAL-MS 320 VAL-MS 230
II, T2 II, T2 II, T2 II, T2 II, T2
240/415 V AC (TN-C) 400/690 V AC (TN-C) /
500 V AC (IT)
240/415 V AC (TN-S) /
240/415 V AC (TT)
240/415 V AC (TN-S) /
240/415 V AC (TT)
240/415 V AC (TN-C)
L-N / N-PE / L-PEN 275 V AC / 260 V AC / - 335 V AC / 260 V AC / - 335 V AC / 260 V AC / - - / - / 335 V AC - / - / 580 V AC 275 V AC / 260 V AC / - 335 V AC / 260 V AC / - - / - / 275 V AC
- / - / 20 kA - / - / 15 kA 20 kA / 20 kA / - 20 kA / 20 kA / - - / - / 20 kA
- / - / 40 kA - / - / 30 kA 40 kA / 40 kA / - 40 kA / 40 kA / - - / - / 40 kA
- / - / ≤1.5 kV - / - / ≤2.5 kV ≤ 1.35 kV / ≤1.5 kV / - ≤ 1.5 kV / ≤1.5 kV / - - / - / ≤1.35 kV
25 kA 25 kA 25 kA
125 A AC (gG) 125 A AC (gG) 125 A AC (gG) 125 A AC (gG) 125 A AC (gG)
- / - / ≤25 ns - / - / ≤25 ns ≤ 25 ns / ≤100 ns / - ≤ 25 ns / ≤100 ns / - - / - / ≤25 ns
53.4 mm / 99 mm / 58 mm 35.6 mm / 97 mm / 58 mm 35.6 mm / 97 mm / 58 mm
AWG (UL) 1.5 ... 35 mm² / 1.5 ... 25 mm² / 15 - 2 / 10 - 2 1.5 ... 35 mm² / 1.5 ... 25 mm² / 15 - 2 / 10 - 2 1.5 ... 35 mm² / 1.5 ... 25 mm² / 15 - 2 / 10 - 2 1.5 ... 35 mm² / 1.5 ... 25 mm² / 15 - 2 / 10 - 2 1.5 ... 35 mm² / 1.5 ... 25 mm² / 15 - 2 / 10 - 2
-40°C ... 80°C -40°C ... 80°C -40°C ... 80°C
V-0 V-0 V-0
IEC 61643-11 / EN 61643-11 IEC 61643-11 / EN 61643-11 IEC 61643-11 / EN 61643-11
PDT contact PDT contact PDT contact
AWG (UL) 0.14 ... 1.5 mm² / 0.14 ... 1.5 mm² / 28 - 16 / 30 - 14 0.14 ... 1.5 mm² / 0.14 ... 1.5 mm² / 28 - 16 / 30 - 14 0.14 ... 1.5 mm² / 0.14 ... 1.5 mm² / 28 - 16 / 30 - 14 0.14 ... 1.5 mm² / 0.14 ... 1.5 mm² / 28 - 16 / 30 - 14 0.14 ... 1.5 mm² / 0.14 ... 1.5 mm² / 28 - 16 / 30 - 14
250VAC / 30VDC 250VAC / 30VDC 250VAC / 30VDC
1.5 A AC / 1 A DC 1.5 A AC / 1 A DC 1.5 A AC / 1 A DC
Ordering data Ordering data Ordering data
Type Order No. Pcs. /
Pkt. Type Order No. Pcs. /
Pkt. Type Order No. Pcs. /
Pkt.
VAL-MS 230/1+1 2804429 1VAL-MS 230/2+0 2800103 1
VAL-MS 230/1+1-FM 2804432 1VAL-MS 230/2+0-FM 2800102 1
VAL-MS 320/3+0 2920230 1VAL-MS 320/1+1 2804380 1
VAL-MS 320/3+0-FM 2920243 1VAL-MS 320/1+1-FM 2804393 1
VAL-MS 580/3+0 2920450 1
VAL-MS 580/3+0-FM 2920447 1
Accessories Accessories Accessories
VAL-MS 230 ST 2798844 10 VAL-MS 230 ST 2798844 10
VAL-MS 320 ST 2838843 10 VAL-MS 320 ST 2838843 10
VAL-MS 580-ST 2920434 10
F-MS 12 ST 2817990 10
41
PHOENIX CONTACT
Surge protection and interference suppression filters
Surge protection for the power supply
H
W
D
4-conductor system; L1, L2, L3, PEN 3-conductor system; L, N, PE 3-conductor system; L1, L2, PEN
H
W
D
H
W
D

12 14
11
FM
NL1 L2 L3
/ PE / PE
12 14
11
FM
L1 L3L2
PEN
CCA
CCA
Technical data Technical data
Electrical data
IEC test classification II, T2 II, T2
Nominal voltage U
N
240/415 V AC (TN-S) /
240/415 V AC (TT)
240/415 V AC (TN-C) /
230 V AC (IT)
Maximum continuous operating voltage U
C
L-N / N-PE / L-PEN 350 V AC / 260 V AC / - - / - / 350 V AC
Nominal discharge current I
n
(8/20) µs
L-N / N-PE / L-PEN 10 kA / 20 kA / - - / - / 10 kA
Max. discharge current I
max.
(8/20) µs
L-N / N-PE / L-PEN 20 kA / 40 kA / - - / - / 20 kA
Voltage protection level U
p
L-N / N-PE / L-PEN ≤ 1.5 kV / ≤1.5 kV / - - / - / ≤1.5 kV
Short-circuit current rating I
SCCR
25 kA 25 kA
Max. backup fuse with branch wiring 125 A AC (gG) 125 A AC (gG)
Response time t
A
L-N / N-PE / L-PEN ≤ 100 ns / ≤100 ns / - - / - / ≤100 ns
General data
Dimensions W / H / D 71 mm / 99 mm / 58 mm 53.4 mm / 99 mm / 58 mm 35.6 mm / 97 mm / 58 mm 17.6 mm / 97 mm / 58 mm
Connection data solid / stranded /AWG (IEC) /AWG (UL) 1.5 ... 35 mm² / 1.5 ... 25 mm² / 15 - 2 / 10 - 2 1.5 ... 35 mm² / 1.5 ... 25 mm² / 15 - 2 / 10 - 2 1.5 ... 35 mm² / 1.5
Temperature range -40°C ... 80°C -40°C ... 80°C
Inflammability class in acc. with UL 94 V-0 V-0
Test standards IEC 61643-11 / EN 61643-11 IEC 61643-11 / EN 61643-11 IEC 61643-11 / EN 61643-11 IEC 61643-11 / EN 61643-11
Remote indication contact PDT contact PDT contact
Connection data solid / stranded /AWG (IEC) /AWG (UL) 0.14 ... 1.5 mm² / 0.14 ... 1.5 mm² / 28 - 16 / 30 - 14 0.14 ... 1.5 mm² / 0.14 ... 1.5 mm² / 28 - 16 / 30 - 14 0.14 ...
Max. operating voltage 250 V AC / 30 V DC 250 V AC / 30 V DC
Max. operating current 0.75 A AC / 1 A DC 1.5 A AC / 1 A DC
Ordering data Ordering data
Description Type Order No. Pcs. /
Pkt. Type Order No. Pcs. /
Pkt.
VALVETRAB MS
with remote indication contact VAL-MS 350VF/3+1-FM 2858632 1VAL-MS 350 VF/3+0-FM 2901862 1
without remote indication contact VAL-MS 350 VF/3+1 2858755 1VAL-MS 350 VF/3+0 2901861 1
Accessories Accessories
Replacement plug
1L-N/PE VAL-MS 350 VF ST 2856595 10 VAL-MS 350 VF ST 2856595 10
N-PE F-MS 12 ST 2817990 10
42
PHOENIX CONTACT
– DIN-rail-mountable protective devices
– Consisting of base element and plug
– Free of leakage current
– Thermal disconnect device for each
individual plug
– Optical, mechanical status indication for
the individual arresters
– With or without floating remote
indication contact
– Mechanical coding of all slots
– Plugs can be checked with
CHECKMASTER
Type 2 surge arrester, VALVETRAB
MS, free of leakage current
Surge protection and interference suppression filters
Surge protection for the power supply
5-conductor system; L1, L2, L3, N, PE 4-conductor system; L1, L2, L3, PEN 3-conductor system; L, N, PE 2-conductor system; L, N/PE
H
W
D
H
W
D

12 14
11
FM
NL1
12 14
11
FM
L
N / PEN
For further information and full technical data, visit phoenixcontact.net/products
CCA
CCA
Technical data Technical data
II, T2 II, T2
240/415 V AC (TN-S) /
240/415 V AC (TT)
240/415 V AC (TN) / 240/415 V AC (TT) /
230 V AC (IT)
350VAC / 260VAC / - 350VAC / - / 350VAC
10 kA / 20 kA / - 10 kA / - / 10 kA
20 kA / 40 kA / - 20 kA / - / 20 kA
≤ 1.5 kV / ≤1.5 kV / - ≤ 1.5 kV / - / ≤1.5 kV
25 kA 25 kA
125 A AC (gG) 125 A AC (gG)
≤ 100 ns / ≤100 ns / - ≤ 100 ns / - / ≤100 ns
Dimensions W / H / D 71 mm / 99 mm / 58 mm 53.4 mm / 99 mm / 58 mm 35.6 mm / 97 mm / 58 mm 17.6 mm / 97 mm / 58 mm
AWG (UL) 1.5 ... 35 mm² / 1.5 ... 25 mm² / 15 - 2 / 10 - 2 1.5 ... 35 mm² / 1.5 ... 25 mm² / 15 - 2 / 10 - 2 1.5 ... 35 mm² / 1.5 ... 25 mm² / 15 - 2 / 10 - 2 1.5 ... 35 mm² / 1.5 ... 25 mm² / 15 - 2 / 10 - 2
-40°C ... 80°C -40°C ... 80°C
V-0 V-0
Test standards IEC 61643-11 / EN 61643-11 IEC 61643-11 / EN 61643-11 IEC 61643-11 / EN 61643-11 IEC 61643-11 / EN 61643-11
PDT contact PDT contact
AWG (UL) 0.14 ... 1.5 mm² / 0.14 ... 1.5 mm² / 28 - 16 / 30 - 14 0.14 ... 1.5 mm² / 0.14 ... 1.5 mm² / 28 - 16 / 30 - 14 0.14 ... 1.5 mm² / 0.14 ... 1.5 mm² / 28 - 16 / 30 - 14 0.14 ... 1.5 mm² / 0.14 ... 1.5 mm² / 28 - 16 / 30 - 14
250VAC / 30VDC 250VAC / 30VDC
1.5 A AC / 1 A DC 1 A AC / 1 A DC
Ordering data Ordering data
Type Order No. Pcs. /
Pkt. Type Order No. Pcs. /
Pkt.
VAL-MS 350 VF/1+1-FM 2902577 1VAL-MS 350 VF/FM 2856579 1
VAL-MS 350 VF/1+1 2901865 1VAL-MS 350VF 2856582 1
Accessories Accessories
VAL-MS 350 VF ST 2856595 10 VAL-MS 350 VF ST 2856595 10
F-MS 12 ST 2817990 10
43
PHOENIX CONTACT
Surge protection and interference suppression filters
Surge protection for the power supply
L3, PEN 3-conductor system; L, N, PE 2-conductor system; L, N/PEN
H
W
D
H
W
D

12 14
11
FM
N / PEN
L
12 14
11
FM
N
CCA
CCA
Technical data Technical data
Electrical data ... 60AC ... 230AC F-MS 12
IEC test classification II, T2 II, T2 II, T2
Nominal voltage U
N
60 V AC (TN) 240/415 V AC (TN) /
240/415 V AC (TT)
240/415 V AC (TN - only N-PE) /
240/415 V AC (TT - only N-PE)
Maximum continuous operating voltage U
C
L-N / N-PE / L-PEN 75 V AC / - / 75 V AC 275 V AC / - / 275 V AC - / 260 V AC / -
Nominal discharge current I
n
(8/20) µs
L-N / N-PE / L-PEN 15 kA / - / 15 kA 20 kA / - / 20 kA - / 20 kA / -
Max. discharge current I
max.
(8/20) µs
L-N / N-PE / L-PEN 40 kA / - / 40 kA 40 kA / - / 40 kA - / 40 kA / -
Voltage protection level U
p
L-N / N-PE / L-PEN ≤ 0.55 kV / - / ≤0.55 kV ≤ 1.35 kV / - / ≤1.35 kV - / ≤1.5 kV / -
Short-circuit current rating I
SCCR
25 kA -
Max. backup fuse with branch wiring 125 A AC (gG) 125 A AC (gG) -
Response time t
A
L-N / N-PE / L-PEN ≤ 25 ns / - / ≤25 ns ≤ 25 ns / - / ≤25 ns - / ≤100 ns / -
General data
Dimensions W / H / D 17.6 mm / 97 mm / 44 mm 17.6 mm / 97 mm / 58 mm
Connection data solid / stranded /AWG (IEC) /AWG (UL) 1.5 ... 35 mm² / 1.5 ... 25 mm² / 15 - 2 / 10 - 2 1.5 ... 35 mm² / 1.5 ... 25 mm² / 15 - 2 / 10 - 2
Temperature range -40°C ... 80°C -40°C ... 80°C
Inflammability class in acc. with UL 94 V-0 V-0
Test standards IEC 61643-11 / EN 61643-11 IEC 61643-11 / EN 61643-11
Remote indication contact PDT contact PDT contact
Connection data solid / stranded /AWG (IEC) /AWG (UL) 0.14 ... 1.5 mm² / 0.14 ... 1.5 mm² / 28 - 16 / 30 - 14 0.14 ... 1.5 mm² / 0.14 ... 1.5 mm² / 28 - 16 / 30 - 14
Max. operating voltage 250 V AC / 30 V DC 250 V AC / 30 V DC
Max. operating current 1 A AC / 1 A DC 1 A AC / 1 A DC
Ordering data Ordering data
Description Type Order No. Pcs. /
Pkt. Type Order No. Pcs. /
Pkt.
VALVETRAB MS
with remote indication contact VAL-MS 60/FM 2868033 1F-MS 12/FM 2817974 1
without remote indication contact VAL-MS 60 2868020 1F-MS 12 2817987 1
with remote indication contact VAL-MS 230/FM 2839130 1
without remote indication contact VAL-MS 230 2839127 1
Accessories Accessories
Replacement plug
1L-N/PE VAL-MS 60 ST 2807573 10 F-MS 12 ST 2817990 10
1L-N/PE VAL-MS 230 ST 2798844 10
44
PHOENIX CONTACT
– Consistent plug-in design
– Also suitable for industry solutions, e.g.,
in the rail and telecommunications
sectors
– Thermal disconnect device for each
individual plug
– Optical, mechanical status indication for
the individual arresters
– With or without floating remote
indication contact
– Mechanical coding of all slots
– Plugs can be checked with
CHECKMASTER
H
W
D
H
W
D
Surge protection for special
applications
Surge protection and interference suppression filters
Surge protection for the power supply
2-conductor system; L, N/PEN Spark gap, N-PE

For further information and full technical data, visit phoenixcontact.net/products
CCA
Technical data
Electrical data ... 120 ST ... 230 ITST ... 400 ST ... 500 ST
IEC test classification II, T2 II, T2 II, T2 II, T2
Nominal voltage U
N
120/208 V AC
(TN)
240/415 V AC
(TN) /
240/415 V AC
(TT) /
230 V AC (IT)
240/415 V AC
(TN) /
240/415 V AC
(TT) /
230 V AC (IT)
400/690 V AC
(TN) /
500 V AC (IT)
Maximum continuous operating voltage U
C
150 V AC 385 V AC 440 V AC 600 V AC
Nominal discharge current I
n
(8/20) µs 20 kA 20 kA 20 kA 15 kA
Max. discharge current I
max.
(8/20) µs 40 kA 40 kA 40 kA 30 kA
Residual voltage at 5 kA
Protection level U
p
≤ 0.9 kV ≤ 1.8 kV ≤ 2.2 kV ≤ 2.7 kV
Short-circuit current rating I
SCCR
25 kA
Max. backup fuse with branch wiring 125 A AC (gG) 125 A AC (gG) 125 A AC (gG) 125 A AC (gG)
Response time t
A
≤ 25 ns ≤ 25 ns ≤ 25 ns ≤ 25 ns
General data
Dimensions W / H / D 17.5 mm / 52.4 mm / 55.3 mm
Temperature range -40°C ... 80°C
Inflammability class in acc. with UL 94 V-0
Test standards IEC 61643-11 / EN 61643-11
Ordering data
Description Type Order No. Pcs. /
Pkt.
VALVETRAB surge protection plug
VAL-MS 120 ST 2807586 10
VAL-MS 230 IT ST 2807599 10
VAL-MS 400 ST 2816399 10
VAL-MS 500 ST 2807609 10
Accessories
VALVETRAB, base element for individual assembly with VAL-
MS...ST
with remote indication contact 3L-PEN VAL-MS/3+0-BE/FM 2881803 1
without remote indication contact 3L-PEN VAL-MS/3+0-BE 2881816 1
with remote indication contact 2L-PEN
45
PHOENIX CONTACT
Notes:
Please follow the installation instructions. These are provided with
the packaging documentation or can be downloaded from the
corresponding product page online at
phoenixcontact.net/products.
You can find a list of all possible combination options and safety
notes in the download area for the corresponding replacement
plug at phoenixcontact.net/products.
– Thermal disconnect device for each
individual plug
– Optical, mechanical status indication for
all protective plugs
– Plugs can be checked with
CHECKMASTER
Type 2 surge protection plug for
VAL-MS base elements
Surge protection and interference suppression filters
Surge protection for the power supply
Plug, 1-pos., L-N/L-PEN

Technical data Technical data
Electrical data ... 60 ST ... 120 ST ... 240 ST ... 277 ST ... 347 ST ... 480 ST
IEC test classification II, T2 II, T2 II, T2 II, T2 II, T2 II, T2
Nominal voltage U
N
60 V AC 120 V AC 240 V AC 277 V AC 347 V AC 480 V AC
Maximum continuous operating voltage U
C
75 V AC 175 V AC 275 V AC 385 V AC 440 V AC 580 V AC
Nominal discharge current I
n
(8/20) µs 15 kA 20 kA 20 kA 20 kA 20 kA 15 kA
Max. discharge current I
max.
(8/20) µs 40 kA 40 kA 40 kA 40 kA 40 kA 30 kA
Protection level U
p
≤ 0.55 kV ≤ 0.9 kV ≤ 1.35 kV ≤ 1.8 kV ≤ 2.2 kV ≤ 2.5 kV
Short-circuit current rating I
SCCR
25 kA 25 kA
Max. backup fuse with branch wiring 125 A AC (gG) 125 A AC (gG) 125 A AC (gG) 125 A AC (gG) 125 A AC (gG) 125 A AC (gG)
Response time t
A
≤ 25 ns ≤ 25 ns ≤ 25 ns ≤ 25 ns ≤ 25 ns ≤ 25 ns
General data
Dimensions W / H / D 17.5 mm / 52.4 mm / 55.3 mm 17.5 mm / 52.4 mm / 55.3 mm
Temperature range -40°C ... 80°C -40°C ... 80°C
Inflammability class in acc. with UL 94 V-0 V-0
Test standards IEC 61643-11 / EN 61643-11 IEC 61643-11 / EN 61643-11
Ordering data Ordering data
Description Type Order No. Pcs. /
Pkt. Type Order No. Pcs. /
Pkt.
VALVETRAB surge protection plug
VAL-US 60 ST 2800738 10
VAL-US 120 ST 2800739 10
VAL-US 240 ST 2800740 10
VAL-US 277 ST 2800741 10
VAL-US 347 ST 2800742 10
VAL-US 480 ST 2800743 10
Accessories Accessories
VALVETRAB, base element for individual assembly with VAL-
MS...ST
with remote indication contact VAL-MS BE/FM 2817738 10 VAL-MS BE/FM 2817738 10
without remote indication contact VAL-MS BE 2817741 10 VAL-MS BE 2817741 10
with remote indication contact 2L-PEN VAL-MS/2+0-BE/FM 2805321 1VAL-MS/2+0-BE/FM 2805321 1
without remote indication contact 2L-PEN VAL-MS/2+0-BE 2804584 1VAL-MS/2+0-BE 2804584 1
with remote indication contact 3L-PEN VAL-MS/3+0-BE/FM 2881803 1VAL-MS/3+0-BE/FM 2881803 1
without remote indication contact 3L-PEN VAL-MS/3+0-BE 2881816 1VAL-MS/3+0-BE 2881816 1
with remote indication contact 4L-PEN VAL-MS/4+0-BE/FM RN. 2906484 1VAL-MS/4+0-BE/FM RN. 2906484 1
46
PHOENIX CONTACT
– Specifically for use in American
applications
– 1-pos.
– Thermal disconnect device for each
individual plug
– Optical, mechanical status indication for
all protective plugs
– Plugs can be checked with
CHECKMASTER
Notes:
Please follow the installation instructions. These are provided with
the packaging documentation or can be downloaded from the
corresponding product page online at
phoenixcontact.net/products.
You can find a list of all possible combination options and safety
notes in the download area for the corresponding replacement
plug at phoenixcontact.net/products.
Type 2 surge protection plug for VAL-
MS base elements
Surge protection and interference suppression filters
Surge protection for the power supply
Single-pos. Single-pos.

L1 L0
N/PEN
12 14
FM
11
L1 L0
N/PEN
12 14
FM
11
For further information and full technical data, visit phoenixcontact.net/products
Total width 17.7 mm Total width 17.7 mm
Technical data Technical data
Electrical data ... 75 ... 75 ... 350
IEC test classification/EN type I / II / T1 / T2 II / T2 II / T2
Nominal voltage U
N
60 V DC 60 V DC (5 V...48 V AC) 230 V AC
Maximum continuous operating voltage U
C
- / 75VDC 75VAC / 100VDC 350VAC / -
Impulse discharge curr. I
imp
(10/350) μs
Peak value 12.5 kA 3 kA 3 kA
Charge 6.25 As - -
Specific energy 39 kJ/Ω--
Nominal discharge current I
n
(8/20) µs 12.5 kA 10 kA 10 kA
Max. discharge current I
max.
(8/20) µs 50 kA 20 kA 20 kA
Residual voltage without reference direction ≤ 0.6 kV (at 5 kA) ≤ 350 V (at 5 kA) ≤ 1 kV (at 5 kA)
Protection level U
p
without reference direction ≤ 0.7 kV ≤ 1.4 kV ≤ 1.2 kV
Max. backup fuse in acc. with IEC 160 A 63 A (gG) 125 A (gG)
General data
Dimensions W / H / D 17.7 mm / 160 mm / 77.5 mm 17.7 mm / 160 mm / 75 mm
Connection data, Ground solid / stranded / AWG 1.5 ... 35 mm² / 1.5 ... 35 mm² / 15 - 2 1.5 ... 35 mm² / 1.5 ... 35 mm² / 15 - 2
Connection data, Field solid / stranded / AWG 1.5 ... 25 mm² / 1.5 ... 25 mm² / 12 - 4 1.5 ... 25 mm² / 1.5 ... 25 mm² / 12 - 4
Connection data, House solid / stranded / AWG 0.5 ... 15 mm² / 0.5 ... 15 mm² / 20 - 6 0.5 ... 15 mm² / 0.5 ... 15 mm² / 20 - 6
Temperature range -40°C ... 80°C -40°C ... 80°C
Inflammability class in acc. with UL 94 V0 V0
Remote indication contact PDT, 1-pos. PDT, 1-pos.
Connection data solid / stranded / AWG 0.14 ... 1.5 mm² / 0.14 ... 1.5 mm² / 28 - 16 0.14 ... 1.5 mm² / 0.14 ... 1.5 mm² / 28 - 16
Max. operating voltage 250 V AC 250 V AC
Max. operating current 1.5 A AC (250 V AC) / 1.5 A DC (30 V DC) 1.5 A AC (250 V AC) / 1.5 A DC (30 V DC)
Ordering data Ordering data
Description Type Order No. Pcs. /
Pkt. Type Order No. Pcs. /
Pkt.
VAL-MS-AR, high-capacity lightning arrester
without remote indication contact VAL-MS-AR-T1/T2 75 2801491 10
with remote indication contact VAL-MS-AR-T1/T2 75/FM 2801492 10
VAL-MS-AR, hybrid SPD
without remote indication contact VAL-MS-AR 75 VF 2801487 10
with remote indication contact VAL-MS-AR 75 VF/FM 2801488 10
without remote indication contact VAL-MS-AR 350 VF 2801489 10
with remote indication contact VAL-MS-AR 350 VF/FM 2801490 10
Accessories Accessories
Protective plug, for inserting in base element
L-N / L-PEN VAL-MS-T1/T2 75/12.5 ST 2801146 10 VAL-MS 75 VF ST 2805318 10
1L-N/PE VAL-MS 350 VF ST 2856595 10
Base element, for individual assembly with protective plugs
with remote indication contact VAL-MS BE-AR/FM 2801066 10 VAL-MS BE-AR/FM 2801066 10
without remote indication contact VAL-MS BE-AR 2801065 10 VAL-MS BE-AR 2801065 10
Jumper
2-pos. FBS 2-18 2801068 10 FBS 2-18 2801068 10
MPB wiring bridge
57-pos. MPB 18/1-57 2809238 1MPB 18/1-57 2809238 1
47
PHOENIX CONTACT
– For railway signaling and control
– Isolator in the base element for easily
performing insulation measurements
– Easy connection of multiple base
elements thanks to the use of jumpers
– Independent inputs and outputs on one
side of the base element, ground
connection on the opposite side
– Disconnect device on each individual plug
– Optical, mechanical status indication for
the individual arresters
– With or without floating remote
indication contact
H
W
D
H
W
D
VAL-MS-AR surge protection
specifically for railway applications
Surge protection and interference suppression filters
Surge protection for the power supply
Type 1/2 lightning arrester SPD Type 2 hybrid SPD

12 14
11
FM
L
PENPEN
L1 L2 L3
12 14
11
FM
CCA
CCA
Technical data Technical data
Electrical data
IEC test classification II, T2 II, T2
Nominal voltage U
N
400/690 V AC (TN-C) / 690 V AC (IT) 554/960 V AC (TN-C) / 690 V AC (IT)
Maximum continuous operating voltage U
C
L-N / N-PE / L-PEN - / - / 800 V AC - / - / 760 V AC
Nominal discharge current I
n
(8/20) µs
L-N / N-PE / L-PEN - / - / 15 kA - / - / 15 kA
Max. discharge current I
max.
(8/20) µs
L-N / N-PE / L-PEN - / - / 30 kA - / - / 30 kA
Voltage protection level U
p
L-N / N-PE / L-PEN - / - / ≤5 kV - / - / ≤2.9 kV
Short-circuit current rating I
SCCR
25 kA 25 kA
Max. backup fuse with branch wiring 100 A AC (gG) 100 A AC (gG)
Response time t
A
L-N / N-PE / L-PEN - / - / ≤100 ns - / - / ≤25 ns
General data
Dimensions W / H / D 35.6 mm / 99 mm / 58 mm 53.4 mm / 99 mm / 58 mm
Connection data solid / stranded /AWG (IEC) /AWG (UL) 1.5 ... 35 mm² / 1.5 ... 25 mm² / 15 - 2 / - 1.5 ... 35 mm² / 1.5 ... 25 mm² / 15 - 2 / 10 - 2
Temperature range -40°C ... 80°C -40°C ... 80°C
Inflammability class in acc. with UL 94 V-0 V-0
Test standards IEC 61643-11 / EN 61643-11 IEC 61643-11 / EN 61643-11
Remote indication contact PDT contact PDT contact
Connection data solid / stranded /AWG (IEC) /AWG (UL) 0.14 ... 1.5 mm² / 0.14 ... 1.5 mm² / 28 - 16 / - 0.14 ... 1.5 mm² / 0.14 ... 1.5 mm² / 28 - 16 / 30 - 14
Max. operating voltage 250 V AC / 30 V DC 250 V AC / 30 V DC
Max. operating current 1.5 A AC / 1 A DC 1.5 A AC / 1 A DC
Ordering data Ordering data
Description Type Order No. Pcs. /
Pkt. Type Order No. Pcs. /
Pkt.
VALVETRAB MS, for mounting on NS35
with remote indication contact VAL-MS 800/30 VF/FM 2805402 1VAL-MS 750/30/3+0-FM 2920272 1
without remote indication contact VAL-MS 750/30/3+0 2920269 1
Accessories Accessories
Replacement plug
1L-N/PE VAL-MS 750/30-ST 2920256 10 VAL-MS 750/30-ST 2920256 10
F-MS 2200/30 ST 2805392 10
48
PHOENIX CONTACT
– For power supplies with higher supply
voltages
– Other solutions for power supplies U
N
≥ 400 V available on request
– Consistent plug-in design
– Thermal disconnect device for each
individual plug
– Optical, mechanical status indication for
the individual arresters
– With or without floating remote
indication contact
– Mechanical coding of all slots
– Plugs can be checked with
CHECKMASTER
H
W
D
H
W
D
Surge protection for use in wind
power plants
Surge protection and interference suppression filters
Surge protection for the power supply
Free of leakage current, for nominal voltages
up to 690VAC, e.g., rotor protection for wind
power plants
4-conductor system; L1, L2, L3, PEN (554/960
VTN-C system)

12 14
11
FM
NL1 L2 L3
/ PE / PE
PENPEN
L1 L2 L3
12 14
11
FM
For further information and full technical data, visit phoenixcontact.net/products
CCA
CCA
Technical data Technical data
Electrical data .. 385/65 .. 385/80 .. 385/65 .. 385/80
IEC test classification II, T2 II, T2 II, T2 II, T2
Nominal voltage U
N
240/415 V AC (TN-S) /
240/415 V AC (TT)
240/415 V AC (TN-S) /
240/415 V AC (TT)
240/415 V AC (TN-C) 240/415 V AC (TN-C)
Maximum continuous operating voltage U
C
L-N / N-PE / L-PEN 385VAC / 264VAC / - 385VAC / 264VAC / - - / - / 385VAC - / - / 385VAC
Nominal discharge current I
n
(8/20) µs
L-N / N-PE / L-PEN 30 kA / 40 kA / - 40 kA / 40 kA / - - / - / 30 kA - / - / 40 kA
Max. discharge current I
max.
(8/20) µs
L-N / N-PE / L-PEN 65 kA / 80 kA / - 80 kA / 80 kA / - - / - / 65 kA - / - / 80 kA
Voltage protection level U
p
L-N / N-PE / L-PEN ≤ 1.8 kV / ≤1.7 kV / - ≤ 2 kV / ≤1.7 kV / - - / - / ≤1.8 kV - / - / ≤2 kV
Short-circuit current rating I
SCCR
25 kA 25 kA
Response time t
A
L-N / N-PE / L-PEN ≤ 25 ns / ≤100 ns / - ≤ 25 ns / ≤100 ns / - - / - / ≤25 ns - / - / ≤25 ns
General data
Dimensions W / H / D 71.2 mm / 99 mm / 77.5 mm 53.4 mm / 99 mm / 77.5 mm
Connection data solid / stranded /AWG (IEC) /AWG (UL) 1.5 ... 35 mm² / 1.5 ... 25 mm² / - / - 1.5 ... 35 mm² / 1.5 ... 25 mm² / - / -
Temperature range -40°C ... 80°C -40°C ... 80°C
Inflammability class in acc. with UL 94 V-0 V-0
Test standards IEC 61643-11 / EN 61643-11 IEC 61643-11 / EN 61643-11
Remote indication contact PDT contact PDT contact
Connection data solid / stranded /AWG (IEC) /AWG (UL) 0.14 ... 1.5 mm² / 0.14 ... 1.5 mm² / 28 - 16 / - 0.14 ... 1.5 mm² / 0.14 ... 1.5 mm² / 28 - 16 / -
Max. operating voltage 250VAC / 30VDC 250VAC / 30VDC
Max. operating current 1.5 A AC / 1 A DC 1.5 A AC / 1 A DC
Ordering data Ordering data
Description I
max
U
C
Type Order No. Pcs. /
Pkt. Type Order No. Pcs. /
Pkt.
VALVETRAB MS
with remote indication contact 65 kA 385 V AC VAL-MS 385/65/3+1-FM 2920887 1VAL-MS 385/65/3+0-FM 2921006 1
without remote indication contact 65 kA 385 V AC VAL-MS 385/65/3+1 2920890 1VAL-MS 385/65/3+0 2921019 1
VALVETRAB MS
with remote indication contact 80 kA 385VAC VAL-MS 385/80/3+1-FM 2920968 1VAL-MS 385/80/3+0-FM 2921080 1
without remote indication contact 80 kA 385VAC VAL-MS 385/80/3+1 2920971 1VAL-MS 385/80/3+0 2921093 1
Accessories Accessories
Replacement plug
For VAL-MS 385/65... 1L-N/PE VAL-MS 385/65 ST 2920308 10 VAL-MS 385/65 ST 2920308 10
For VAL-MS 385/80... 1L-N/PE VAL-MS 385/80 ST 2920353 10 VAL-MS 385/80 ST 2920353 10
N-PE F-MS 80 ST 2921307 10
49
PHOENIX CONTACT
– Multi-channel type2 arrester
– Type 2 surge arresters with consistent
plug-in design
– Secure hold of plugs in the event of strong
vibrations thanks to new latching
– Disconnect device on each individual plug
– Optical, mechanical status indication for
the individual arresters
– With or without floating remote
indication contact
– Mechanical coding of all slots
– Plugs can be checked with
CHECKMASTER
H
W
D
H
W
D
Type 2 surge arrester
VALVETRAB MS 65/80 kA
performance class
Surge protection and interference suppression filters
Surge protection for the power supply
5-conductor system; L1, L2, L3, N, PE 4-conductor system; L1, L2, L3, PEN

N
L'
L
PE
N
L'
L
Total width 36.5 mm Total width 36.5 mm
Technical data Technical data
Electrical data
IEC test classification/EN type II / III / T2 / T3 II / III / T2 / T3
Nominal voltage U
N
277 V AC 277 V AC
Maximum continuous operating voltage U
C
L-N / N-PE 320 V AC / 264 V AC 320 V AC / -
Nominal discharge current I
n
(8/20) µs
L-N / N-PE 5 kA / 10 kA 5 kA / -
Max. discharge current I
max.
(8/20) µs
L-N / N-PE 10 kA / 20 kA 10 kA / -
Combination wave U
OC
L-N / N-PE 10 kV / 20 kV 10 kV
Voltage protection level U
p
L-N / N-PE ≤ 1.5 kV / ≤1.5 kV ≤ 1.5 kV / -
Response time t
A
L-N / N-PE ≤ 25 ns / ≤100 ns ≤ 25 ns / -
Max. backup fuse in acc. with IEC 16 A AC (gG) 16 A AC (gG)
General data
Dimensions W / H / D 36.5 mm / 56 mm / 34 mm 36.5 mm / 56 mm / 34 mm
Connection data solid / stranded / AWG 2 ... 2.5 mm² / 0.2 ... 4 mm² / - 2 ... 2.5 mm² / 0.2 ... 4 mm² / -
Temperature range -40°C ... 80°C -40°C ... 80°C
Inflammability class in acc. with UL 94 V-0 V-0
Test standards IEC 61643-11 / EN 61643-11 IEC 61643-11 / EN 61643-11
Ordering data Ordering data
Description Type Order No. Pcs. /
Pkt. Type Order No. Pcs. /
Pkt.
BLOCKTRAB, for universal mounting
BLT-T2-1S-320-UT 2906101 1BLT-T2-320-UT 2906100 1
50
PHOENIX CONTACT
– Universal use for street, tunnel or object
lighting
– Flexible installation
– Fixed via integrated elongated holes
– Compact design
– Optical status indicator
– Connection in branch or through wiring
– Double or reinforced insulation
H
W
D
H
W
D
Type 2 surge arrester for LED
applications
Surge protection and interference suppression filters
Surge protection for the power supply
For insulation class I For insulation class II

PE
N
N
T
1
2
3
4
5
6
PE
N
N
T
1
2
3
4
5
6
For further information and full technical data, visit phoenixcontact.net/products
CCA
CCA
Technical data Technical data
Electrical data
IEC test classification II, T2 II, T2
Nominal voltage U
N
240/415 V AC (TN-S) / 240/415 V AC (TT) 240/415 V AC (TN-S) / 240/415 V AC (TT)
Maximum continuous operating voltage U
C
L-N / N-PE / L-PEN 350 V AC / 264 V AC / - 350 V AC / 264 V AC / -
Nominal discharge current I
n
(8/20) µs
L-N / N-PE / L-PEN 20 kA / 20 kA / - 20 kA / 20 kA / -
Max. discharge current I
max.
(8/20) µs
L-N / N-PE / L-PEN 30 kA / 30 kA / - 30 kA / 30 kA / -
Voltage protection level U
p
L-N / N-PE / L-PEN ≤ 2 kV / ≤2 kV / - ≤ 2 kV / ≤2 kV / -
Short-circuit current rating I
SCCR
10 kA 10 kA
Max. backup fuse with branch wiring 63 A AC (MCB) 63 A AC (MCB)
Response time t
A
L-N / N-PE / L-PEN ≤ 25 ns / ≤100 ns / - ≤ 25 ns / ≤100 ns / -
General data
Dimensions W / H / D 121 mm / 90 mm / 76 mm 121 mm / 90 mm / 76 mm
Connection data solid / stranded /AWG (IEC) /AWG (UL) 4 ... 25 mm² / 4 ... 25 mm² / - / - 4 ... 25 mm² / 4 ... 25 mm² / - / -
Temperature range -25°C ... 40°C -25°C ... 40°C
Inflammability class in acc. with UL 94 V-0 V-0
Test standards IEC 61643-11 / EN 61643-11 / EN 61008-1 / IEC 61643-11 / EN 61643-11 / EN 61008-1 /
IEC 60947-1 / IEC 60947-3 IEC 60947-1 / IEC 60947-3
RCD data
Tripping characteristic A (selective) A (si type)
Nominal load current I
L
40 A 40 A
Rated residual current 300 mA 30 mA
Rated making and breaking capacity I
m
1.5 kA 1.5 kA
Rated residual making and breaking capacity I
Δm
2.5 kA 2.5 kA
Surge withstand capability 6 kV (1.2/50 µs) 6 kV (1.2/50 µs)
Immunity to short-circuiting I
nc
10 kA 10 kA
Tripping time for I
Δn
≤ 300 ms ≤ 300 ms
Tripping time for 5xI
Δn
≤ 40 ms ≤ 40 ms
Cycles, max. 20000 20000
Utilization category AC 23 A AC 23 A
Ordering data Ordering data
Description Type Order No. Pcs. /
Pkt. Type Order No. Pcs. /
Pkt.
VALVETRAB compact with RCD
VAL-CP-RCD-3S/40/0.3/SEL 2808001 1
VAL-CP-RCD-3S/40/0.03 2882802 1
Accessories Accessories
Replacement plug
L-N / L-PEN VAL-CP-350-ST-GY 2882718 10 VAL-CP-350-ST-GY 2882718 10
N-PE VAL-CP-N/PE-350-ST-GY 2882734 10 VAL-CP-N/PE-350-ST-GY 2882734 10
51
PHOENIX CONTACT
– For 5-conductor systems; L1, L2, L3, N,
PE
– Combination of type 2 surge arrester and
RCD residual current circuit breaker
– Personal protection and device
protection in a single device
– Type 2 surge arresters with consistent
plug-in design
– Disconnect device on each individual plug
– Optical, mechanical status indication for
all protective plugs
– Residual current circuit breaker is not
triggered by magnetic influences caused
by discharge currents in the type2
arrester
– Plugs can be checked with
CHECKMASTER
H
W
D
H
W
D
Type 2 surge arrester with RCD
Combi-RCD
Surge protection and interference suppression filters
Surge protection for the power supply
With selective RCD residual current circuit
breaker, 300 mA
With selective RCD residual current circuit
breaker, 30 mA

12 14
11
FM
L1 L2 L3
N
PE
12 14
11
FM
L1 L2 L3
PEN
Technical data Technical data
Electrical data
IEC test classification II, T2 II, T2
Nominal voltage U
N
240/415 V AC (TN-S) / 240/415 V AC (TT) 240/415 V AC (TN-C) / 240/415 V AC (TT)
Maximum continuous operating voltage U
C
L-N / N-PE / L-PEN 350 V AC / 264 V AC / - - / - / 350 V AC
Nominal discharge current I
n
(8/20) µs
L-N / N-PE / L-PEN 20 kA / 20 kA / - - / - / 20 kA
Max. discharge current I
max.
(8/20) µs
L-N / N-PE / L-PEN 25 kA / 40 kA / - - / - / 25 kA
Voltage protection level U
p
L-N / N-PE / L-PEN ≤ 2.5 kV / ≤1.5 kV / - - / - / ≤2.5 kV
Short-circuit current rating I
SCCR
25 kA 25 kA
Max. backup fuse with branch wiring Not required Not required
Response time t
A
L-N / N-PE / L-PEN ≤ 25 ns / ≤100 ns / - - / - / ≤25 ns
General data
Dimensions W / H / D 54 mm / 220 mm / 134 mm 54 mm / 220 mm / 134 mm
Connection data solid / stranded /AWG (IEC) /AWG (UL) 2.5 ... 25 mm² / 2.5 ... 16 mm² / - / - 2.5 ... 25 mm² / 2.5 ... 16 mm² / - / -
Temperature range -25°C ... 55°C -25°C ... 55°C
Inflammability class in acc. with UL 94 V-0 V-0
Test standards IEC 61643-11 / EN 61643-11 IEC 61643-11 / EN 61643-11
Remote indication contact PDT contact PDT contact
Connection data solid / stranded /AWG (IEC) /AWG (UL) 0.14 ... 1.5 mm² / 0.14 ... 1.5 mm² / 28 - 16 / - 0.14 ... 1.5 mm² / 0.14 ... 1.5 mm² / 28 - 16 / -
Max. operating voltage 250 V AC / 125 V DC (200 mA DC) 250 V AC / 125 V DC (200 mA DC)
Max. operating current 1 A AC / 1 A DC (30 V DC) 1 A AC / 1 A DC (30 V DC)
Ordering data Ordering data
Description Type Order No. Pcs. /
Pkt. Type Order No. Pcs. /
Pkt.
VALVETRAB compact
VAL-CP-MOSO 60-3S-FM 2804403 1VAL-CP-MOSO 60-3C-FM 2804416 1
Accessories Accessories
Replacement plug
L-N / L-PEN VAL-CP-350-ST-GY 2882718 10 VAL-CP-350-ST-GY 2882718 10
N-PE VAL-CP-N/PE-350-ST-GY 2882734 10
52
PHOENIX CONTACT
– Combinations of type2 arresters with
integrated arrester backup fuse
– For 60mm system technology
– Tool-free mounting on 5 and 10mm
busbars
– Signaling to monitoring systems via
remote indication contact in the event of
an error
– Surge-proof arrester backup fuse tailored
to type2 arresters
– Type 2 surge arresters with consistent
plug-in design
– Disconnect device on each individual plug
– Optical, mechanical status indication for
the individual arresters
– Plugs can be checked with
CHECKMASTER
H
W
D
H
W
D
Type 2 surge arrester for 60 mm
system technology
Combi-MCB
Surge protection and interference suppression filters
Surge protection for the power supply

IN
L1 L2 L3N
PE
14 12
11
FM
IN
L1 L2 L3
PE
14 12
11
FM
For further information and full technical data, visit phoenixcontact.net/products
CCA
CCA
Technical data Technical data
Electrical data ... 3S-350 ... 1S-350 ... 3C-350
IEC test classification II, T2 II, T2 II, T2
Nominal voltage U
N
240/415 V AC (TN-S) /
240/415 V AC (TT)
240 V AC (TN-S) /
240 V AC (TT)
240/415 V AC (TN-C)
Maximum continuous operating voltage U
C
L-N / N-PE / L-PEN 350 V AC / 264 V AC / - 350 V AC / 264 V AC / - - / - / 350 V AC
Nominal discharge current I
n
(8/20) µs
L-N / N-PE / L-PEN 20 kA / 20 kA / - 20 kA / 20 kA / - - / - / 20 kA
Max. discharge current I
max.
(8/20) µs
L-N / N-PE / L-PEN 30 kA / 30 kA / - 30 kA / 30 kA / - - / - / 30 kA
Voltage protection level U
p
L-N / N-PE / L-PEN ≤ 2.5 kV / ≤1.7 kV / - ≤ 2.5 kV / ≤1.7 kV / - - / - / ≤2.5 kV
Short-circuit current rating I
SCCR
25 kA 25 kA
Max. backup fuse with branch wiring - - -
Response time t
A
L-N / N-PE / L-PEN ≤ 25 ns / ≤100 ns / - ≤ 25 ns / ≤100 ns / - - / - / ≤25 ns
General data
Dimensions W / H / D 131.5 mm / 101 mm / 76 mm 114 mm / 101 mm / 76 mm
Connection data solid / stranded /AWG (IEC) /AWG (UL) 4 ... 35 mm² / 4 ... 25 mm² / - / - 4 ... 35 mm² / 4 ... 25 mm² / - / -
Temperature range -25°C ... 60°C -25°C ... 60°C
Inflammability class in acc. with UL 94 V-0 V-0
Test standards IEC 61643-11 / EN 61643-11 / IEC 60364-4-443 / IEC 61643-11 / EN 61643-11 / IEC 60364-4-443 /
Remote indication contact PDT contact PDT contact
Connection data solid / stranded /AWG (IEC) /AWG (UL) 0.14 ... 1.5 mm² / 0.14 ... 1.5 mm² / 28 - 16 / - 0.14 ... 1.5 mm² / 0.14 ... 1.5 mm² / 28 - 16 / -
Max. operating voltage 250 V AC / 250 V DC 250 V AC / 250 V DC
Max. operating current 2 A AC / 1 mA DC ... 0.05 A DC 2 A AC / 1 mA DC ... 0.05 A DC
Ordering data Ordering data
Description Type Order No. Pcs. /
Pkt. Type Order No. Pcs. /
Pkt.
VALVETRAB compact, with an arrester backup fuse
VAL-CP-MCB-3S-350/40/FM 2882750 1VAL-CP-MCB-3C-350/40/FM 2882776 1
VALVETRAB compact, with an arrester backup fuse
VAL-CP-MCB-1S-350/40/FM 2882763 1
Accessories Accessories
Replacement plug
L-N / L-PEN VAL-CP-350-ST-GY 2882718 10 VAL-CP-350-ST-GY 2882718 10
N-PE VAL-CP-N/PE-350-ST-GY 2882734 10
53
PHOENIX CONTACT
– Combinations of type2 arresters with
integrated arrester backup fuse
– Overload of the surge protection results
in all-pos. disconnection from the mains
– Signaling to monitoring systems via
remote indication contact in the event of
an error
– Surge-proof arrester backup fuse tailored
to type2 arresters
– Type 2 surge arresters with consistent
plug-in design
– Disconnect device on each individual plug
– Optical, mechanical status indication for
the individual arresters
– Plugs can be checked with
CHECKMASTER
H
W
D
H
W
D
Type 2 surge arrester with integrated
backup fuse
Combi-MCB
Surge protection and interference suppression filters
Surge protection for the power supply
5-conductor system; L1, L2, L3, N, PE 4-conductor system; L1, L2, L3, PEN

IN
OUT
12
34
5 6
12
11
+
-
~~
(+)
(-)
Technical data
Electrical data ... 48AC
IEC test classification III / T3
Nominal voltage U
N
48VDC
Maximum continuous operating voltage U
C
L-N / L-PE - / 60 V DC
Rated load current I
L
26 A (30°C)
Combined surge U
OC
6 kV (for 12 Ω)
Nominal discharge current I
n
(8/20) µs 500 A
Protection level U
p
L-N / L(N)-PE ≤ 120 V / ≤120 V
Max. backup fuse in acc. with IEC 25 A (gL)
Response time t
A
L-N / L(N)-PE ≤ 1 ns / ≤1 ns
General data
Dimensions W / H / D 17.7 mm / 90 mm / 65.5 mm 17.7 mm / 90 mm / 65.5 mm 22.5 mm / 43 mm / 27.4 mm 22.5 mm / 43 mm / 26.2 mm
Connection data solid / stranded / AWG 0.2 ... 4 mm² / 0.2 ... 2.5 mm² / - 2.5 ... 4 mm² / 2.5 ... 4 mm² / 24 - 12 0.2 ... 2.5 mm²
Temperature range -40°C ... 85°C
Inflammability class in acc. with UL 94 V0
Test standards IEC 61643-1 / EN 61643-11/A11 / BS 6651 / IEC 61643-11 / EN 61643-11 IEC 61643-11 / EN 61643-11 IEC 61643-11 / EN 61
ANSI/IEEE C62.41 / EN 50082-2 - - -
Ordering data
Description Voltage U
N
Type Order No. Pcs. /
Pkt.
MAINS-PLUGTRAB, consisting of a plug and base element
48VDC PT 2+1-S-48DC/FM 2817958 10
230 V AC
BLOCKTRAB, for universal mounting
230VAC
Accessories
Replacement plug
1L-N & N-PE PT 2+1-S-48DC-ST 2839648 10
1L-N & N-PE
Grounding connector, for MAINS-PLUGTRAB
base elements
PT MAIN-EST 2880736 10
54
PHOENIX CONTACT
Type 3 device protection
PLUGTRAB and BLOCKTRAB
MAINS-PLUGTRAB
– DIN rail module
– Consisting of base element and plug
– With floating remote indication contact
– Optical signaling of disconnection via LED
– Tool-free plug replacement
– Plugs can be checked with
CHECKMASTER
BT-1S-230AC/... serves as device
protection in deep installation boxes (in acc.
with DIN 49073), cable ducts, underfloor
systems, and end devices.
– With double spring-cage terminal blocks
for tool-free conductor connection
– Side latches for easy fixing
– Optical/audible signaling of disconnection
Surge protection and interference suppression filters
Surge protection for the power supply
H
W
D
Notes:
For approvals and dimensional drawing, visit
phoenixcontact.net/products
3-conductor system, for single-phase DC
power supply units

IN
OUT
56
34
12
11
12
PE
PE
J
PE
!
J
J
230 V
PE
!
230 V
For further information and full technical data, visit phoenixcontact.net/products
Technical data Technical data Technical data
... 230AC ... 230AC ... 230AC
III / T3 III / T3 III / T3
230VAC 230VAC - 230VAC -
275VAC / 440VAC 275VAC / 440VAC 275VAC / 440VAC
16 A (60°C) 16 A (30°C) 16 A (30°C)
6 kV 6 kV 6 kV
3 kA 3 kA 3 kA
≤ 1.2 kV / ≤1.5 kV ≤ 1.3 kV / ≤1.5 kV ≤ 1.3 kV / ≤1.5 kV
16 A AC (MCB-B) 16 A AC (MCB-B) 16 A AC (MCB-B)
≤ 25 ns / ≤100 ns ≤ 25 ns / ≤100 ns ≤ 25 ns / ≤100 ns
Dimensions W / H / D 17.7 mm / 90 mm / 65.5 mm 17.7 mm / 90 mm / 65.5 mm 22.5 mm / 43 mm / 27.4 mm 22.5 mm / 43 mm / 26.2 mm
Connection data solid / stranded / AWG 0.2 ... 4 mm² / 0.2 ... 2.5 mm² / - 2.5 ... 4 mm² / 2.5 ... 4 mm² / 24 - 12 0.2 ... 2.5 mm² / 0.2 ... 2.5 mm² / 24 - 14 0.2 ... 2.5 mm² / 0.2 ... 2.5 mm² / 24 - 14
-40°C ... 70°C -30°C ... 75°C -30°C ... 75°C
V-0 V-0 V-0
Test standards IEC 61643-1 / EN 61643-11/A11 / BS 6651 / IEC 61643-11 / EN 61643-11 IEC 61643-11 / EN 61643-11 IEC 61643-11 / EN 61643-11
ANSI/IEEE C62.41 / EN 50082-2 - - -
Ordering data Ordering data Ordering data
Type Order No. Pcs. /
Pkt. Type Order No. Pcs. /
Pkt. Type Order No. Pcs. /
Pkt.
PLT-T3-IT-230-FM 2906450 1
BT-1S-230AC/O 2800625 1BT-1S-230AC/A 2803409 10
Accessories Accessories Accessories
PLT-T3-IT-230-P 2906451 1
PT MAIN-EST 2880736 10
55
PHOENIX CONTACT
Surge protection and interference suppression filters
Surge protection for the power supply
H
W
D
3-conductor system, L, L, PE (IT system) For universal mounting, optical signaling For universal mounting, audible signaling

N
PE
L
N
PE
L
5
5
4
4
6
6
3
3
Technical data Technical data
Electrical data Mains protection Data protection
IEC test classification/EN type III / T3 III / T3 C2 III / T3 C1 III / T3 C1 III / T3 C2
Nominal voltage U
N
230 V AC 230 V AC
Maximum continuous operating voltage U
C
L-N / L-PE 275 V AC / 360 V AC 275 V AC / 360 V AC
Core-Core / Core-Ground / Core-Shield - / - / - - 6 V DC / - / - - 200 V DC / - / - - 200 V DC / - / - - - / - / -
Nominal load current I
L
-1.5 A (25°C)
Nominal discharge current I
n
(8/20) µs
L-N / L-PE 3 kA / 3 kA 3 kA / 3 kA - 3 kA / 3 kA - 3 kA / 3 kA - 3 kA / 3 kA -
Core-Core / Core-Ground / Core-Shield - / - / - - 650 A / 2.5 kA / - - 1 kA / 2.5 kA / - - 3 kA / 3 kA / - - - / 2.5 kA / 2.5 kA
Combined surge U
OC
4 kV 4 kV - 4 kV - 4 kV - 4 kV -
Protection level U
p
L-N / N-PE / L-PE ≤ 1.2 kV / ≤1.5 kV / ≤1.5 kV ≤ 1.2 kV / ≤1.5 kV / ≤1.5 kV -
Core-Core / Core-Ground / Core-Shield - / - / - - ≤ 65 V (C1 - 1 kV/500 A) /
≤ 900 V (C2 - 4 kV/2 kA) / -
Response time t
A
L-N / L-PE ≤ 25 ns / ≤100 ns ≤ 25 ns / ≤100 ns -
Core-Ground / Core-Shield / Shield-Ground - / - / - - ≤ 1 ns / ≤100 ns / - -
Cut-off frequency fg (3 dB)
In a 100 Ω system Core-Core - - typ. 300 kHz - typ. 4 MHz - typ. 4 MHz - -
In a 75 Ω system Core-Shield - - - - - - - - > 2.5 GHz
General data
Dimensions W / H / D 56 mm / 76 mm / 78 mm 63 mm / 103 mm / 78 mm 63 mm / 103 mm / 78 mm 63 mm / 103 mm / 78 mm 63 mm / 107 mm / 78
Temperature range -25°C ... 75°C -25°C ... 75°C
Inflammability class in acc. with UL 94 V-0 V-0
Test standards IEC 61643-11 / EN 61643-11 IEC 61643-11 / EN 61643-11 / EN 61643-21/A2 / IEC 61643-11 / EN 61643-11 / EN 61643-21/A
Ordering data Ordering data
Description can be used in
the following: Type Order No. Pcs. /
Pkt. Type Order No. Pcs. /
Pkt.
MAINTRAB, attachment plug with signal lamp for plugging into a
socket, for device protection
black D, A, NL, E, S, FIN, TR MNT-1 D 2882200 1MNT-ISDN D 2882336 1
white D, A, NL, E, S, FIN, TR MNT-1 D/WH 2882213 1MNT-ISDN D/WH 2882349 1
black D
white D
black NL, E, I, S, FIN, TR
white NL, E, I, S, FIN, TR
black B, F, CZ, SVK, PL MNT-NET B/F 2882226 1
black CH MNT-1 CH II 2882255 1
56
PHOENIX CONTACT
– Attachment plug
– For individual end devices
– With increased touch-proof protection
– Optical signaling of the surge voltage
function via LED
– For protecting the power supply and
signal lines
– Including required accessories
Type 3 device protection
MAINTRAB
Surge protection and interference suppression filters
Surge protection for the power supply
Attachment plug For network and ISDN/DSS1
systems/end devices, with RJ45 connection

N
PE
L
3/5
2
2/4
1
5243 PENL
N
PE
L
For further information and full technical data, visit phoenixcontact.net/products
Technical data Technical data Technical data
Mains protection Data protection Mains protection Data protection Mains protection Data protection
IEC test classification/EN type III / T3 III / T3 C2 III / T3 C1 III / T3 C1 III / T3 C2
230 V AC 230 V AC 230 V AC
275VAC / 360VAC 275VAC / 360VAC 275VAC / 360VAC
Core-Core / Core-Ground / Core-Shield - / - / - - 6 V DC / - / - - 200 V DC / - / - - 200 V DC / - / - - - / - / -
1.5 A (25°C) 1.5 A (25°C) 1.5 A (25°C)
L-N / L-PE 3 kA / 3 kA 3 kA / 3 kA - 3 kA / 3 kA - 3 kA / 3 kA - 3 kA / 3 kA -
Core-Core / Core-Ground / Core-Shield - / - / - - 650 A / 2.5 kA / - - 1 kA / 2.5 kA / - - 3 kA / 3 kA / - - - / 2.5 kA / 2.5 kA
4 kV 4 kV - 4 kV - 4 kV - 4 kV -
≤ 1.2 kV / ≤1.5 kV / ≤1.5 kV - ≤ 1.2 kV / ≤1.5 kV / ≤1.5 kV - ≤ 1.2 kV / ≤1.5 kV / ≤1.5 kV -
-≤ 460 V (C2 - 1 kA) /
≤ 900 V (C2 - 2 kA) / -
-≤ 460 V (C2 - 1 kA) /
≤ 900 V (C2 - 2 kA) / -
- - / - /
≤ 700 V (C2 - 2 kA)
≤ 25 ns / ≤100 ns - ≤ 25 ns / ≤100 ns - ≤ 25 ns / ≤100 ns -
100 ns / - - ≤ 25 ns / ≤100 ns / - - ≤ 25 ns / ≤100 ns / - - - / - / ≤100 ns
system Core-Core - - typ. 300 kHz - typ. 4 MHz - typ. 4 MHz - -
system Core-Shield - - - - - - - - > 2.5 GHz
Dimensions W / H / D 56 mm / 76 mm / 78 mm 63 mm / 103 mm / 78 mm 63 mm / 103 mm / 78 mm 63 mm / 103 mm / 78 mm 63 mm / 107 mm / 78 mm
-25°C ... 75°C -25°C ... 75°C -25°C ... 75°C
V-0 V-0 V-0
Test standards IEC 61643-11 / EN 61643-11 IEC 61643-11 / EN 61643-11 / EN 61643-21/A2 / IEC 61643-11 / EN 61643-11 / EN 61643-21/A2 / IEC 61643-11 / EN 61643-11 / EN 61643-21/A2 / IEC 61643-11 / EN 61643-11 / EN 61643-21/A2 /
Ordering data Ordering data Ordering data
Type Order No. Pcs. /
Pkt. Type Order No. Pcs. /
Pkt. Type Order No. Pcs. /
Pkt.
MNT-TV-SAT D 2882284 1
MNT-TV-SAT D/WH 2882297 1
MNT-TAE D 2882381 1
MNT-TAE D/WH 2882394 1
MNT-TELE E 2882417 1
MNT-TELE S/WH 2880901 1
MNT-TEL B/F 2882404 1MNT-TV-SAT B/F 2882307 1
57
PHOENIX CONTACT
Surge protection and interference suppression filters
Surge protection for the power supply
For telecommunications systems with TAE
connection
For telecommunications systems with RJ12
connection
For network and TV antennas/cables and SAT
systems, with F connector and IEC adapter

12 14
11
FM
L–L+
12 14
11
FM
L–L+
Total width 53.4 mm Total width 53.4 mm
Technical data Technical data
Electrical data ... 1000 DC ... 600 DC ... 1000 DC ... 600 DC
IEC test classification PV T1, - PV T1, - PV T2, - PV T2, - PV T2, T2 PV T1, - PV T1, -
Impulse discharge current I
imp
(10/350) µs
Peak value I
imp
5 kA 5 kA - - - 5 kA 5 kA
Nominal discharge current I
n
(8/20) µs 15 kA 15 kA 15 kA 15 kA - 15 kA 15 kA
Max. discharge current I
max.
(8/20) µs 40 kA 40 kA 40 kA 40 kA - 40 kA 40 kA
Protection level U
p
(L+) - (L-) / (L+/L-) - PE ≤ 3.5 kV / - ≤ 2.6 kV / - ≤ 3.7 kV / - ≤ 2.7 kV / - - / -
Open circuit voltage U
OCSTC
≤ 875 V DC ≤ 600 V DC ≤ 970 V DC ≤ 670 V DC - 830 V DC (solar generator) 830 V DC (solar generator)
Maximum continuous operating voltage U
CPV
1050 V DC 720 V DC 1170 V DC 800 V DC 1170 V DC - -
Short-circuit current rating I
SCPV
1000 A 1000 A 1000 A 1000 A 1000 A - -
Non-load voltage U
OC
(max. permissible) - - - - -
Short-circuit current I
SCSTC
(max. permissible) - - - - -
General data
Dimensions W / H / D 53.4 mm / 99 mm / 65.5 mm 53.4 mm / 99 mm / 65.5 mm 71.2 mm / 90 mm / 51.5 mm 254 mm / 180 mm / 123 mm 250 mm /
Connection data solid / stranded / AWG 1.5 ... 35 mm² / 1.5 ... 25 mm² / 10 - 2 1.5 ... 35 mm² / 1.5 ... 25 mm² / 10 - 2 1.5 ... 3
Temperature range -40°C ... 80°C -40°C ... 80°C -40°C ... 80°C -25°C ... 40°C -20°C ... 45°C
Degree of protection in acc. with IEC 60529/EN 60529 - - - IP65 IP65
Housing material PA 6.6-FR PA 6.6-FR PBT Polystyrene Polycarbonate, fiberglass reinforced
Inflammability class in acc. with UL 94 V-0 V-0 V-0 HB V2 (housing)
Test standards EN 50539-11 EN 50539-11 EN 50539-11 IEC 61439-2 / EN 61439-2 / EN 50539-11 IEC 61439-2 / EN 61439-2 / EN 50539-11
Remote indication contact PDT contact PDT contact
Connection data solid / stranded / AWG 0.14 ... 1.5 mm² / 0.14 ... 1.5 mm² / 30 - 14 0.14 ... 1.5 mm² / 0.14 ... 1.5 mm² / 30 - 14 - / - / - 0.14 ... 1.5 mm² / 0.14 ... 1.5 mm² / 30 - 14 0.14 ... 1.5 mm² / 0.14 ... 1.5 mm² / 30 - 14
Max. operating voltage 250VAC / 30VDC 250VAC / 30VDC - 250VAC / 30VDC 250VAC / 30VDC
Max. operating current 1.5 A AC (250 V AC) / 1.5 A DC (30 V DC) 1.5 A AC (250 V AC) / 1.5 A DC (30 V DC) - 1.5 A AC (250 V AC) / 1.5 A DC (30
Ordering data Ordering data
Description Type Order No. Pcs. /
Pkt. Type Order No. Pcs. /
Pkt.
VALVETRAB-MS
with remote indication contact
(L+)-PE & (L-)-PE & (L+)-(L-) VAL-MS-T1/T2 1000DC-PV/2+V-FM 2801161 1VAL-MS 1000DC-PV/2+V-FM 2800627 1
without remote indication contact
(L+)-PE & (L-)-PE & (L+)-(L-) VAL-MS-T1/T2 1000DC-PV/2+V 2801160 1VAL-MS 1000DC-PV/2+V 2800628 1
with remote indication contact
(L+)-PE & (L-)-PE & (L+)-(L-) VAL-MS-T1/T2 600DC-PV/2+V-FM 2801164 1VAL-MS 600DC-PV/2+V-FM 2800641 1
without remote indication contact
(L+)-PE & (L-)-PE & (L+)-(L-) VAL-MS-T1/T2 600DC-PV/2+V 2801163 1VAL-MS 600DC-PV/2+V 2800642 1
Base element for surge arrester, without remote indication
contact
Lightning and surge arrester in IP65 housing, for protecting the
DC side of an inverter
(L+)-PE & (L-)-PE & (L+)-(L-)
Accessories Accessories
Replacement plug
1000 V DC VAL-MS-T1/T2 1000DC-PV-ST 2801162 1VAL-MS 1000DC-PV-ST 2800624 1
600 V DC VAL-MS-T1/T2 600DC-PV-ST 2801165 1VAL-MS 600DC-PV-ST 2800623 1
58
PHOENIX CONTACT
– Type 1 and type 2 arresters with
consistent plug-in design
– Reliable contact, thanks to integrated
rotating latch
– Optical, mechanical status indication for
the individual arresters
– With or without floating remote
indication contact
– Mechanical coding of all slots
Lightning and surge arresters for PV
systems
Surge protection and interference suppression filters
Surge protection for the power supply
Type 1/2 arrester for insulated and single-
sided grounded PV applications
Type 2 arrester for insulated and single-sided
grounded PV applications
H
W
D
H
W
D

L1+ L2+ L-
IN
OUT
L+L+
L– L–
IN
OUT
L+L+
L– L–
U<
M
For further information and full technical data, visit phoenixcontact.net/products
Total width 71.2 mm Total width 254 mm Total width 250 mm
Technical data Technical data Technical data
IEC test classification PV T1, - PV T1, - PV T2, - PV T2, - PV T2, T2 PV T1, - PV T1, -
5 kA 5 kA - - - 5 kA 5 kA
(8/20) µs 15 kA 15 kA 15 kA 15 kA - 15 kA 15 kA
(8/20) µs 40 kA 40 kA 40 kA 40 kA - 40 kA 40 kA
2.7 kV / - - / - ≤ 3.5 kV / ≤3.5 kV ≤ 3.5 kV / ≤3.5 kV
670 V DC - 830 V DC (solar generator) 830 V DC (solar generator)
1050 V DC 720 V DC 1170 V DC 800 V DC 1170 V DC - -
1000 A 1000 A 1000 A 1000 A 1000 A - -
(max. permissible) - - - - - ≤ 1000 V DC (solar generator) ≤ 1000 V DC (solar generator)
(max. permissible) - - - - - ≤ 10 A DC (per string) ≤ 30 A DC (total)
Dimensions W / H / D 53.4 mm / 99 mm / 65.5 mm 53.4 mm / 99 mm / 65.5 mm 71.2 mm / 90 mm / 51.5 mm 254 mm / 180 mm / 123 mm 250 mm / 370 mm / 122 mm
Connection data solid / stranded / AWG 1.5 ... 35 mm² / 1.5 ... 25 mm² / 10 - 2 1.5 ... 35 mm² / 1.5 ... 25 mm² / 10 - 2 1.5 ... 35 mm² / 1.5 ... 25 mm² / 10 - 2 - / - / - - / - / -
-40°C ... 80°C -40°C ... 80°C -40°C ... 80°C -25°C ... 40°C -20°C ... 45°C
Degree of protection in acc. with IEC 60529/EN 60529 - - - IP65 IP65
PA 6.6-FR PA 6.6-FR PBT Polystyrene Polycarbonate, fiberglass reinforced
Inflammability class in acc. with UL 94 V-0 V-0 V-0 HB V2 (housing)
EN 50539-11 EN 50539-11 EN 50539-11 IEC 61439-2 / EN 61439-2 / EN 50539-11 IEC 61439-2 / EN 61439-2 / EN 50539-11
-PDT, 1-pos. PDT, 1-pos.
4 - / - / - 0.14 ... 1.5 mm² / 0.14 ... 1.5 mm² / 30 - 14 0.14 ... 1.5 mm² / 0.14 ... 1.5 mm² / 30 - 14
Max. operating voltage 250VAC / 30VDC 250VAC / 30VDC - 250VAC / 30VDC 250VAC / 30VDC
Max. operating current 1.5 A AC (250 V AC) / 1.5 A DC (30 V DC) 1.5 A AC (250 V AC) / 1.5 A DC (30 V DC) - 1.5 A AC (250 V AC) / 1.5 A DC (30 V DC) 1.5 A AC (250 V AC) / 1.5 A DC (30 V DC)
Ordering data Ordering data Ordering data
Type Order No. Pcs. /
Pkt. Type Order No. Pcs. /
Pkt. Type Order No. Pcs. /
Pkt.
VAL-MS 3+V-BE 2905859 32
PV-SET 4ST/1000DC/SPD-SC 2801297 1PV-SET 3ST-SPD-FESD-SC 2901860 1
Accessories Accessories Accessories
VAL-MS 1000DC-PV-ST 2800624 1VAL-MS-T1/T2 1000DCPV-UD-ST 2801231 10 VAL-MS-T1/T2 1000DC-PV-ST 2801162 1
59
PHOENIX CONTACT
Surge protection and interference suppression filters
Surge protection for the power supply
4-pos. base element for insulated and
single-sided grounded DC voltage systems
up to 1000VDC
Collects four solar strings on one MPP tracker,
with SUNCLIX
Collects three solar strings on one MPP
tracker, with SUNCLIX, with fire service switch
H
W
D

IN
OUT
L+L+
L–L–
L+
L+
L-
L-
L+
L+
L-
L-
OUTOUT
IN IN
Total width 125 mm Total width 200 mm
Technical data Technical data
Electrical data
IEC test classification PV T1, - PV T1, -
Impulse discharge current I
imp
(10/350) µs
Peak value I
imp
5 kA 5 kA
Nominal discharge current I
n
(8/20) µs 15 kA 15 kA
Max. discharge current I
max.
(8/20) µs 40 kA 40 kA
Protection level U
p
(L+) - (L-) / (L+/L-) - PE ≤ 3.5 kV / ≤3.5 kV ≤ 3.5 kV / ≤3.5 kV
Non-load voltage U
OC
(max. permissible) ≤ 1000 V DC (solar generator) ≤ 1000 V DC (solar generator)
Short-circuit current I
SCSTC
(max. permissible) ≤ 32 A DC ≤ 32 A DC (per MPP)
General data
Dimensions W / H / D 125 mm / 200 mm / 122 mm 200 mm / 200 mm / 122 mm 300 mm / 300 mm / 142 mm 200 mm / 200 mm / 122 mm 377 mm / 20
Temperature range -30°C ... 55°C -30°C ... 55°C
Degree of protection in acc. with IEC 60529/EN 60529 IP65 IP65
Housing material Polycarbonate, fiberglass reinforced Polycarbonate, fiberglass reinforced Polycarbonate, fiberglass reinforced Pol
Inflammability class in acc. with UL 94 V2 (housing/cover) V2 (housing/cover)
Test standards IEC 61439-2 / EN 61439-2 / EN 50539-11 IEC 61439-2 / EN 61439-2 / EN 50539-11 IEC 61439-2 / EN 61439-2 / EN 50539-1
Remote indication contact PDT, 1-pos. PDT, 1-pos.
Connection data solid / stranded / AWG 0.14 ... 1.5 mm² / 0.14 ... 1.5 mm² / 30 - 14 0.14 ... 1.5 mm² / 0.14 ... 1.5 mm² / 30 - 14 0.14 ... 1.5 mm² / 0.14 ... 1.5 mm² / 30 - 14 0.14 ... 1.5 mm² / 0.14 ... 1.5 mm² / 30 - 14 0.14 ... 1.5 mm² / 0.14 ... 1.5 mm²
Max. operating voltage 250 V AC / 30 V DC 250 V AC / 30 V DC
Max. operating current 1.5 A AC (250 V AC) /
1.5 A DC (30 V DC)
1.5 A AC (250 V AC) /
1.5 A DC (30 V DC)
Ordering data Ordering data
Description Type Order No. Pcs. /
Pkt. Type Order No. Pcs. /
Pkt.
Surge protection in IP65 housing, for photovoltaic systems up to
1000 V DC
(L+)-PE & (L-)-PE & (L+)-(L-) PV-SET 1ST/1000DC/1MPP-SPD-SC 2801529 1PV-SET 2ST/1000DC/2MPP-SPD-SC 2801317 1
Accessories Accessories
Replacement plug
VAL-MS-T1/T2 1000DC-PV-ST 2801162 1VAL-MS-T1/T2 1000DC-PV-ST 2801162 1
L-N / L-PEN
N-PE
60
PHOENIX CONTACT
– For insulated or grounded PV applications
up to 1000 V DC
– Pre-assembled protection solutions
– Suitable for DC applications such as PV
systems
– Type 1/2 lightning and surge arresters
with consistent plug-in design
– Optical, mechanical status indication for
the individual arresters
– Mechanical coding of all slots
– Plugs can be checked with
CHECKMASTER
Surge protection for photovoltaic
systems
Surge protection and interference suppression filters
Surge protection for the power supply
For one solar string Collects two solar strings on two MPP
trackers, with SUNCLIX

L+ L+L- L+ L- L-
OUTOUT
IN IN IN
OUT
L+ L- L+ L+L- L-
IN
OUT
L+L+
L–L–
DC
L+
L+
L-
L-
OUT
IN
L+
L+
L-
L-
OUT
IN
For further information and full technical data, visit phoenixcontact.net/products
Total width 300 mm Total width 200 mm Total width 377 mm
Technical data Technical data Technical data
PV T1, - PV T1, - PV T1, -
5 kA 5 kA -
15 kA 15 kA 15 kA (DC)
40 kA 40 kA 40 kA (DC)
≤ 3.5 kV / ≤3.5 kV ≤ 3.5 kV / ≤3.5 kV ≤ 3.5 kV / ≤3.5 kV
≤ 1000 V DC (solar generator) 1000 V DC (solar generator) ≤ 1000 V DC (solar generator)
≤ 32 A DC (per MPP) ≤ 32 A DC 4x 10.6 A (DC side)
Dimensions W / H / D 125 mm / 200 mm / 122 mm 200 mm / 200 mm / 122 mm 300 mm / 300 mm / 142 mm 200 mm / 200 mm / 122 mm 377 mm / 200 mm / 122 mm
-30°C ... 55°C -20°C ... 40°C -20°C ... 60°C
IP65 IP65 IP65
Housing material Polycarbonate, fiberglass reinforced Polycarbonate, fiberglass reinforced Polycarbonate, fiberglass reinforced Polycarbonate, fiberglass reinforced Polycarbonate, fiberglass reinforced
V2 (housing/cover) V2 (housing/cover) V2 (housing/cover)
Test standards IEC 61439-2 / EN 61439-2 / EN 50539-11 IEC 61439-2 / EN 61439-2 / EN 50539-11 IEC 61439-2 / EN 61439-2 / EN 50539-11 IEC 61439-2 / EN 61439-2 / EN 50539-11 IEC 61439-2 / EN 61439-2 / EN 50539-11 /
PDT, 1-pos. PDT, 1-pos. PDT, 1-pos.
4 0.14 ... 1.5 mm² / 0.14 ... 1.5 mm² / 30 - 14 0.14 ... 1.5 mm² / 0.14 ... 1.5 mm² / 30 - 14 0.14 ... 1.5 mm² / 0.14 ... 1.5 mm² / 28 - 16
250VAC / 30VDC 250VAC / 30VDC 250VAC / 125VDC
1.5 A AC (250 V AC) /
1.5 A DC (30 V DC)
1.5 A AC (250 V AC) /
1.5 A DC (30 V DC)
1 A AC (inductive) 1 A AC (ohmic) /
200 mA DC (ohmic)
Ordering data Ordering data Ordering data
Type Order No. Pcs. /
Pkt. Type Order No. Pcs. /
Pkt. Type Order No. Pcs. /
Pkt.
PV-SET 3ST/1000DC/3MPP-SPD-SC 2801531 1PV-SET 2ST/1000DC-SPD-SD-SC 2801318 1PV-SET 1000DC-SC/AC-3P-QPD 2801604 1
Accessories Accessories Accessories
VAL-MS-T1/T2 1000DC-PV-ST 2801162 1VAL-MS-T1/T2 1000DC-PV-ST 2801162 1VAL-MS-T1/T2 1000DCPV-UD-ST 2801231 10
VAL-CP-350-ST 2859602 10
VAL-CP-N/PE-350-ST 2859699 10
61
PHOENIX CONTACT
Surge protection and interference suppression filters
Surge protection for the power supply
Collects three solar strings on three MPP
trackers, with SUNCLIX
Collects two solar strings on one MPP tracker,
with generator disconnect
Collects four solar strings on two MPP
trackers, protection for 3-phase AC supply

L1
F1
L2
L3
PEN
L1
L2
L3
PEN
FLASHTRAB
FLT-SEC-H
T1-264/25-P
T1
+
FLASHTRAB
FLT-SEC-H
T1-264/25-P
T1
+
FLASHTRAB
FLT-SEC-H
T1-264/25-P
T1
+
Type 1 protection for the power supply with integrated arrester backup fuse
FLT-SEC-HYBRID
Branch wiring in the TN-C network
Technical characteristics
Typical installation location Upstream or downstream of the circuit breaker
of low-voltage distribution boards with large load
currents
Lightning Protection Level I, II, III, IV
Lightning protection zone
transition
LPZ 0
A
LPZ 1
Coordination Coordination with type 2 arresters of the
SEC family is guaranteed
Connecting cables – Connection of S
PEN
and S
↓
is mandatory (see
figure).
– Use the following conductor cross sections
for the connection (see table).
– Ensure that the S
L
is installed in a way that is
short-circuit-proof and protected against
ground faults. Recommendation: use cables
with increased temperature stability, such as
VPE/EPR-insulated cables.
Backup fuses – Can be used without backup fuse in branch
wiring
– The integrated overcurrent protection is
selective to upstream fuses
F1 ≥ 400 A gG
Products in the catalog Page 20
Connecting cables
S
L
/ mm
2
S
↓
/ mm
2
S
PEN
/ mm
2
2 x 16 16 16
Remote signaling data
U
max
I
max
AC
AC
DC
DC
250 V
125 V (UL)
125 V
30 V
1 A
1 A (UL)
0.2 A
1 A
0.14 mm
2
... 1.5 mm
2
62
PHOENIX CONTACT
Surge protection and interference suppression filters
Surge protection for the power supply

L1
F1
F2
L2
L3
PEN
L1
L2
L3
PEN
FLASHTRAB
FLT-SEC-P
T1-350/25-P
T1
FLASHTRAB
FLT-SEC-P
T1-350/25-P
T1
FLASHTRAB
FLT-SEC-P
T1-350/25-P
T1
For further information and full technical data, visit phoenixcontact.net/products
Technical characteristics
Typical installation location Where the cable enters the building or in the
pre-meter or post-meter area
Lightning Protection Level I, II, III, IV
Lightning protection zone
transition
LPZ 0
A
LPZ 1
Coordination Coordination with type 2 arresters of the
SEC family is guaranteed
Connecting cables – Connection of S
PEN
and S
↓
is mandatory (see
figure).
– The required conductor cross sections are
shown in the tables.
– Lay the connecting cables as short as
possible, without loops, and with the largest
possible bending radii
Backup fuses – Can be used without backup fuse in branch
wiring up to 315 A gG
– If the surge protection fuse needs to be
selective to the upstream installation, a
separate F2 backup fuse is required.
Once the F2 has tripped, there is no more
surge protection for the system.
– Can be used without backup fuse in through
wiring up to 125 A gG
Products in the catalog Page 21
Branch wiring
F1
A gG
F2
A gG
S
L
= S
N
mm
2
S
↓
mm
2
S
PE(N)
mm
2
40
50
6
6
16
16
6
6
63
80
10
10
16
16
10
10
100
125
16
16
16
16
16
16
160
200
25
25
16
16
16
16
250 35 16 16
315 2 x 25 25 25
> 315 315 2 x 25 25 25
Through wiring
F1
A gG
S
L
= S
N
mm
2
S
↓
mm
2
S
PE(N)
mm
2
40 6 16 6
50
63
10
10
16
16
10
10
80 16 16 16
100 25 16 16
125 35 16 16
Remote signaling data
U
max
I
max
AC
AC
DC
DC
250 V
125 V (UL)
125 V
30 V
1 A
1 A (UL)
0.2 A
1 A
0.14 mm
2
... 1.5 mm
2
Type 1 protection for the power supply
FLT-SEC-PLUS
Branch wiring in the TN-C network
63
PHOENIX CONTACT
Surge protection and interference suppression filters
Surge protection for the power supply

L1
F1
F2
L2
L3
N
PE
L1
L2
L3
N
PE
VALVETRAB
VAL-SEC
T2-350-P
T2
VALVETRAB
VAL-SEC
T2-350-P
T2
VALVETRAB
VAL-SEC
T2-350-P
T2
VALVETRAB
VAL-SEC
T2-350-P
T2
VALVETRAB
VAL-SEC
T2-350-P
T2
FLASHTRAB
FLT-SEC-P
T1-N/PE-350/100-P
N/PE
VALVETRAB
VAL-SEC
T2-350-P
T2
FLASHTRAB
FLT-SEC
T1-350/25-P
T1
FLASHTRAB
FLT-SEC
T1-350/25-P
T1
FLASHTRAB
FLT-SEC
T1-350/25-P
T1
Branch wiring
F1
A gG
F2
A gG
S
L
= S
N
mm
2
S
↓
mm
2
S
PE(N)
mm
2
40
50
6
6
16
16
6
6
63
80
10
10
16
16
10
10
100
125
16
16
16
16
16
16
160
200
25
25
16
16
16
16
250 35 16 16
315 2 x 25 25 25
> 315 315 2 x 25 25 25
Through wiring
F1
A gG
S
L
= S
N
mm
2
S
↓
mm
2
S
PE(N)
mm
2
40 6 16 6
50
63
10
10
16
16
10
10
80161616
100 25 16 16
125 35 16 16
Remote signaling data
U
max
I
max
AC
AC
DC
DC
250 V
125 V (UL)
125 V
30 V
1 A
1 A (UL)
0.2 A
1 A
0.14 mm
2
to 1.5 mm
2
Type 1+2 protection for the power supply
FLT-SEC-T1+T2
Branch wiring in the TN-S network
Technical characteristics
Typical installation location Where the cable enters the building in the post-
meter area
Lightning Protection Level I, II, III, IV
Lightning protection zone
transition
LPZ 0
A
LPZ 2
Coordination Coordination with type 3 arresters of the
SEC family is guaranteed
Connecting cables – Connection of S
PEN
and S
↓
is mandatory (see
figure).
– The required conductor cross sections must
be taken from the tables
– Lay the connecting cables as short as
possible, without loops, and with the largest
possible bending radii
Backup fuses – Can be used without backup fuse in branch
wiring up to 315 A gG
– If the surge protection fuse needs to be
selective to the upstream installation, a
separate F2 backup fuse is required. Once
the F2 has tripped, there is no more surge
protection for the system.
– Can be used without backup fuse in through
wiring up to 125 A gG
Products in the catalog Page 25
64
PHOENIX CONTACT
Surge protection and interference suppression filters
Surge protection for the power supply

L1
F1
F2
L2
L3
N
PE
L1
L2
L3
N
PE
VALVETRAB
VAL-SEC
T2-350-P
T2
VALVETRAB
VAL-SEC
T2-350-P
T2
VALVETRAB
VAL-SEC
T2-350-P
T2
VALVETRAB
VAL-SEC-T2
N/PE-350-P
N/PE
For further information and full technical data, visit phoenixcontact.net/products
Technical characteristics
Typical installation location In sub-distributions or level distributions
upstream of the RCD
Lightning protection zone
transition
LPZ 0
B
LPZ 1/LPZ 1 LPZ 2
Coordination Coordination with type 1 and type 3 arresters of
the SEC family is guaranteed
Connecting cables – The required conductor cross sections must
be taken from the tables
– Lay the connecting cables as short as
possible, without loops, and with the largest
possible bending radii
Backup fuses – Can be used without backup fuse in branch
wiring up to 315 A gG
– For backup fuses > 160 A, make sure the
connecting cables are grounded and short-
circuit-proof.
Recommendation: use cables
with increased temperature stability, such as
VPE/EPR-insulated cables.
– If the surge protection fuse needs to be
selective to the upstream installation, a
separate F2 backup fuse is required. Once
the F2 has tripped, there is no more surge
protection for the system.
– Can be used without backup fuse in through
wiring up to 63 A gG
Products in the catalog Page 28
Branch wiring
F1
A gG
F2
A gG
S
L
= S
N
mm
2
S
PE(N)
mm
2
25
35
40
50
6
6
6
6
6
6
6
6
63
80
10
10
10
10
100
125
160
200
250
315
16
16
16
16
16
16
16
16
16
16
16
16
> 315 315 16 16
Through wiring
F1
A gG
S
L
= S
N
mm
2
S
PE(N)
mm
2
25
35
40
6
6
6
6
6
6
50
63
10
10
10
10
Remote signaling data
U
max
I
max
AC
AC
DC
DC
250 V
125 V (UL)
125 V
30 V
1 A
1 A (UL)
0.2 A
1 A
0.14 mm
2
to 1.5 mm
2
Type 2 protection for the power supply
VAL-SEC
Branch wiring in the TN-S network
65
PHOENIX CONTACT
Surge protection and interference suppression filters
Surge protection for the power supply

L
F1
N
PE
L
N
PE
11 12
PLUGTRAB
PLT-SEC
T3-230-P
T3
L
F1
NPE
11 12
PLUGTRAB
PLT-SEC
T3-230-P
T3
L
NPE
IN
OUT
Remote signaling data
U
max
I
max
AC
DC
DC
250 V
125 V
30 V
3 A
0.2 A
1 A
0.2 mm
2
to 2.5 mm
2
Type 3 protection for the power supply
PLT-SEC
Through wiring in the TN-S network and branch
wiring in the TN-S network
Technical characteristics
Typical installation location Upstream of the end device to be protected
Lightning protection zone
transition
LPZ 2 LPZ 3
Coordination Coordination with type 2 arresters of the
SEC family is guaranteed
Connection – Max. conductor cross section 4 mm solid
and 2.5 mm stranded
– The maximum load current I
L
is 26 A for
through wiring
Backup fuses Can be used without backup fuse for prospective
short-circuit currents up to 1500 A
– The integrated overcurrent protection is
selective to upstream fuses F1 ≥ 16 A gG
– For backup fuses > 40 A, make sure the
connecting cables are grounded and
short-circuit-proof.
Recommendation: use cables with increased
temperature stability, such as
VPE/EPR-insulated cables.
Products in the catalog Page 30
66
PHOENIX CONTACT
Surge protection and interference suppression filters
Surge protection for the power supply

L1
F1
F2
L2
L3
N
PE
L1
L2
L3
N
PE
For further information and full technical data, visit phoenixcontact.net/products
Technical characteristics
Typical installation location In sub-distributions in place of an RCD
Lightning protection zone
transition
LPZ 0
B
LPZ 1/LPZ 1 LPZ 2
Coordination Coordination with type 1 and type 3 arresters of
the SEC family is guaranteed
RCD The RCD used is a type A/type A selective
Connection – The conductor cross sections are based on
the upstream F1 overcurrent protection
device
– F1 ≤ 50 A 6 mm
– F1 > 50 A 10 mm
– Lay the connecting cables as short as
possible, without loops, and with the largest
possible bending radii
– The maximum load current I
L
is 40 A
Backup fuses – Can be used without backup fuse in branch
and through wiring up to 63 A gG
Products in the catalog – Page 51
Type 2 protection for the power supply
VAL-CP-RCD
Branch wiring in the TN-S network
67
PHOENIX CONTACT
Surge protection and interference suppression filters
Surge protection for the power supply

L1
F1
L2
L3
N
PE
L1
L2
L3
N
PE
Branch wiring
F1
A gG
S
L
= S
N
mm
2
S
↓
mm
2
S
PEN
mm
2
63
80
10
10
10
10
10
10
100
125
16
16
16
16
16
16
160
200
25
25
16
16
16
16
Remote signaling data
U
max
I
max
AC
DC
250 V
250 V
2A
0.05 A
0.14 mm
2
to 1.5 mm
2
Type 2 protection for the power supply
VAL-CP-MCB
Branch wiring in the TN-S network
Technical characteristics
Typical installation location In sub-distributions or level distributions
upstream of the RCD
Lightning protection zone
transition
LPZ 0
B
LPZ 1 / LPZ 1 LPZ 2
Coordination Coordination with type 1 and type 3 arresters of
the SEC family is guaranteed
Connecting cables – The required conductor cross sections must
be taken from the table
– Lay the connecting cables as short as
possible, without loops, and with the largest
possible bending radii
Backup fuses – Can be used without backup fuse in branch
wiring
– The integrated overcurrent protection is
selective to upstream fuses
F1 ≥ 63 A gG
Products in the catalog Page 53
68
PHOENIX CONTACT
Surge protection and interference suppression filters
Surge protection for the power supply

For further information and full technical data, visit phoenixcontact.net/products
Technical characteristics
Typical installation location Upstream of the end device to be protected
Lightning protection zone
transition
LPZ 2 LPZ 3
Coordination Coordination with type 2 arresters of the SEC
family is guaranteed
Connection – Maximum conductor cross section =
2.5 mm
2
– The maximum load current I
L
is 16 A
Backup fuses – Can be used without backup fuse up to
MCB B-16 A
Products in the catalog Page 54
Type 3 protection for the power supply
BLOCKTRAB BT-1S
Universal in the end device Surface installations Installation boxes Distributions
69
PHOENIX CONTACT
Surge protection and interference suppression filters
Surge protection for the power supply

70
PHOENIX CONTACT
Surge protection and interference suppression filters
Surge protection for MCR technology
Intelligent and systematic surge
protection – PLUGTRAB PT-IQ
The PLUGTRAB PT-IQ product range is
the first to offer predictive function
monitoring for surge protective devices in
the context of measurement and control
technology. Boasting a whole range of
additional features, the new surge
protection system is a real highlight from
Phoenix Contact.
Always know what is happening –
predictive monitoring
The individual components of the
protective devices are permanently
monitored. When the performance limit
has been reached as a result of frequent
surge voltages, this is indicated by the
yellow status symbol. The arrester
continues to function and your system is
still protected. However, replacement of the
protective plug is recommended. This
ensures you are informed even earlier and
can replace your surge protection before
the protective plug is overloaded (red
signal). Furthermore, if you use the remote
signaling option, you can check how well
your system is being protected from
anywhere and at any time.
Permanent and error-free installation
The PLUGTRAB PT-IQ minimizes the
amount of wiring required. This is made
possible by the DIN rail connector (TBUS),
which is easily clipped onto the DIN rail. A
controller handles the distribution of the
power supply and implements remote
signaling of all connected surge protective
devices via the TBUS. All you then have to
do is install the surge protective devices on
the TBUS – and you're done! The plug and
base element are coded to avoid installation
errors during replacement.
Unlimited expansion
The controller monitors all arresters
which are connected to the controller via
the TBUS. You can bridge the TBUS across
DIN rails to monitor even more protective
devices. After 28 protective devices, an
additional controller must be installed to
supply voltage. Remote signaling can be
performed from any controller in the
system.
Other surge protective devices
PLUGTRAB PT are plug-in arresters
without remote signaling, also with
switching variants for intrinsically safe signal
circuits.
The multi-stage modular terminal blocks
in the TERMITRAB or LINETRAB product
ranges have an overall width of just 6.2 mm
yet are able to offer protection for up to
four signal wires.
As they are installed directly on
measuring sensors, the SURGETRAB screw
connection modules are able to provide
reliable protection against transients even in
EX-i and Ex-d applications.
The products in the COMTRAB modular
range have been designed specifically for use
in marshalling panels.
Your web code: #0144

For further information and full technical data, visit phoenixcontact.net/products
71
PHOENIX CONTACT
Surge protection and interference suppression filters
Surge protection for MCR technology
Group indication
Green: protective device OK
Yellow: performance limit reached,
replacement recommended
Red: protective device overloaded,
replace
Multi-stage remote signaling
Connect the remote signaling to the
controller that acts as a supply and remote
signaling module (one-off connection
operation). The status is output according
to the priority as red, yellow or green. This
ensures you always know what is happening
and can always keep an eye on your system's
protection.
TBUS DIN rail connector
The DIN rail connector (TBUS) supplies
voltage to the protection modules and
forwards the status of each individual
arrester to the controller. You benefit from
the reduced wiring costs and can implement
surge protection quickly without errors.
For Ex zone 2
With the PLUGTRAB PT-IQ Ex
protective devices, it is possible for the first
time to install protective devices with multi-
stage monitoring and remote signaling
directly in Ex zone 2. The intrinsically safe
protective circuits can be led up to
Ex zone 0.
Narrow arresters
The narrow TERMITRAB modular
terminal blocks have an overall width of just
6.2 mm. Some offer multi-stage protective
circuits for Ex and non-Ex applications.
Special systems
Implement protection in the field directly
at the measuring sensor with SURGETRAB
screw connection modules.

ϑ
Signal Signal properties Mounting Connection
technology
Analog
measurements
Standard
signal
0(4) to 20 mA
Signal isolated
from ground
non-Ex
3Push-in
3Screw
3Spring-cage
3Spring-cage
Cables
3Screw
3Screw
3Spring-cage
Cables
0 to 10 V
Signal isolated
from ground non-Ex
3Push-in
3Screw
Temperature
measuremnt.
e.g., Pt 100
(impedance-
sensitive)
Signal isolated
from ground
non-Ex
3Screw
3Spring-cage
3Screw
3Screw
Cables
Binary input signals
Digital IN
24 V
Common
reference
conductor
isolated from
ground non-Ex
3Push-in
3Screw
3Spring-cage
3Spring-cage
Common
reference
conductor
directly
grounded non-Ex
3Push-in
3Screw
3Spring-cage
3Spring-cage
Binary output signals
Digital OUT
24 V
(actuators)
Common
reference
conductor
isolated from
ground non-Ex
3Push-in
3Screw
3Screw
3Spring-cage
Cmn. ref.
conductor
directly
grounded
non-Ex
3Push-in
3Screw
Note
Products bearing this stamp
(plug elements) can be tested
with the CHECKMASTER.
The selection of surge protective
devices for measurement and control
technology depends on several factors.
The protective circuit required is primarily
determined by the type of signal circuit.
Accordingly, this distinction is made in the
first few columns of the adjacent table. In
the case of binary switching signals, a
distinction must then be made between
grounded and non-grounded operation.
Further selection criteria concern the
design of the housing. Both the
connection technology and space
requirements must suit the installation
environment. Two-piece modules
comprising a plug and base element
provide convenience. In the event of
maintenance, it is therefore not necessary
to access the installation. Using the
corresponding selection criteria, the
selection guide helps you find the right
product quickly and easily.
Explanation of the IEC categories
LPZ Test category
for SPD
according to
IEC 61643-21
Test class for
SPD according
to
IEC 61643-11
0/1 D1 I
1/2 C2 II
2/3 C1 III
Data for fault analysis
according to IEC 61508 is
available on the Internet.
72
PHOENIX CONTACT
Surge protection and interference suppression filters
Surge protection for MCR technology

For further information and full technical data, visit phoenixcontact.net/products
IEC
category
State
moni-
toring
Plug-in
capabili-
ty
Signal
isolator
Protect-
ed wires Arrester Order No. Page
D1/C2/C1 4 PT-IQ-2X2-24DC-PT 2801263 76
D1/C2/C1 4 PT-IQ-2X2-24DC-UT 2800980 76
D1/C2/C1 2 TT-ST-2-PE-24DC 2858878 96
D1/C2/C1 2 TT-ST-M-2-PE-24DC 2858904 96
D1/C2/C1 2 S-PT-1X2-24DC-1/2" 2882569 98
D1/C2/C1 4 PT-IQ-2X2-EX-24DC-UT 2801513 81
D1/C2/C1 4 PT 2XEX(I)-24DC-ST & PT 2XEX(I)-BE 2838225 & 2839279 89
D1/C2/C1 2 TT-ST-M-EX(I)-24DC 2859424 97
D1/C2/C1 2 S-PT-EX(I)-24DC-1/2" 2882572 98
D1/C2/C1 2 PT-IQ-1x2-12DC-PT 2801253 74
D1/C2/C1 2 PT-IQ-1x2-12DC-UT 2800793 74
D1/C2/C1 4 PT 4-24DC-ST & PT 4-BE 2839240 & 2839402 86
D1/C2/C1 2 TT-ST-2-PE/S2-24DC 2801458 97
D1/C2/C1 4 PT 4-EX(I)24DC-ST & PT 4-EX(I)-BE 2839253 & 2839486 89
D1/C2/C1 4 LIT 4-24 2804678 93
D1/C2/C1 2 S-PT-EX-24DC-1/2" 2800035 99
D1/C2/C1 5 PT-IQ-4X1+F-24DC-PT 2801272 77
D1/C2/C1 5 PT-IQ-4X1+F-24DC-UT 2800983 77
D1/C2/C1 2 TT-ST-2/2-24DC 2858881 96
D1/C2/C1 2 TT-ST-M-2/2-24DC 2858917 96
D1/C2/C1 5 PT-IQ-4X1-24DC-PT 2801271 77
D1/C2/C1 5 PT-IQ-4X1-24DC-UT 2800982 77
D1/C2/C1 2 TT-ST-2/2-24DC 2858881 96
D1/C2/C1 2 TT-ST-M-2/2-24DC 2858917 96
D1/C2/C1 5 PT-IQ-4X1+F-24DC-PT 2801272 77
D1/C2/C1 5 PT-IQ-4X1+F-24DC-UT 2800983 77
D1/C2/C1 4 PT 4-F-ST & PT4-BE 2858441 & 2839402 88
D1/C2/C1 2 TT-ST-2-PE/S2-24DC 2801458 97
D1/C2/C1 5 PT-IQ-4X1-24DC-PT 2801271 77
D1/C2/C1 5 PT-IQ-4X1-24DC-UT 2800982 77
73
PHOENIX CONTACT
Surge protection and interference suppression filters
Surge protection for MCR technology

5
1
3
6
2
4
12
10
8 FM
FM
DC +
DC –
Power
SPD
DC +
DC –
DC –
FM
7
11
9
3
8
12
10
4
protectedunprotected
Technical data Technical data
Electrical data ... 5DC ... 12DC ... 24DC ... 48DC
IEC test classification/EN type - C1 / C2 / C3 /
D1
C1 / C2 / C3 /
D1
C1 / C2 / C3 /
D1
C1 / C2 / C3 /
D1
Maximum continuous operating voltage U
C
- 6VDC /
4VAC
15 V DC /
10 V AC
30 V DC /
21VAC
53 V DC /
37 V AC
Impulse discharge curr. I
imp
(10/350) μs
Per path - 2.5 kA 2.5 kA 2.5 kA 2.5 kA 2.5 kA 2.5 kA 2.5 kA 2.5 kA 2.5 kA 2.5 kA 2.5 kA 2.5 kA 2.5 kA 2.5 kA 2.5 kA 2.5 kA
Nominal current I
N
max. 130 mA (24 V DC) 1000 mA
(45°C)
1000 mA
(45°C)
1000 mA
(45°C)
300 mA
(45°C)
Nominal discharge current I
n
(8/20) µs
Core-Core / Core-Ground - / - 10 kA / 10 kA 10 kA / 10 kA 10 kA / 10 kA 10 kA / 10 kA 10 kA / 10 kA 10 kA / 10 kA 10 kA / 10 kA 10 kA /
Total surge current (8/20) µs 20 kA 20 kA 20 kA 20 kA 20 kA 20 kA 20 kA 20 kA 20 kA 20 kA 20 kA 20 kA 20 kA 20 kA 20 kA 20 kA
Protection level U
p
Core-Core ≤ 25 V
(C3 - 25 A)
≤ 35 V
(C3 - 25 A)
≤ 55 V
(C3 - 25 A)
≤ 90 V
(C3 - 25 A)
Core-Ground ≤ 700 V
(C3 - 25 A)
≤ 700 V
(C3 - 25 A)
≤ 700 V
(C3 - 25 A)
≤ 700 V
(C3 - 25 A)
Resistance per path - 1.2 Ω1.2 Ω1.2 Ω1.2 Ω
General data
PT-IQ...PT dimensions W / H / D 17.7 mm / 109.3 mm / 77.5 mm 17.7 mm / 109.3 mm / 77.5 mm 17.7 mm / 109.3 mm / 77.5 mm 17.7 mm / 10
PT-IQ...UT dimensions W / H / D 17.7 mm / 91.1 mm / 77.5 mm 17.7 mm / 91.1 mm / 77.5 mm 17.7 mm / 91.1 mm / 77.5 mm 17.7 mm / 91.1
Connection data, push-in solid / stranded with ferrule / AWG 0.2 ... 4 mm² / 0.2 ... 2.5 mm² / 24 - 12 0.2 ... 4 mm² / 0.2 ... 2.5 mm² / 24 - 12 0.2 ... 4 mm² / 0.2 ... 2.5 mm² / 24 - 12 0.2 ... 4 mm² / 0.2 ... 2.5 mm² / 24 - 12 0.2 ... 4 mm² / - / 24 - 12
Connection data solid / stranded with ferrule / AWG 0.2 ... 4 mm² / 0.2 ... 2.5 mm² / 24 - 12 0.2 ... 4 mm² / 0.2 ... 2.5 mm² / 24 - 12 0.2 ... 4 mm² / 0.2 ... 2.5 mm² / 24 - 12 0.2 ... 4 mm² / 0.2 ... 2.5 mm² / 24 - 12 0.2 ... 4 mm² / 0.2 ... 2.5 mm² / 24 -
Temperature range -40°C ... 70°C -40°C ... 70°C
Degree of protection in acc. with IEC 60529/EN 60529 IP20 IP20
Inflammability class in acc. with UL 94 V0 V0
Test standards EN 61000-6-2 / EN 61000-6-3/A1 / EN 60950-1/A2 EN 61643-21/A1 / IEC 61643-21/A1 / EN 61000-6-2 / EN 61643-21/A1 / I
-EN 61000-6-2/A1 / EN 61000-6-3 EN 61000-6-2/A1 / EN 61000-6-3 EN 61000-6-2/A1 / EN 61000-6-3 EN 61000-6-2/A1 / EN 61000-6-3
Remote indication contact 2x N/C contacts Via TBUS
Connection data solid / AWG 0.2 ... 4 mm² / 24 - 14 - / -
Max. operating voltage 30 V AC (50 - 60 Hz, non-Ex) / 50 V DC (non-Ex) -
Max. operating current 1 A (up to 50°C, non-Ex) / 200 mA (up to 70°C, non-Ex) - / -
Ordering data Ordering data
Description Voltage U
N
Type Order No. Pcs. /
Pkt. Type Order No. Pcs. /
Pkt.
PLUGTRAB supply module
with screw connection technology 24 V DC PT-IQ-PTB-UT 2800768 1
with push-in connection technology 24 V DC PT-IQ-PTB-PT 2801296 1
MCR-PLUGTRAB, with screw connection technology
5VDC PT-IQ-1X2-5DC-UT 2800791 1
12VDC PT-IQ-1X2-12DC-UT 2800793 1
24VDC PT-IQ-1X2-24DC-UT 2800976 1
48VDC PT-IQ-1X2-48DC-UT 2800978 1
MCR-PLUGTRAB, with push-in connection technology
5VDC PT-IQ-1X2-5DC-PT 2801251 1
12VDC PT-IQ-1X2-12DC-PT 2801253 1
24VDC PT-IQ-1X2-24DC-PT 2801255 1
48VDC PT-IQ-1X2-48DC-PT 2801257 1
74
PHOENIX CONTACT
– Multi-stage status monitoring
– Group indication via supply and remote
signaling module
– Multi-stage, floating remote signaling
– System supplied via DIN rail bus
– Up to 28 protection modules per supply
module
– Maximum ease of maintenance, thanks to
the two-piece design
– Plugs are coded
– Impedance-neutral disconnection of plug
for maintenance purposes
– PT-IQ...-UT base element with screw
connection technology
– PT-IQ...-PT base element with push-in
connection technology
– Base element remains an integral part of
the installation
– Corresponding replacement plugs can be
found on our website
PLUGTRAB PT-IQ for one double
wire and 2-wire
Surge protection and interference suppression filters
Surge protection for MCR technology
Controller for supply and remote signaling Double wire (loop), floating, connection 9/10
grounded directly, e.g., for 4 ... 20mA current
loop
H
W
D
H
W
D

7
11
9
3
8
12
10
4
protectedunprotected
7
11
9
3
8
12
10
4
protectedunprotected
7
11
9
3
8
12
10
4
protectedunprotected
For further information and full technical data, visit phoenixcontact.net/products
Technical data Technical data Technical data
... 5DC ... 12DC ... 24DC ... 48DC ... 5DC ... 12DC ... 24DC ... 48DC ... 5DC ... 12DC ... 24DC ... 48DC
C1 / C2 / C3 /
D1
C1 / C2 / C3 /
D1
C1 / C2 / C3 /
D1
C1 / C2 / C3 /
D1
C1 / C2 / C3 /
D1
C1 / C2 / C3 /
D1
C1 / C2 / C3 /
D1
C1 / C2 / C3 /
D1
C1 / C2 / C3 /
D1
C1 / C2 / C3 /
D1
C1 / C2 / C3 /
D1
C1 / C2 / C3 /
D1
6VDC /
4VAC
15 V DC /
10 V AC
30 V DC /
21 V AC
53VDC /
37VAC
6VDC /
4VAC
15 V DC /
10VAC
30 V DC /
21VAC
53 V DC /
37VAC
6VDC /
4VAC
15 V DC /
10VAC
30 V DC /
21 V AC
53 V DC /
37VAC
Per path - 2.5 kA 2.5 kA 2.5 kA 2.5 kA 2.5 kA 2.5 kA 2.5 kA 2.5 kA 2.5 kA 2.5 kA 2.5 kA 2.5 kA 2.5 kA 2.5 kA 2.5 kA 2.5 kA
1000 mA
(45°C)
1000 mA
(45°C)
1000 mA
(45°C)
300 mA (45°C) 1000 mA
(45°C)
1000 mA
(45°C)
1000 mA
(45°C)
300 mA
(45°C)
1000 mA
(45°C)
1000 mA
(45°C)
1000 mA
(45°C)
300 mA
(45°C)
Core-Core / Core-Ground - / - 10 kA / 10 kA 10 kA / 10 kA 10 kA / 10 kA 10 kA / 10 kA 10 kA / 10 kA 10 kA / 10 kA 10 kA / 10 kA 10 kA / 10 kA - / 10 kA - / 10 kA - / 10 kA - / 10 kA - / 10 kA - / 10 kA - / 10 kA - / 10 kA
20 kA 20 kA 20 kA 20 kA 20 kA 20 kA 20 kA 20 kA 20 kA 20 kA 20 kA 20 kA 20 kA 20 kA 20 kA 20 kA
≤ 25 V
(C3 - 25 A)
≤ 35 V
(C3 - 25 A)
≤ 55 V
(C3 - 25 A)
≤ 90 V
(C3 - 25 A)
≤ 1000 V
(C3 - 25 A)
≤ 1000 V
(C3 - 25 A)
≤ 1000 V
(C3 - 25 A)
≤ 1000 V
(C3 - 25 A)
≤ 25 V
(C3 - 25 A)
≤ 35 V
(C3 - 25 A)
≤ 55 V
(C3 - 25 A)
≤ 90 V
(C3 - 25 A)
≤ 950 V
(C3 - 50 A)
≤ 810 V
(C3 - 25 A)
≤ 780 V
(C3 - 25 A)
≤ 850 V
(C3 - 25 A)
1.2 Ω1.2 Ω1.2 Ω1.2 Ω1.2 Ω1.2 Ω1.2 Ω1.2 Ω1.2 Ω1.2 Ω1.2 Ω1.2 Ω
PT-IQ...PT dimensions W / H / D 17.7 mm / 109.3 mm / 77.5 mm 17.7 mm / 109.3 mm / 77.5 mm 17.7 mm / 109.3 mm / 77.5 mm 17.7 mm / 109.3 mm / 77.5 mm 17.7 mm / 109.3 mm / 77.5 mm
PT-IQ...UT dimensions W / H / D 17.7 mm / 91.1 mm / 77.5 mm 17.7 mm / 91.1 mm / 77.5 mm 17.7 mm / 91.1 mm / 77.5 mm 17.7 mm / 91.1 mm / 77.5 mm 17.7 mm / 91.1 mm / 77.5 mm
5 mm² / 24 - 12 0.2 ... 4 mm² / 0.2 ... 2.5 mm² / 24 - 12 0.2 ... 4 mm² / 0.2 ... 2.5 mm² / 24 - 12 0.2 ... 4 mm² / - / 24 - 12
4 - 12 0.2 ... 4 mm² / 0.2 ... 2.5 mm² / 24 - 12 0.2 ... 4 mm² / 0.2 ... 2.5 mm² / 24 - 12 0.2 ... 4 mm² / 0.2 ... 2.5 mm² / 24 - 12
-40°C ... 70°C -40°C ... 70°C -40°C ... 70°C
IP20 IP20 IP20
V0 V0 V0
Test standards EN 61000-6-2 / EN 61000-6-3/A1 / EN 60950-1/A2 EN 61643-21/A1 / IEC 61643-21/A1 / EN 61000-6-2 / EN 61643-21/A1 / IEC 61643-21/A1 / EN 61000-6-2 / EN 61643-21/A1 / IEC 61643-21/A1 / EN 61000-6-2 / EN 61643-21/A1 / IEC 61643-21/A1 / EN 61000-6-2 /
EN 61000-6-2/A1 / EN 61000-6-3 EN 61000-6-2/A1 / EN 61000-6-3 EN 61000-6-2/A1 / EN 61000-6-3 EN 61000-6-2/A1 / EN 61000-6-3
Via TBUS Via TBUS Via TBUS
- / - - / - - / -
---
- / - - / - - / -
Ordering data Ordering data Ordering data
Type Order No. Pcs. /
Pkt. Type Order No. Pcs. /
Pkt. Type Order No. Pcs. /
Pkt.
PT-IQ-1X2+F-5DC-UT 2800792 1PT-IQ-2X1-5DC-UT 2800778 1PT-IQ-2X1+F-5DC-UT 2800779 1
PT-IQ-1X2+F-12DC-UT 2800975 1PT-IQ-2X1-12DC-UT 2800780 1PT-IQ-2X1+F-12DC-UT 2800781 1
PT-IQ-1X2+F-24DC-UT 2800977 1PT-IQ-2X1-24DC-UT 2800787 1PT-IQ-2X1+F-24DC-UT 2800788 1
PT-IQ-1X2+F-48DC-UT 2800979 1PT-IQ-2X1-48DC-UT 2800789 1PT-IQ-2X1+F-48DC-UT 2800790 1
PT-IQ-1X2+F-5DC-PT 2801252 1PT-IQ-2X1-5DC-PT 2801243 1PT-IQ-2X1+F-5DC-PT 2801244 1
PT-IQ-1X2+F-12DC-PT 2801254 1PT-IQ-2X1-12DC-PT 2801245 1PT-IQ-2X1+F-12DC-PT 2801246 1
PT-IQ-1X2+F-24DC-PT 2801256 1PT-IQ-2X1-24DC-PT 2801247 1PT-IQ-2X1+F-24DC-PT 2801248 1
PT-IQ-1X2+F-48DC-PT 2801258 1PT-IQ-2X1-48DC-PT 2801249 1PT-IQ-2X1+F-48DC-PT 2801250 1
75
PHOENIX CONTACT
Surge protection and interference suppression filters
Surge protection for MCR technology
H
W
D
Double wire (loop), floating, connection 9/10
grounded via gas-filled surge arrester, e.g., for
4 ... 20 mA current loop
2-wire with common reference potential,
connection 9/10 grounded directly, e.g., for
binary signals
2-wire with common reference potential,
connection 9/10 grounded via gas-filled surge
arrester, e.g., for binary signals
H
W
D
H
W
D

5
1
3
6
2
4
12
10
8 FM
FM
DC +
DC –
Power
SPD
DC +
DC –
DC –
FM
1
5
3
9
7
11
2
6
4
10
8
12
protectedunprotected
Technical data Technical data
Electrical data ... 5DC ... 12DC ... 24DC ... 48DC
IEC test classification/EN type - C1 / C2 / C3 /
D1
C1 / C2 / C3 /
D1
C1 / C2 / C3 /
D1
C1 / C2 / C3 /
D1
Maximum continuous operating voltage U
C
- 6VDC /
4VAC
15 V DC /
10 V AC
30 V DC /
21VAC
53 V DC /
37 V AC
Impulse discharge curr. I
imp
(10/350) μs
Per path - 2.5 kA - 2.5 kA 2.5 kA 2.5 kA - 2.5 kA 2.5 kA 2.5 kA - 2.5 kA - 2.5 kA - 2.5 kA -
Nominal current I
N
max. 130 mA (24 V DC) 700 mA (50°C) 700 mA (50°C) 700 mA (50°C) 300 mA
Nominal discharge current I
n
(8/20) µs
Core-Core / Core-Ground - / - 10 kA / 10 kA 10 kA / 10 kA 10 kA / 10 kA 10 kA / 10 kA 10 kA / 10 kA 10 kA / 10 kA 10 kA / 10 kA 10 kA /
Total surge current (8/20) µs 20 kA 20 kA 20 kA 20 kA 20 kA 20 kA 20 kA 20 kA 20 kA 20 kA
Protection level U
p
Core-Core ≤ 25 V
(C3 - 25 A)
≤ 35 V
(C3 - 25 A)
≤ 55 V
(C3 - 25 A)
≤ 90 V
(C3 - 25 A)
Core-Ground ≤ 700 V
(C3 - 25 A)
≤ 700 V
(C3 - 25 A)
≤ 700 V
(C3 - 25 A)
≤ 700 V
(C3 - 25 A)
Resistance per path - 1.2 Ω- 1.2 Ω1.2 Ω
General data
PT-IQ...PT dimensions W / H / D 17.7 mm / 109.3 mm / 77.5 mm 17.7 mm / 109.3 mm / 77.5 mm 17.7 mm / 109.3 mm / 77.5 mm 17.7 mm / 10
PT-IQ...UT dimensions W / H / D 17.7 mm / 91.1 mm / 77.5 mm 17.7 mm / 91 mm / 77.5 mm 17.7 mm / 91 mm / 77.5 mm 17.7 mm / 91.1 mm /
Connection data, push-in solid / stranded with ferrule / AWG 0.2 ... 4 mm² / 0.2 ... 2.5 mm² / 24 - 12 0.2 ... 4 mm² / - / -
Connection data solid / stranded with ferrule / AWG 0.2 ... 4 mm² / 0.2 ... 2.5 mm² / 24 - 12 0.2 ... 4 mm² / 0.2 ... 2.5 mm² / 24 - 12 0.2 ... 4 mm² / 0.2 ... 2.5 mm² / 24 - 12 0.2 ... 4 mm² / 0.2 ... 2.5 mm² / 24 - 12 0.2 ... 4 mm² / 0.2 ... 2.5 mm² / 24 -
Temperature range -40°C ... 70°C -40°C ... 70°C
Degree of protection in acc. with IEC 60529/EN 60529 IP20 IP20
Inflammability class in acc. with UL 94 V0 V0
Test standards EN 61000-6-2 / EN 61000-6-3/A1 / EN 60950-1/A2 EN 61643-21/A1 / IEC 61643-21/A1 / EN 61000-6-2 / EN 61643-21/A1 / I
-EN 61000-6-2/A1 / EN 61000-6-3 EN 61000-6-2/A1 / EN 61000-6-3 EN 61000-6-2/A1 / EN 61000-6-3 EN 61000-6-2/A1 / EN 61000-6-3
Remote indication contact 2x N/C contacts Via TBUS
Connection data solid / AWG 0.2 ... 4 mm² / 24 - 14 - / -
Max. operating voltage 30 V AC (50 - 60 Hz, non-Ex) / 50 V DC (non-Ex) -
Max. operating current 1 A (up to 50°C, non-Ex) / 200 mA (up to 70°C, non-Ex) - / -
Ordering data Ordering data
Description Voltage U
N
Type Order No. Pcs. /
Pkt. Type Order No. Pcs. /
Pkt.
PLUGTRAB supply module
with screw connection technology 24 V DC PT-IQ-PTB-UT 2800768 1
with push-in connection technology 24 V DC PT-IQ-PTB-PT 2801296 1
MCR-PLUGTRAB, with screw connection technology
5VDC PT-IQ-2X2-5DC-UT 2800807 1
12VDC PT-IQ-2X2-12DC-UT 2800984 1
24VDC PT-IQ-2X2-24DC-UT 2800980 1
48VDC PT-IQ-2X2-48DC-UT 2800986 1
MCR-PLUGTRAB, with push-in connection technology
5VDC PT-IQ-2X2-5DC-PT 2801259 1
12VDC PT-IQ-2X2-12DC-PT 2801261 1
24VDC PT-IQ-2X2-24DC-PT 2801263 1
48VDC PT-IQ-2X2-48DC-PT 2801265 1
76
PHOENIX CONTACT
– Multi-stage status monitoring
– Group indication via supply and remote
signaling module
– Multi-stage, floating remote signaling
– System supplied via DIN rail bus
– Up to 28 protection modules per supply
module
– Maximum ease of maintenance, thanks to
the two-piece design
– Plugs are coded
– Impedance-neutral disconnection of plug
for maintenance purposes
– PT-IQ...-UT base element with screw
connection technology
– PT-IQ...-PT base element with push-in
connection technology
– Base element remains an integral part of
the installation
– Corresponding replacement plugs can be
found on our website
PLUGTRAB PT-IQ for two double
wires or 4-wire
Surge protection and interference suppression filters
Surge protection for MCR technology
Controller for supply and remote signaling 2 double wires (loops), floating, connection
9/10 grounded directly, e.g., for 4 ... 20mA
current loop
H
W
D
H
W
D

1
5
3
9
7
11
2
6
4
10
8
12
protectedunprotected
protectedunprotected
1
5
7
11
9
3
2
6
8
12
10
4
protectedunprotected
1
5
7
11
9
3
2
6
8
12
10
4
For further information and full technical data, visit phoenixcontact.net/products
Technical data Technical data Technical data
... 5DC ... 12DC ... 24DC ... 48DC ... 5DC ... 12DC ... 24DC ... 48DC ... 5DC ... 12DC ... 24DC ... 48DC
C1 / C2 / C3 /
D1
C1 / C2 / C3 /
D1
C1 / C2 / C3 /
D1
C1 / C2 / C3 /
D1
C1 / C2 / C3 /
D1
C1 / C2 / C3 /
D1
C1 / C2 / C3 /
D1
C1 / C2 / C3 /
D1
C1 / C2 / C3 /
D1
C1 / C2 / C3 /
D1
C1 / C2 / C3 /
D1
C1 / C2 / C3 /
D1
6VDC /
4VAC
15 V DC /
10 V AC
30 V DC /
21 V AC
53VDC /
37VAC
6VDC /
4VAC
15 V DC / 30 V DC /
21VAC
53 V DC /
37VAC
6VDC /
4VAC
15 V DC /
10VAC
30 V DC /
21 V AC
53 V DC /
37VAC
Per path - 2.5 kA - 2.5 kA 2.5 kA 2.5 kA - 2.5 kA 2.5 kA 2.5 kA - 2.5 kA - 2.5 kA - 2.5 kA -
700 mA (50°C) 700 mA (50°C) 700 mA (50°C) 300 mA 700 mA (50°C) 700 mA (50°C) 700 mA (45°C) 300 mA 700 mA (50°C) 700 mA (50°C) 700 mA (45°C) 300 mA
Core-Core / Core-Ground - / - 10 kA / 10 kA 10 kA / 10 kA 10 kA / 10 kA 10 kA / 10 kA 10 kA / 10 kA 10 kA / 10 kA 10 kA / 10 kA 10 kA / 10 kA - / 10 kA - / 10 kA - / 10 kA - / 10 kA - / 10 kA - / 10 kA - / 10 kA - / 10 kA
20 kA 20 kA 20 kA 20 kA 20 kA 20 kA 20 kA 20 kA 20 kA 20 kA
≤ 25 V
(C3 - 25 A)
≤ 35 V
(C3 - 25 A)
≤ 55 V
(C3 - 25 A)
≤ 90 V
(C3 - 25 A)
--
≤ 1000 V
(C3 - 25 A)
≤ 1000 V
(C3 - 25 A)
≤ 1000 V
(C3 - 25 A)
≤ 1000 V
(C3 - 25 A)
≤ 25 V
(C3 - 25 A)
≤ 35 V
(C3 - 25 A)
≤ 55 V
(C3 - 25 A)
≤ 90 V
(C3 - 25 A)
≤ 950 V
(C3 - 50 A)
≤ 810 V
(C3 - 25 A)
≤ 780 V
(C3 - 25 A)
≤ 850 V
(C3 - 25 A)
1.2 Ω- 1.2 Ω1.2 Ω1.2 Ω- 1.2 Ω- 1.2 Ω- 1.2 Ω-
PT-IQ...PT dimensions W / H / D 17.7 mm / 109.3 mm / 77.5 mm 17.7 mm / 109.3 mm / 77.5 mm 17.7 mm / 109.3 mm / 77.5 mm 17.7 mm / 109.3 mm / 77.5 mm 17.7 mm / 109.3 mm / 77.5 mm
PT-IQ...UT dimensions W / H / D 17.7 mm / 91.1 mm / 77.5 mm 17.7 mm / 91 mm / 77.5 mm 17.7 mm / 91 mm / 77.5 mm 17.7 mm / 91.1 mm / 77.5 mm 17.7 mm / 91.1 mm / 77.5 mm
0.2 ... 4 mm² / - / - 0.2 ... 4 mm² / - / - 0.2 ... 4 mm² / - / -
4 - 12 0.2 ... 4 mm² / 0.2 ... 2.5 mm² / 24 - 12 0.2 ... 4 mm² / 0.2 ... 2.5 mm² / 24 - 12 0.2 ... 4 mm² / 0.2 ... 2.5 mm² / 24 - 12
-40°C ... 70°C -40°C ... 70°C -40°C ... 70°C
IP20 IP20 IP20
V0 V0 V0
Test standards EN 61000-6-2 / EN 61000-6-3/A1 / EN 60950-1/A2 EN 61643-21/A1 / IEC 61643-21/A1 / EN 61000-6-2 / EN 61643-21/A1 / IEC 61643-21/A1 / EN 61000-6-2 / EN 61643-21/A1 / IEC 61643-21/A1 / EN 61000-6-2 / EN 61643-21/A1 / IEC 61643-21/A1 / EN 61000-6-2 /
EN 61000-6-2/A1 / EN 61000-6-3 EN 61000-6-2/A1 / EN 61000-6-3 EN 61000-6-2/A1 / EN 61000-6-3 EN 61000-6-2/A1 / EN 61000-6-3
Via TBUS Via TBUS Via TBUS
- / - - / - - / -
---
- / - - / - - / -
Ordering data Ordering data Ordering data
Type Order No. Pcs. /
Pkt. Type Order No. Pcs. /
Pkt. Type Order No. Pcs. /
Pkt.
PT-IQ-2X2+F-5DC-UT 2800809 1PT-IQ-4X1-5DC-UT 2801215 1PT-IQ-4X1+F-5DC-UT 2801216 1
PT-IQ-2X2+F-12DC-UT 2800985 1PT-IQ-4X1-12DC-UT 2801217 1PT-IQ-4X1+F-12DC-UT 2801218 1
PT-IQ-2X2+F-24DC-UT 2800981 1PT-IQ-4X1-24DC-UT 2800982 1PT-IQ-4X1+F-24DC-UT 2800983 1
PT-IQ-2X2+F-48DC-UT 2800987 1PT-IQ-4X1-48DC-UT 2801219 1PT-IQ-4X1+F-48DC-UT 2801220 1
PT-IQ-2X2+F-5DC-PT 2801260 1PT-IQ-4X1-5DC-PT 2801267 1PT-IQ-4X1+F-5DC-PT 2801268 1
PT-IQ-2X2+F-12DC-PT 2801262 1PT-IQ-4X1-12DC-PT 2801269 1PT-IQ-4X1+F-12DC-PT 2801270 1
PT-IQ-2X2+F-24DC-PT 2801264 1PT-IQ-4X1-24DC-PT 2801271 1PT-IQ-4X1+F-24DC-PT 2801272 1
PT-IQ-2X2+F-48DC-PT 2801266 1PT-IQ-4X1-48DC-PT 2801273 1PT-IQ-4X1+F-48DC-PT 2801274 1
77
PHOENIX CONTACT
Surge protection and interference suppression filters
Surge protection for MCR technology
H
W
D
2 double wires (loops), floating, connection
9/10 grounded via gas-filled surge arrester,
e.g., for 4 ... 20mA current loop
4-wire with common reference potential,
connection 9/10 grounded directly, e.g., for
binary signals
4-wire with common reference potential,
connection 9/10 grounded via gas-filled surge
arrester, e.g., for binary signals
H
W
D
H
W
D
10VAC

5
1
3
6
2
4
12
10
8 FM
FM
DC +
DC –
Power
SPD
DC +
DC –
DC –
FM
7
11
9
3
8
12
10
4
protectedunprotected
Technical data Technical data
Electrical data ... 5DC ... 12DC
IEC test classification/EN type - C1 / C2 / C3 / D1 C1 / C2 / C3 / D1 C1 / C2 / C3 / D1 C1 / C2 / C3 / D1 C1 / C2 / C3 / D1 C1 / C2 /
Maximum continuous operating voltage U
C
- 6VDC / 4VAC 15VDC / 10VAC 6VDC / 4VAC 15VDC / 10VAC 6VDC / 4VAC 15VDC / 10VAC 6VDC / 4VAC 15VDC / 10VAC
Impulse discharge curr. I
imp
(10/350) μs
Per path - 2.5 kA 2.5 kA 2.5 kA 2.5 kA 2.5 kA 2.5 kA 2.5 kA 2.5 kA
Nominal current I
N
max. 130 mA (24 V DC) 600 mA (40°C) 600 mA (40°C) 600 mA (40°C) 600
Nominal discharge current I
n
(8/20) µs
Core-Core / Core-Ground - / - 10 kA / 10 kA 10 kA / 10 kA 10 kA / 10 kA 10 kA / 10 kA 10 kA / 10 kA 10 kA / 10 kA 10 kA / 10 kA 10 kA /
Total surge current (8/20) µs 20 kA 20 kA 20 kA 20 kA 20 kA 20 kA 20 kA 20 kA
Protection level U
p
Core-Core ≤ 30 V (C3 - 25 A) ≤ 40 V (C3 - 25 A)
Core-Ground ≤ 30 V (C3 - 25 A) ≤ 90 V (C1 - 1 kV/500 A)
Resistance per path - 1.2 Ω1.2 Ω
General data
PT-IQ...PT dimensions W / H / D 17.7 mm / 109.3 mm / 77.5 mm 17.7 mm / 109.3 mm / 77.5 mm 17.7 mm / 109.3 mm / 77.5 mm 17.7 mm / 10
PT-IQ...UT dimensions W / H / D 17.7 mm / 91.1 mm / 77.5 mm 17.7 mm / 91.1 mm / 77.5 mm 17.7 mm / 91.1 mm / 77.5 mm 17.7 mm / 91 mm
Connection data, push-in solid / stranded with ferrule / AWG 0.2 ... 4 mm² / 0.2 ... 2.5 mm² / 24 - 12 0.2 ... 4 mm² / 0.2 ... 2.5 mm² / 24 - 12 0.2 ... 4 mm² / 0.2 ... 2.5 mm² / 24 - 12 0.2 ... 4 mm² / 0.2 ... 2.5 mm² / 24 - 12 0.2 ... 4 mm² / 0.2 ... 2.5 mm
Connection data solid / stranded with ferrule / AWG 0.2 ... 4 mm² / 0.2 ... 2.5 mm² / 24 - 12 0.2 ... 4 mm² / 0.2 ... 2.5 mm² / 24 - 12 0.2 ... 4 mm² / 0.2 ... 2.5 mm² / 24 - 12 0.2 ... 4 mm² / 0.2 ... 2.5 mm² / 24 - 12 0.2 ... 4 mm² / 0.2 ... 2.5 mm² / 24 -
Temperature range -40°C ... 70°C -40°C ... 70°C
Degree of protection in acc. with IEC 60529/EN 60529 IP20 IP20
Inflammability class in acc. with UL 94 V0 V0
Test standards EN 61000-6-2 / EN 61000-6-3/A1 / EN 60950-1/A2 EN 61643-21/A1 / IEC 61643-21/A2 / EN 61000-6-2/A1 / EN 61643-21/A1
-EN 61000-6-3
Remote indication contact 2x N/C contacts Via TBUS
Connection data solid / AWG 0.2 ... 4 mm² / 24 - 14 - / -
Max. operating voltage 30 V AC (50 - 60 Hz, non-Ex) / 50 V DC (non-Ex) -
Max. operating current 1 A (up to 50°C, non-Ex) / 200 mA (up to 70°C, non-Ex) - / -
Ordering data Ordering data
Description Voltage U
N
Type Order No. Pcs. /
Pkt. Type Order No. Pcs. /
Pkt.
PLUGTRAB supply module
with screw connection technology 24 V DC PT-IQ-PTB-UT 2800768 1
with push-in connection technology 24 V DC PT-IQ-PTB-PT 2801296 1
MCR-PLUGTRAB, with screw connection technology
5VDC PT-IQ-3-PB-UT 2800785 1
12VDC PT-IQ-3-HF-12DC-UT 2800786 1
MCR-PLUGTRAB, with push-in connection technology
5VDC PT-IQ-3-PB-PT 2801286 1
12VDC PT-IQ-3-HF-12DC-PT 2801288 1
78
PHOENIX CONTACT
– Multi-stage status monitoring
– Group indication via supply and remote
signaling module
– Multi-stage, floating remote signaling
– System supplied via DIN rail bus
– Up to 28 protection modules per supply
module
– Maximum ease of maintenance, thanks to
the two-piece design
– Plugs are coded
– Impedance-neutral disconnection of plug
for maintenance purposes
– PT-IQ...-UT base element with screw
connection technology
– Base element remains an integral part of
the installation
– PT-IQ...-PT base element with push-in
connection technology
– Corresponding replacement plugs can be
found on our website
PLUGTRAB PT-IQ for three wires or
5-wire
Surge protection and interference suppression filters
Surge protection for MCR technology
Controller for supply and remote signaling 3-wire protection for fieldbus and serial
interface, connection 9/10 grounded directly
H
W
D
H
W
D

7
11
9
3
8
12
10
4
protectedunprotected
protectedunprotected
7
11
5
1
9
3
2
6
8
12
10
4
protectedunprotected
7
11
5
1
9
3
2
6
8
12
10
4
For further information and full technical data, visit phoenixcontact.net/products
Technical data Technical data Technical data
... 5DC ... 12DC ... 5DC ... 12DC ... 5DC ... 12DC
IEC test classification/EN type - C1 / C2 / C3 / D1 C1 / C2 / C3 / D1 C1 / C2 / C3 / D1 C1 / C2 / C3 / D1 C1 / C2 / C3 / D1 C1 / C2 / C3 / D1 C1 / C2 / C3 / D1 C1 / C2 / C3 / D1
- 6VDC / 4VAC 15VDC / 10VAC 6VDC / 4VAC 15VDC / 10VAC 6VDC / 4VAC 15VDC / 10VAC 6VDC / 4VAC 15VDC / 10VAC
Per path - 2.5 kA 2.5 kA 2.5 kA 2.5 kA 2.5 kA 2.5 kA 2.5 kA 2.5 kA
max. 130 mA (24 V DC) 600 mA (40°C) 600 mA (40°C) 600 mA (40°C) 600 mA (40°C) 600 mA (40°C) 600 mA (40°C) 600 mA (40°C) 600 mA (40°C)
Core-Core / Core-Ground - / - 10 kA / 10 kA 10 kA / 10 kA 10 kA / 10 kA 10 kA / 10 kA 10 kA / 10 kA 10 kA / 10 kA 10 kA / 10 kA 10 kA / 10 kA
20 kA 20 kA 20 kA 20 kA 20 kA 20 kA 20 kA 20 kA
≤ 30 V (C3 - 25 A) ≤ 40 V (C3 - 25 A) ≤ 30 V (C3 - 25 A) ≤ 40 V (C3 - 25 A) ≤ 30 V (C3 - 25 A) ≤ 40 V (C3 - 25 A)
≤ 900 V (C3 - 25 A) ≤ 730 V (C1 - 1 kV/500 A) ≤ 30 V (C3 - 25 A) ≤ 40 V (C3 - 25 A) ≤ 900 V (C3 - 25 A) ≤ 900 V (C3 - 25 A)
1.2 Ω1.2 Ω1.2 Ω1.2 Ω1.2 Ω1.2 Ω
PT-IQ...PT dimensions W / H / D 17.7 mm / 109.3 mm / 77.5 mm 17.7 mm / 109.3 mm / 77.5 mm 17.7 mm / 109.3 mm / 77.5 mm 17.7 mm / 109.3 mm / 77.5 mm 17.7 mm / 109.3 mm / 77.5 mm
PT-IQ...UT dimensions W / H / D 17.7 mm / 91.1 mm / 77.5 mm 17.7 mm / 91.1 mm / 77.5 mm 17.7 mm / 91.1 mm / 77.5 mm 17.7 mm / 91 mm / 77.5 mm 17.7 mm / 91 mm / 77.5 mm
5 mm² / 24 - 12 0.2 ... 4 mm² / 0.2 ... 2.5 mm² / 24 - 12 0.2 ... 4 mm² / 0.2 ... 2.5 mm² / 24 - 12 0.2 ... 4 mm² / 0.2 ... 2.5 mm² / 24 - 12
4 - 12 0.2 ... 4 mm² / 0.2 ... 2.5 mm² / 24 - 12 0.2 ... 4 mm² / 0.2 ... 2.5 mm² / 24 - 12 0.2 ... 4 mm² / 0.2 ... 2.5 mm² / 24 - 12
-40°C ... 70°C -40°C ... 70°C -40°C ... 70°C
IP20 IP20 IP20
V0 V0 V0
Test standards EN 61000-6-2 / EN 61000-6-3/A1 / EN 60950-1/A2 EN 61643-21/A1 / IEC 61643-21/A2 / EN 61000-6-2/A1 / EN 61643-21/A1 / IEC 61643-21/A2 / EN 61000-6-2/A1 / EN 61643-21/A1 / IEC 61643-21/A2 / EN 61000-6-2/A1 / EN 61643-21/A1 / IEC 61643-21/A2 / EN 61000-6-2/A1 /
EN 61000-6-3 EN 61000-6-3 EN 61000-6-3
Via TBUS Via TBUS Via TBUS
- / - - / - - / -
- --
- / - - / - - / -
Ordering data Ordering data Ordering data
Type Order No. Pcs. /
Pkt. Type Order No. Pcs. /
Pkt. Type Order No. Pcs. /
Pkt.
PT-IQ-3-PB+F-UT 2800994 1PT-IQ-5-HF-5DC-UT 2800797 1PT-IQ-5-HF+F-5DC-UT 2800798 1
PT-IQ-3-HF+F-12DC-UT 2800995 1PT-IQ-5-HF-12DC-UT 2800799 1PT-IQ-5-HF+F-12DC-UT 2800801 1
PT-IQ-3-PB+F-PT 2801287 1PT-IQ-5-HF-5DC-PT 2801291 1PT-IQ-5-HF+F-5DC-PT 2801292 1
PT-IQ-3-HF+F-12DC-PT 2801289 1PT-IQ-5-HF-12DC-PT 2801293 1PT-IQ-5-HF+F-12DC-PT 2801295 1
79
PHOENIX CONTACT
Surge protection and interference suppression filters
Surge protection for MCR technology
H
W
D
3-wire protection for fieldbus and serial
interface, connection 9/10 grounded via gas-
filled surge arrester
5-wire protection for fieldbus and serial
interface, connection 9/10 grounded directly
5-wire protection for fieldbus and serial
interface, connection 9/10 grounded via gas-
filled surge arrester
H
W
D
H
W
D

7
11
9
3
8
12
10
4
protectedunprotected
7
11
9
3
8
12
10
4
protectedunprotected
Technical data Technical data
Electrical data ... 24DC ... 24DC
IEC test classification/EN type C1 / C2 / C3 / D1 / B2 C1 / C2 / C3 / D1 / B2
Maximum continuous operating voltage U
C
180 V DC 180 V DC
Impulse discharge curr. I
imp
(10/350) μs
Per path 2.5 kA 2.5 kA
Nominal current I
N
150 mA (25°C) 150 mA (25°C)
Nominal discharge current I
n
(8/20) µs
Core-Core / Core-Ground 10 kA / 10 kA 10 kA / 10 kA
Total surge current (8/20) µs
Protection level U
p
Core-Core ≤ 290 V (C3 - 50 A) ≤ 290 V (C3 - 50 A)
Core-Ground ≤ 700 V (C3 - 50 A) ≤ 700 V (C3 - 50 A)
Cut-off frequency fg (3 dB)
Symmetrical in the 150 Ω system typ. 25 MHz typ. 25 MHz
Resistance per path 1.2 Ω1.2 Ω
General data
Dimensions W / H / D 17.7 mm / 91.1 mm / 77.5 mm 17.7 mm / 109.3 mm / 77.5 mm
Connection data solid / stranded / AWG 0.2 ... 4 mm² / 0.2 ... 2.5 mm² / 24 - 12 0.2 ... 4 mm² / 0.2 ... 2.5 mm² / 24 - 12
Temperature range -40°C ... 70°C -40°C ... 70°C
Degree of protection in acc. with IEC 60529/EN 60529 IP20 IP20
Inflammability class in acc. with UL 94 V-0 V-0
Test standards IEC 61643-21 / EN 61643-21 / EN 61000-6-2 / IEC 61643-21 / EN 61643-21 / EN 61000-6-2 /
EN 61000-6-3 EN 61000-6-3
Remote indication contact Via TBUS Via TBUS
Ordering data Ordering data
Description Voltage U
N
Type Order No. Pcs. /
Pkt. Type Order No. Pcs. /
Pkt.
DATA-PLUGTRAB, with screw connection technology
180 V DC PT-IQ-1X2-TELE-UT 2800769 1
DATA-PLUGTRAB, with push-in connection technology
180 V DC PT-IQ-1X2-TELE-PT 2801290 1
Accessories Accessories
Replacement plug
PT-IQ-1X2-TELE-P 2800782 1PT-IQ-1X2-TELE-P 2800782 1
PLUGTRAB supply module
with screw connection technology PT-IQ-PTB-UT 2800768 1
with push-in connection technology PT-IQ-PTB-PT 2801296 1
80
PHOENIX CONTACT
– Multi-stage status monitoring
– Group indication via supply and remote
signaling module
– Multi-stage, floating remote signaling
– System supplied via DIN rail bus
– Up to 28 protection modules per supply
module
– Maximum ease of maintenance, thanks to
the two-piece design
– Plugs are coded
– Impedance-neutral disconnection of plug
for maintenance purposes
– Base element remains an integral part of
the installation
– PT-IQ...-UT base element with screw
connection technology
– PT-IQ...-PT base element with push-in
connection technology
– Corresponding replacement plugs can be
found on our website
H
W
D
new
H
W
D
new
PLUGTRAB PT-IQ for
telecommunications systems
Surge protection and interference suppression filters
Surge protection for MCR technology
Double wire (loop), floating, connection 9/10
grounded directly, e.g., for DSL applications
Double wire (loop), floating, connection 9/10
grounded directly, e.g., for DSL applications

7
11
9
3
8
12
10
4
protectedunprotected
1
5
3
9
7
11
2
6
4
10
8
12
protectedunprotected
For further information and full technical data, visit phoenixcontact.net/products
Ex:
Ex:
Technical data Technical data
Electrical data ... 24DC ... 24DC
IEC test classification/EN type C1 / C2 / C3 / D1 C1 / C2 / C3 / D1
Maximum continuous operating voltage U
C
30VDC / 21VAC 30VDC / 21VAC
Impulse discharge curr. I
imp
(10/350) μs
Per path 2 kA 2 kA
Nominal current I
N
350 mA 350 mA
Nominal discharge current I
n
(8/20) µs
Core-Core / Core-Ground 10 kA / 10 kA 10 kA / 10 kA
Total surge current (8/20) µs 20 kA 20 kA
Protection level U
p
Core-Core ≤ 50 V (C3 - 25 A) ≤ 50 V (C3 - 25 A)
Core-Ground ≤ 1.3 kV (C3 - 100 A) ≤ 1.3 kV (C3 - 100 A)
Cut-off frequency fg (3 dB)
Symmetrical in the 150 Ω system typ. 1.1 MHz typ. 1.1 MHz
Resistance per path 1.2 Ω1.2 Ω
General data
Dimensions W / H / D 17.7 mm / 91.1 mm / 77.5 mm 17.7 mm / 91.1 mm / 77.5 mm
Connection data solid / stranded with ferrule / AWG 0.2 ... 4 mm² / 0.2 ... 2.5 mm² / 24 - 12 0.2 ... 4 mm² / 0.2 ... 2.5 mm² / 24 - 12
Temperature range -40°C ... 70°C -40°C ... 70°C
Degree of protection in acc. with IEC 60529/EN 60529 IP20 IP20
Inflammability class in acc. with UL 94 V0 V0
Test standards EN 61643-21/A2 / IEC 61643-21/A2 / EN 61000-6-2 / EN 61643-21/A2 / IEC 61643-21/A2 / EN 61000-6-2 /
EN 61000-6-3/A1 EN 61000-6-3/A1
Remote indication contact Via TBUS Via TBUS
Ordering data Ordering data
Description Voltage U
N
Type Order No. Pcs. /
Pkt. Type Order No. Pcs. /
Pkt.
MCR-PLUGTRAB, with screw connection technology
24VDC PT-IQ-1X2-EX-24DC-UT 2801512 1PT-IQ-2X2-EX-24DC-UT 2801513 1
Accessories Accessories
Replacement plug
24VDC PT-IQ-1X2-EX-24DC-P 2801514 1PT-IQ-2X2-EX-24DC-P 2801515 1
PLUGTRAB supply module
with screw connection technology PT-IQ-PTB-UT 2800768 1PT-IQ-PTB-UT 2800768 1
81
PHOENIX CONTACT
– Tailored to the special requirements of
intrinsically safe circuits
– Multi-stage status monitoring
– Group indication via supply and remote
signaling module
– Multi-stage, floating remote signaling
– System supplied via DIN rail bus
– Up to 10 protection modules per supply
module
– Maximum ease of maintenance, thanks to
the two-piece design
– Plugs are coded
– Impedance-neutral disconnection of plug
for maintenance purposes
– Base element remains an integral part of
the installation
– Corresponding replacement plugs can be
found on our website
H
W
D
H
W
D
PLUGTRAB PT-IQ EX
with screw connection
Surge protection and interference suppression filters
Surge protection for MCR technology
Double wire (loop), floating, connection 9/10
grounded directly, e.g., for 4 ... 20mA current
loop
2 double wires (loops), floating, connection
9/10 grounded directly, e.g., for 4 ... 20mA
current loop

*
IN
OUT
4
3
10
9
2
1
12
11
6
5
8
7
Ex:
Technical data
Electrical data ... 5DC ... 12DC ... 24DC
IEC test classification/EN type C1 / C2 / C3 /
D1
C1 / C2 / C3 /
D1
C1 / C2 / C3 /
D1
Maximum continuous operating voltage U
C
6VDC /
4VAC
13 V DC /
9VAC
28 V DC /
20VAC
Impulse discharge curr. I
imp
(10/350) μs
Per path 2.5 kA 2.5 kA 2.5 kA 2.5 kA 2.5 kA 2.5 kA 2.5 kA 2.5 kA 2.5 kA 2.5 kA 2.5 kA 2.5 kA
Nominal current I
N
450 mA (45°C) 450 mA (45°C) 450 mA (45°C) 450 mA (45°C) 450 mA (45°
Nominal discharge current I
n
(8/20) µs
Core-Core / Core-Ground 10 kA / 10 kA 10 kA / 10 kA 10 kA / 10 kA 10 kA / 10 kA 10 kA / 10 kA - / 10 kA - / 10 kA - / 10 kA - / 10 kA - /
Total surge current (8/20) µs 20 kA 20 kA 20 kA 20 kA 20 kA 20 kA 20 kA 20 kA 20 kA 20 kA 20 kA 20 kA
Output voltage limitation at 1 kV/µs
Core-Core ≤ 10 V ≤ 18 V ≤ 40 V
Core-Ground - - - - -
Cut-off frequency fg (3 dB)
Symmetrical / asymmetrical in the 50 Ω system typ. 1 MHz / - typ. 3 MHz / - typ. 4.5 MHz / - typ. 4 MHz / - typ. 8 MHz / - - / typ. 1 MHz - / typ. 3 MHz - / typ. 6 MHz - / ty
Resistance per path 2.2 Ω2.2 Ω- 2.2
General data
Dimensions W / H / D 17.7 mm / 90 mm / 65.5 mm 17.7 mm / 90 mm / 65.5 mm 17.7 mm / 90 mm / 65.5 mm 17.7 mm / 90 mm / 65.5 mm
Connection data solid / stranded / AWG 0.2 ... 4 mm² / 0.2 ... 2.5 mm² / 24 - 12 0.2 ... 4 mm² / 0.2 ... 2.5 mm² / 24 - 12 0.2 ...
Temperature range -40°C ... 85°C
Degree of protection in acc. with IEC 60529/EN 60529 IP20
Inflammability class in acc. with UL 94 V0
Test standards IEC 61643-21
Ordering data
Description Voltage U
N
Type Order No. Pcs. /
Pkt.
PLUGTRAB plug, with protective circuit for plugging into PT base
element
5VDC PT 2X2- 5DC-ST 2838241 10
12VDC PT 2X2-12DC-ST 2838254 10
24VDC PT 2X2-24DC-ST 2838228 10
48VDC
12VAC
24VAC
48VAC
PLUGTRAB base element, for mounting on NS35
Bridge between 3/4 () and 9/10 PT 2X2-BE 2839208 10
Gas-filled surge arrester between 3/4 () and 9/10 PT 2X2+F-BE 2839224 10
Accessories
Shield fast connection
For Ø 3-6 mm SSA 3-6 2839295 10
For Ø 5-10 mm SSA 5-10 2839512 10
82
PHOENIX CONTACT
MCR-PLUGTRAB PT, two double
wires or 4-wire
– Consistent plug-in signal circuit
protection
– Maximum ease of maintenance thanks to
the two-piece design
– Base element remains an integral part of
the installation
– Impedance-neutral disconnection of plug
for test and maintenance purposes
– Plugs can be checked with
CHECKMASTER
PT 2x2...
– Protection for two separate floating signal
circuits
– Installed in conjunction with the PT
2x2...-BE base element
PT 4x1...
– Protection for four wires with common
reference potential
– Installed in conjunction with the PT
4x1...-BE base element
* Note:
Various grounding options for the base
elements:
PT .x.-BE connection 9/10 (GND) directly
connected to the mounting foot.
PT .x.+F-BE connection 9/10 (GND)
connected to the mounting foot via a
gas-filled surge arrester.
Surge protection and interference suppression filters
Surge protection for MCR technology
H
W
D
2 double wires (loops), floating, e.g., for
4 ... 20mA current loops

*
IN
OUT
4
3
10
9
2
1
12
11
6
5
8
7
*
IN
OUT
2
1
10
9
8
7
12
11
6
5
4
3
*
IN
OUT
2
1
10
9
8
7
12
11
6
5
4
3
For further information and full technical data, visit phoenixcontact.net/products
Ex:
Ex:
Technical data Technical data Technical data
... 12AC ... 24AC ... 5DC ... 12DC ... 24DC ... 48DC ... 12AC ... 24AC ... 48AC
C1 / C2 / C3 / D1 C1 / C2 / C3 /
D1
C1 / C2 / C3 /
D1
C1 / C2 / C3 /
D1
C1 / C2 / C3 /
D1
C1 / C2 / C3 /
D1
C1 / C2 / C3 /
D1
C1 / C2 / C3 /
D1
C1 / C2 / C3 /
D1
18 V DC /
13 V AC
40 V DC /
28VAC
6 V DC /
4 V AC
13 V DC /
9 V AC
28VDC /
20VAC
53 V DC /
37VAC
18VDC /
13VAC
40VDC /
28 V AC
77VDC /
55VAC
Per path 2.5 kA 2.5 kA 2.5 kA 2.5 kA 2.5 kA 2.5 kA 2.5 kA 2.5 kA 2.5 kA 2.5 kA 2.5 kA 2.5 kA
450 mA (45°C) 450 mA (45°C) 450 mA (45°C) 450 mA (45°C) 450 mA (45°C) 300 mA (45°C) 300 mA (45°C) 300 mA (45°C) 300 mA (45°C) 300 mA (45°C) 300 mA (45°C) 300 mA (45°C)
Core-Core / Core-Ground 10 kA / 10 kA 10 kA / 10 kA 10 kA / 10 kA 10 kA / 10 kA 10 kA / 10 kA - / 10 kA - / 10 kA - / 10 kA - / 10 kA - / 10 kA - / 10 kA - / 10 kA
Total surge current (8/20) µs 20 kA 20 kA 20 kA 20 kA 20 kA 20 kA 20 kA 20 kA 20 kA 20 kA 20 kA 20 kA
≤ 25 V ≤ 55 V ---- ---
Core-Ground - - - - - ≤ 10 V ≤ 18 V ≤ 40 V ≤ 70 V ≤ 25 V ≤ 55 V ≤ 110 V (BE: 4x1)
system typ. 1 MHz / - typ. 3 MHz / - typ. 4.5 MHz / - typ. 4 MHz / - typ. 8 MHz / - - / typ. 1 MHz - / typ. 3 MHz - / typ. 6 MHz - / typ. 9 MHz - / typ. 4 MHz - / typ. 8 MHz - / typ. 10 MHz
- 2.2 Ω2.2 Ω4.7 Ω4.7 Ω4.7 Ω4.7 Ω4.7 Ω4.7 Ω4.7 Ω
Dimensions W / H / D 17.7 mm / 90 mm / 65.5 mm 17.7 mm / 90 mm / 65.5 mm 17.7 mm / 90 mm / 65.5 mm 17.7 mm / 90 mm / 65.5 mm
Connection data solid / stranded / AWG 0.2 ... 4 mm² / 0.2 ... 2.5 mm² / 24 - 12 0.2 ... 4 mm² / 0.2 ... 2.5 mm² / 24 - 12 0.2 ... 4 mm² / 0.2 ... 2.5 mm² / 24 - 12 0.2 ... 4 mm² / 0.2 ... 2.5 mm² / 24 - 12
-40°C ... 85°C -40°C ... 85°C -40°C ... 85°C
IP20 IP20 IP20
V0 V0 V0
IEC 61643-21 IEC 61643-21 IEC 61643-21
Ordering data Ordering data Ordering data
Type Order No. Pcs. /
Pkt. Type Order No. Pcs. /
Pkt. Type Order No. Pcs. /
Pkt.
PT 4X1- 5DC-ST 2838306 10
PT 4X1-12DC-ST 2838319 10
PT 4X1-24DC-ST 2838322 10
PT 4X1-48DC-ST 2858014 10
PT 2X2-12AC-ST 2838270 10 PT 4X1-12AC-ST 2838348 10
PT 2X2-24AC-ST 2838283 10 PT 4X1-24AC-ST 2838351 10
PT 4X1-48AC-ST 2804856 10
PT 2X2-BE 2839208 10 PT 4X1-BE 2839363 10 PT 4X1-BE 2839363 10
PT 2X2+F-BE 2839224 10 PT 4X1+F-BE 2839376 10 PT 4X1+F-BE 2839376 10
Accessories Accessories Accessories
SSA 3-6 2839295 10 SSA 3-6 2839295 10 SSA 3-6 2839295 10
SSA 5-10 2839512 10 SSA 5-10 2839512 10 SSA 5-10 2839512 10
83
PHOENIX CONTACT
Surge protection and interference suppression filters
Surge protection for MCR technology
H
W
D
H
W
D
H
W
D
2 double wires (loops), floating, e.g., for
4 ... 20mA current loops
4-wire, with common reference potential, e.g.,
for binary signals
4-wire, with common reference potential, e.g.,
for binary signals

*
IN
OUT
109
43
87
1211
Technical data
Electrical data ... 5DC ... 12DC ... 24DC ... 48DC
IEC test classification/EN type C1 / C2 / C3 /
D1
C1 / C2 / C3 /
D1
C1 / C2 / C3 /
D1
C1 / C2 / C3 /
D1
Maximum continuous operating voltage U
C
6VDC /
4VAC
13 V DC /
9VAC
28 V DC /
20VAC
53 V DC /
37 V AC
Impulse discharge curr. I
imp
(10/350) μs
Per path 2.5 kA 2.5 kA 2.5 kA 2.5 kA 2.5 kA 2.5 kA 2.5 kA 2.5 kA 2.5 kA 2.5 kA 2.5 kA
Nominal current I
N
450 mA (45°C) 450 mA (45°C) 450 mA (45°C) 450 mA (45°C) 450 mA (45°
Nominal discharge current I
n
(8/20) µs
Core-Core / Core-Ground 10 kA / 10 kA 10 kA / 10 kA 10 kA / 10 kA 10 kA / 10 kA 10 kA / 10 kA 10 kA / 10 kA - / 10 kA - / 10 kA - / 10 k
Total surge current (8/20) µs 20 kA 20 kA 20 kA 20 kA 20 kA 20 kA 20 kA 20 kA 20 kA 20 kA 20 kA
Output voltage limitation at 1 kV/µs
Core-Core ≤ 10 V ≤ 18 V ≤ 40 V ≤ 70 V
Core-Ground---- - -
Cut-off frequency fg (3 dB)
Symmetrical / asymmetrical in the 50 Ω system typ. 1 MHz / - typ. 3 MHz / - typ. 4.5 MHz / - typ. 10 MHz / - typ. 4 MHz / - typ. 8 MHz / - - / typ. 1 MHz - / typ. 3 MHz - / t
Resistance per path 2.2 Ω2.2 Ω2.2 Ω2.2 Ω
General data
Dimensions W / H / D 17.7 mm / 90 mm / 65.5 mm 17.7 mm / 90 mm / 65.5 mm 17.7 mm / 90 mm / 65.5 mm 17.7 mm / 90 mm / 65.5 mm
Connection data solid / stranded / AWG 0.2 ... 4 mm² / 0.2 ... 2.5 mm² / 24 - 12 0.2 ... 4 mm² / 0.2 ... 2.5 mm² / 24 - 12 0.2 ...
Temperature range -40°C ... 85°C
Degree of protection in acc. with IEC 60529/EN 60529 IP20
Inflammability class in acc. with UL 94 V0
Test standards IEC 61643-21
Ordering data
Description Voltage U
N
Type Order No. Pcs. /
Pkt.
PLUGTRAB plug, with protective circuit for plugging into PT base
element
5VDC PT 1X2- 5DC-ST 2856016 10
12VDC PT 1X2-12DC-ST 2856029 10
24VDC PT 1X2-24DC-ST 2856032 10
12VAC
24VAC
48VDC PT 1X2-48DC-ST 2803658 10
PLUGTRAB base element, for mounting on NS35
Bridge between 3/4 () and 9/10 PT 1X2-BE 2856113 10
Gas-filled surge arrester between 3/4 () and 9/10 PT 1X2+F-BE 2856126 10
Accessories
Shield fast connection
For Ø 3-6 mm SSA 3-6 2839295 10
For Ø 5-10 mm SSA 5-10 2839512 10
84
PHOENIX CONTACT
MCR-PLUGTRAB PT, one double
wire or 2-wire
– Consistent plug-in signal circuit
protection
– Maximum ease of maintenance thanks to
the two-piece design
– Base element remains an integral part of
the installation
– Impedance-neutral disconnection of plug
for test and maintenance purposes
– Plugs can be checked with
CHECKMASTER
PT 1x2...
– Protection for a floating signal circuit
– Installed in conjunction with the PT
1x2...-BE base element
PT 2x1...
– Protection for two wires with common
reference potential
– Installed in conjunction with the PT
2x1...-BE base element
* Note:
Various grounding options for the base
elements:
PT .x.-BE connection 9/10 (GND) directly
connected to the mounting foot.
PT .x.+F-BE connection 9/10 (GND)
connected to the mounting foot via a
gas-filled surge arrester.
Surge protection and interference suppression filters
Surge protection for MCR technology
H
W
D
Double wire (loop), floating, e.g., for 4 ... 20mA
current loops

*
IN
OUT
109
43
87
1211
*
IN
OUT
8
7
10
9
12
11
4
3
*
IN
OUT
8
7
10
9
12
11
4
3
For further information and full technical data, visit phoenixcontact.net/products
Ex:
Ex:
Ex:
Technical data Technical data Technical data
... 12AC ... 24AC ... 5DC ... 12DC ... 24DC ... 12AC ... 24AC
C1 / C2 / C3 /
D1
C1 / C2 / C3 /
D1
C1 / C2 / C3 /
D1
C1 / C2 / C3 /
D1
C1 / C2 / C3 /
D1
C1 / C2 / C3 /
D1
C1 / C2 / C3 /
D1
18 V DC /
13 V AC
40 V DC /
28VAC
6 V DC /
4 V AC
13 V DC /
9 V AC
28VDC /
20VAC
18VDC /
13VAC
40VDC /
28VAC
Per path 2.5 kA 2.5 kA 2.5 kA 2.5 kA 2.5 kA 2.5 kA 2.5 kA 2.5 kA 2.5 kA 2.5 kA 2.5 kA
450 mA (45°C) 450 mA (45°C) 450 mA (45°C) 450 mA (45°C) 450 mA (45°C) 450 mA (45°C) 300 mA (45°C) 300 mA (45°C) 300 mA (45°C) 300 mA (45°C) 300 mA (45°C)
Core-Core / Core-Ground 10 kA / 10 kA 10 kA / 10 kA 10 kA / 10 kA 10 kA / 10 kA 10 kA / 10 kA 10 kA / 10 kA - / 10 kA - / 10 kA - / 10 kA - / 10 kA - / 10 kA
Total surge current (8/20) µs 20 kA 20 kA 20 kA 20 kA 20 kA 20 kA 20 kA 20 kA 20 kA 20 kA 20 kA
≤ 25 V ≤ 55 V --- - -
Core-Ground---- - - ≤ 10 V ≤ 18 V ≤ 40 V ≤ 25 V ≤ 55 V
system typ. 1 MHz / - typ. 3 MHz / - typ. 4.5 MHz / - typ. 10 MHz / - typ. 4 MHz / - typ. 8 MHz / - - / typ. 1 MHz - / typ. 3 MHz - / typ. 4.5 MHz - / typ. 4 MHz - / typ. 8 MHz
2.2 Ω2.2 Ω4.7 Ω4.7 Ω4.7 Ω4.7 Ω4.7 Ω
Dimensions W / H / D 17.7 mm / 90 mm / 65.5 mm 17.7 mm / 90 mm / 65.5 mm 17.7 mm / 90 mm / 65.5 mm 17.7 mm / 90 mm / 65.5 mm
Connection data solid / stranded / AWG 0.2 ... 4 mm² / 0.2 ... 2.5 mm² / 24 - 12 0.2 ... 4 mm² / 0.2 ... 2.5 mm² / 24 - 12 0.2 ... 4 mm² / 0.2 ... 2.5 mm² / 24 - 12 0.2 ... 4 mm² / 0.2 ... 2.5 mm² / 24 - 12
-40°C ... 85°C -40°C ... 85°C -40°C ... 85°C
IP20 IP20 IP20
V0 V0 V0
IEC 61643-21 IEC 61643-21 IEC 61643-21
Ordering data Ordering data Ordering data
Type Order No. Pcs. /
Pkt. Type Order No. Pcs. /
Pkt. Type Order No. Pcs. /
Pkt.
PT 2X1- 5DC-ST 2856061 10
PT 2X1-12DC-ST 2856074 10
PT 2X1-24DC-ST 2856087 10
PT 1X2-12AC-ST 2856045 10 PT 2X1-12AC-ST 2856090 10
PT 1X2-24AC-ST 2856058 10 PT 2X1-24AC-ST 2856100 10
PT 1X2-BE 2856113 10 PT 2X1-BE 2856139 10 PT 2X1-BE 2856139 10
PT 1X2+F-BE 2856126 10 PT 2X1+F-BE 2856142 10 PT 2X1+F-BE 2856142 10
Accessories Accessories Accessories
SSA 3-6 2839295 10 SSA 3-6 2839295 10 SSA 3-6 2839295 10
SSA 5-10 2839512 10 SSA 5-10 2839512 10 SSA 5-10 2839512 10
85
PHOENIX CONTACT
Surge protection and interference suppression filters
Surge protection for MCR technology
H
W
D
H
W
D
H
W
D
Double wire (loop), floating, e.g., for 4 ... 20mA
current loops
2-wire, with common reference potential, e.g.,
for binary signals
2-wire, with common reference potential, e.g.,
for binary signals

*
IN
OUT
2
1
6
5
8
7
12
11
10
9
4
3
IN
OUT
12(+)
11(+)
7(-) 8(-)
56
12
34
Technical data Technical data
Electrical data ... 5DC ... 12DC ... 24DC ... 24AC Mains protection Data protection
IEC test classification/EN type C1 / C2 / C3 /
D1
C1 / C2 / C3 /
D1
C1 / C2 / C3 /
D1
C1 / C2 / C3 /
D1
III / T3 C1 / C2 / C3 /
D1
Maximum continuous operating voltage U
C
6VDC /
4VAC
12.8 V DC /
9VAC
27 V DC /
19VAC
40 V DC /
28 V AC
44 V DC /
34 V AC
40 V DC /
28VAC
Impulse discharge curr. I
imp
(10/350) μs
Per path 2.5 kA 2.5 kA 2.5 kA 2.5 kA - 2.5 kA
Nominal current I
N
2 A (80°C) 2 A (80°C) 2 A (80°C) 2 A AC (80°C) 6 A (30°C) 450 mA (45°C)
Nominal discharge current I
n
(8/20) µs
Core-Core / Core-Ground 720 A / 10 kA 690 A / 10 kA 365 A / 10 kA 187 A / 10 kA 700 A / 700 A 10 kA / 10 kA
Total surge current (8/20) µs 20 kA 20 kA 20 kA 20 kA - 20 kA
Max. discharge current I
max.
(8/20) µs 10 kA 10 kA 10 kA 10 kA 2 kA 10 kA
Output voltage limitation at 1 kV/µs
Core-Core ≤ 10 V ≤ 18 V ≤ 40 V ≤ 75 V - ≤ 55 V
Core-Ground ≤ 450 V ≤ 450 V ≤ 450 V (PT 4-
BE)
≤ 450 V (PT 4-
BE)
- 450 V
General data
Dimensions W / H / D 17.7 mm / 90 mm / 65.5 mm 17.7 mm / 90 mm / 65.5 mm
Connection data solid / stranded / AWG 0.2 ... 4 mm² / 0.2 ... 2.5 mm² / 24 - 12 0.2 ... 4 mm² / 0.2 ... 2.5 mm² / 24 - 12
Temperature range -40°C ... 85°C -40°C ... 85°C
Degree of protection in acc. with IEC 60529/EN 60529 IP20 IP20
Inflammability class in acc. with UL 94 V0 V0
Test standards IEC 61643-21 / DIN EN 61643-21 / UL 497B IEC 61643-1 / EN 61643-11 IEC 61643-21
Ordering data Ordering data
Description Voltage U
N
Type Order No. Pcs. /
Pkt. Type Order No. Pcs. /
Pkt.
PLUGTRAB plug, with protective circuit for plugging into PT base
element
5VDC PT 4- 5DC-ST 2839211 10
12VDC PT 4-12DC-ST 2839237 10
24VDC PT 4-24DC-ST 2839240 10
24VAC PT 4-24AC-ST 2800078 1PT PE/S+1X2-24-ST 2819008 10
PLUGTRAB base element, for mounting on NS35
Bridge between 3/4 () and 9/10 PT 4-BE 2839402 10
Gas-filled surge arrester between 3/4 () and 9/10 PT 4+F-BE 2839415 10
PLUGTRAB base element, for mounting on NS35
PT PE/S+1X2-BE 2856265 10
Accessories Accessories
Shield fast connection
For Ø 3-6 mm SSA 3-6 2839295 10 SSA 3-6 2839295 10
For Ø 5-10 mm SSA 5-10 2839512 10 SSA 5-10 2839512 10
86
PHOENIX CONTACT
– Consistent plug-in signal circuit
protection
– Maximum ease of maintenance thanks to
the two-piece design
– Base element remains an integral part of
the installation
– Impedance-neutral disconnection of plug
for test and maintenance purposes
– Plugs can be checked with
CHECKMASTER
* Note:
Various grounding options for the base
elements:
PT .x.-BE connection 9/10 (GND) directly
connected to the mounting foot.
PT .x.+F-BE connection 9/10 (GND)
connected to the mounting foot via a
gas-filled surge arrester.
H
W
D
H
W
D
MCR-PLUGTRAB PT, 4-wire or
combination with power supply
Surge protection and interference suppression filters
Surge protection for MCR technology
4-wire, floating, impedance-free, e.g., for
temperature measurement
Combination of double wire protection
(floating) and single-phase power supply

1
3
5
2
4
6
12
11
*
IN
OUT
2(+)
1(+)
6(+)
5(+)
J
J
3(-) 4(-)
J
11
12
For further information and full technical data, visit phoenixcontact.net/products
Technical data Technical data
Electrical data ... 120AC ... 230AC ... 60AC ... 120AC ... 230AC
IEC test classification/EN type C1 / C2 / C3 C1 / C2 / C3 /
D1
C1 / C2 / C3 /
D1
C1 / C2 / C3 /
D1
C1 / C2 / C3 /
D1
Maximum continuous operating voltage U
C
- / 175VAC - / 250VAC -
Impulse discharge curr. I
imp
(10/350) μs
Per path 300 A 500 A 500 A 500 A 500 A
Nominal current I
N
6 A 6 A 26 A AC
(30°C)
26 A AC
(30°C)
26 A AC
(30°C)
Nominal discharge current I
n
(8/20) µs
Core-Ground 3 kA 3 kA 2 kA 2.5 kA 2.5 kA
Total surge current (8/20) µs 8 kA 8 kA 4 kA 5 kA 5 kA
Output voltage limitation at 1 kV/µs
Core-Ground ≤ 800 V ≤ 1.4 kV - - -
General data
Dimensions W / H / D 17.7 mm / 90 mm / 65.5 mm 17.7 mm / 90 mm / 65.5 mm
Connection data solid / stranded / AWG 0.2 ... 4 mm² / 0.2 ... 2.5 mm² / 24 - 12 0.2 ... 4 mm² / 0.2 ... 2.5 mm² / 24 - 12
Temperature range -40°C ... 80°C -40°C ... 85°C
Degree of protection in acc. with IEC 60529/EN 60529 IP20 IP20
Inflammability class in acc. with UL 94 V0 V0
Test standards EN 61643-21 IEC 61643-21/A2 / EN 61643-21/A2
Ordering data Ordering data
Description Voltage U
N
Type Order No. Pcs. /
Pkt. Type Order No. Pcs. /
Pkt.
MAINS-PLUGTRAB, consisting of a plug and a base element
120VAC PT 2X1-VF-120AC 2859327 10
230VAC PT 2X1-VF-230AC 2805460 10
PLUGTRAB plug, with protective circuit for plugging into PT base
element
60VAC PT 2X1VA- 60AC-ST 2839172 10
120VAC PT 2X1-VF-120AC-ST 2856799 10 PT 2X1VA-120AC-ST 2839185 10
230VAC PT 2X1-VF-230AC-ST 2921365 10 PT 2X1VA-230AC-ST 2839198 10
PLUGTRAB base element, for mounting on NS35
PT-BE/FM 2839282 10 PT-BE/FM 2839282 10
Accessories Accessories
Shield fast connection
For Ø 3-6 mm SSA 3-6 2839295 10 SSA 3-6 2839295 10
For Ø 5-10 mm SSA 5-10 2839512 10 SSA 5-10 2839512 10
87
PHOENIX CONTACT
– Protective devices for higher nominal
power
– Consistent plug-in signal circuit
protection
– Maximum ease of maintenance thanks to
the two-piece design
– Base element remains an integral part of
the installation
– Impedance-neutral disconnection of plug
for test and maintenance purposes
– Plugs can be checked with
CHECKMASTER
– FM types with permanent and
independent monitoring by a diagnostics
unit
Notes:
If no protective plug is inserted, there is no electrical connection.
H
W
D
H
W
D
MCR-PLUGTRAB PT, for higher
signal voltages
Surge protection and interference suppression filters
Surge protection for MCR technology
2-wire, floating, free of leakage current, e.g.,
for actuator circuits
2-wire, with common reference potential,
remote signaling, e.g., for actuator circuits

IN
OUT
2
1
65
43
IN
OUT
2
1
65
87
12
11
10
9
43
Technical data Technical data
Electrical data
IEC test classification/EN type C1 / C2 / C3 / D1 C1 / C2 / C3 / D1
Maximum continuous operating voltage U
C
68 V DC / 48 V AC 170 V DC / 120 V AC
Impulse discharge curr. I
imp
(10/350) μs
Per path 5 kA 2.5 kA
Nominal current I
N
2 A (80°C) 2 A (80°C)
Nominal discharge current I
n
(8/20) µs
Core-Core / Core-Ground - / 20 kA 10 kA / 10 kA
Total surge current (8/20) µs 40 kA 20 kA
Protection level U
p
Core-Ground ≤ 600 V ≤ 450 V
Output voltage limitation at 1 kV/µs
Core-Ground ≤ 600 V ≤ 450 V
General data
Dimensions W / H / D 17.7 mm / 90 mm / 65.5 mm 17.7 mm / 90 mm / 65.5 mm
Connection data solid / stranded / AWG 0.2 ... 4 mm² / 0.2 ... 2.5 mm² / 24 - 12 0.2 ... 4 mm² / 0.2 ... 2.5 mm² / 24 - 12
Temperature range -40°C ... 85°C -40°C ... 85°C
Degree of protection in acc. with IEC 60529/EN 60529 IP20 IP20
Inflammability class in acc. with UL 94 V0 V0
Test standards IEC 61643-21 IEC 61643-21
Ordering data Ordering data
Description Voltage U
N
Type Order No. Pcs. /
Pkt. Type Order No. Pcs. /
Pkt.
PLUGTRAB plug, with protective circuit for plugging into PT base
element
48VAC PT 2-F-ST 2859000 10
110VAC PT 4-F-ST 2858441 10
PLUGTRAB base element, for mounting on NS35
PT-BE/FM 2839282 10
Bridge between 3/4 () and 9/10 PT 4-BE 2839402 10
Accessories Accessories
Shield fast connection
For Ø 3-6 mm SSA 3-6 2839295 10 SSA 3-6 2839295 10
For Ø 5-10 mm SSA 5-10 2839512 10 SSA 5-10 2839512 10
88
PHOENIX CONTACT
– For systems with high electric strength or
fine protection installed
– Installation location - directly where the
MCR cable enters the building
– Consistent plug-in signal circuit
protection
– Maximum ease of maintenance thanks to
the two-piece design
– Base element remains an integral part of
the installation
– Impedance-neutral disconnection of plug
for test and maintenance purposes
– Plugs can be checked with
CHECKMASTER
H
W
D
H
W
D
MCR-PLUGTRAB PT
coarse surge protection
Surge protection and interference suppression filters
Surge protection for MCR technology
2-wire, coarse protection, e.g., for actuator
circuits
4-wire, coarse protection, e.g., for actuator
circuits

IN
OUT
43
109
2
1
1211
65
87
IN
OUT
4
3
10
9
2
1
12
11
6
5
8
7
For further information and full technical data, visit phoenixcontact.net/products
Ex:
Ex:
Technical data Technical data
Electrical data
IEC test classification/EN type C1 / C2 / C3 / D1 C1 / C2 / C3 / D1
Maximum continuous operating voltage U
C
30VDC / 21VAC 30VDC / 21VAC
Impulse discharge curr. I
imp
(10/350) μs
Per path 1 kA 1 kA
Nominal current I
N
325 mA (40°C) 500 mA (40°C)
Nominal discharge current I
n
(8/20) µs
Core-Core / Core-Ground 10 kA / 10 kA 308 A / 10 kA
Total surge current (8/20) µs 20 kA 20 kA
Protection level U
p
Core-Core ≤ 50 V (C3 - 25 A) ≤ 50 V (C3 - 25 A)
Core-Ground ≤ 1 kV (C2 - 10 kV / 5 kA) ≤ 1 kV (C2 - 10 kV / 5 kA)
Output voltage limitation at 1 kV/µs
Core-Core / Core-Ground ≤ 45 V / ≤1 kV ≤ 45 V / ≤1 kV
Cut-off frequency fg (3 dB)
Symmetrical in the 50 Ω system typ. 4.5 MHz typ. 7 MHz
Resistance per path 2.2 Ω-
General data
Dimensions W / H / D 17.7 mm / 90 mm / 65.5 mm 17.7 mm / 90 mm / 65.5 mm
Connection data solid / stranded / AWG 0.2 ... 4 mm² / 0.2 ... 2.5 mm² / 24 - 12 0.2 ... 4 mm² / 0.2 ... 2.5 mm² / 24 - 12
Temperature range -40°C ... 85°C -40°C ... 85°C
Degree of protection in acc. with IEC 60529/EN 60529 IP20 IP20
Inflammability class in acc. with UL 94 V-0 V-0
Test standards EN 61643-21/A2 / EN 60079-0 / EN 60079-11 / EN 61643-21/A2 / EN 60079-0 / EN 60079-11 /
EN 60079-26 / IEC 60079-0 / IEC 60079-11 EN 60079-26 / IEC 60079-0 / IEC 60079-11
Safety data
EC-type examination certificate according to ATEX KEMA 00ATEX1099 X KEMA 00ATEX1099 X
Identification according to ATEX
II 1G Ex ia IIC T4...T6 Ga
II 1D Ex ia IIIC T135°C...T85°C Da
II 1G Ex ia IIC T4...T6 Ga
II 1D Ex ia IIIC T135°C...T85°C Da
Maximum inner capacitance C
i
1.3 nF 1.1 nF
Maximum inner inductance L
i
1 µH 1 µH
Maximum input current I
i
325 mA (T4 / ≤80°C) 500 mA (T4 / ≤80°C)
Maximum input voltage U
i
30VDC 30VDC
Maximum input power P
i
3 W 850 mW (T4 / ≤80°C)
Ordering data Ordering data
Description Voltage U
N
Type Order No. Pcs. /
Pkt. Type Order No. Pcs. /
Pkt.
PLUGTRAB plug, with protective circuit for plugging into PT base
element
24VDC PT 2XEX(I)-24DC-ST 2838225 10 PT 4-EX(I)-24DC-ST 2839253 10
PLUGTRAB base element, for mounting on NS35
PT 2XEX(I)-BE 2839279 10 PT 4-EX(I)-BE 2839486 10
Accessories Accessories
Shield fast connection
For Ø 3-6 mm SSA 3-6 2839295 10 SSA 3-6 2839295 10
For Ø 5-10 mm SSA 5-10 2839512 10 SSA 5-10 2839512 10
89
PHOENIX CONTACT
– Tailored to the special requirements of
intrinsically safe circuits
– Consistent plug-in signal circuit
protection
– Maximum ease of maintenance thanks to
the two-piece design
– Base element remains an integral part of
the installation
– Impedance-neutral disconnection of plug
for test and maintenance purposes
– Plugs can be checked with
CHECKMASTER
H
W
D
H
W
D
MCR-PLUGTRABPT
for Ex-i circuits
Surge protection and interference suppression filters
Surge protection for MCR technology
2 double wires (loops), intrinsically safe, e.g.,
for 4 ... 20mA current loops
4-wire, intrinsically safe, impedance-free, e.g.,
for temperature measurements

*
IN
OUT
2
6
8
7
12
11
5
1
10
9
4
3
*
IN
OUT
7
11
9
3
8
12
10
4
Technical data Technical data
Electrical data ... 5DC ... 12DC ... 24DC ... 5DC ... 12DC
IEC test classification/EN type C1 / C2 / C3 /
D1
C1 / C2 / C3 /
D1
C1 / C2 / C3 /
D1
C1 / C2 / C3 / D1 C1 / C2 / C3 /
D1
Maximum continuous operating voltage U
C
5.2 V DC /
3.6 V AC
14 V DC /
9.8 V AC
- 5.2 V DC /
3.6 V AC
14 V DC /
9.8 V AC
Impulse discharge curr. I
imp
(10/350) μs Per path 2.5 kA 2.5 kA 2.5 kA 2.5 kA 2.5 kA 2.5 kA 2.5 kA 2.5 kA 1 kA 1 kA
Nominal current I
N
450 mA (45°C) 450 mA (45°C) 450 mA (45°C) 450 mA (45°C) 450 mA (45°C) 450 mA (45°C) 450 mA (45°C) 450 mA (45°C) 1.6 A 450 mA (45°C)
Nominal discharge current I
n
(8/20) µs
Core-Core / Core-Ground 10 kA / 10 kA 10 kA / 10 kA 10 kA / 10 kA
(with PT 2x2+F-BE)
10 kA / 10 kA 10 kA / 10 kA 10 kA / 10 kA 10 kA / 10 kA 10 kA / 10 kA 100 A / 10 kA 10 kA / 10 kA
Total surge current (8/20) µs 20 kA 20 kA 20 kA 20 kA 20 kA 20 kA 20 kA 20 kA
Output voltage limitation at 1 kV/µs
Core-Core ≤ 15 V ≤ 25 V - ≤ 15 V ≤ 25 V
Core-Ground ≤ 15 V ≤ 25 V - ≤ 15 V ≤ 25 V - - - -
Cut-off frequency fg (3 dB)
Symmetrical in the 100 Ω system typ. 60 MHz typ. 60 MHz typ. 70 MHz typ. 60 MHz typ. 60 MHz typ. 70 MHz typ. 70 MHz typ. 70 MHz - typ. 20 MHz
Resistance per path 2.2 Ω2.2 Ω2.2 Ω2.2 Ω2.2 Ω
General data
Dimensions W / H / D 17.7 mm / 90 mm / 65.5 mm 17.7 mm / 90 mm / 65.5 mm 17.7 mm / 45 mm / 52 mm 17.7 mm / 90 mm / 65.5 mm 17.7 mm /
Connection data solid / stranded / AWG 0.2 ... 4 mm² / 0.2 ... 2.5 mm² / 24 - 12 0.2 ... 4 mm² / 0.2 ... 2.5 mm² / 24 - 12 0.2 ...
Temperature range -40°C ... 85°C -40°C ... 85°C
Degree of protection in acc. with IEC 60529/EN 60529 IP20 IP20
Inflammability class in acc. with UL 94 V0 V0
Test standards EN 61643-21/A1 / IEC 61643-21/A1 EN 61643-21/A1 / IEC 61643-21/A1 IEC 61643-21 EN 61643-21/A1 IEC 61643-21 / DIN EN 6
Ordering data Ordering data
Description Type Order No. Pcs. /
Pkt. Type Order No. Pcs. /
Pkt.
PLUGTRAB plug, with protective circuit for plugging into PT base
element
5VDC PT 5-HF- 5 DC-ST 2838762 10 PT 3-PB-ST 2858030 10
12VDC PT 5-HF-12 DC-ST 2838775 10 PT 3-HF-12DC-ST 2858043 10
24VDC PT 5-HF-24DC-ST 2906002 1
32VDC
PLUGTRAB base element, for mounting on NS35
Bridge between 3/4 () and 9/10 PT 2X2-BE 2839208 10 PT 1X2-BE 2856113 10
Gas-filled surge arrester between 3/4 () and 9/10 PT 2X2+F-BE 2839224 10 PT 1X2+F-BE 2856126 10
Accessories Accessories
Grounding connector, for MCR-PLUGTRAB base elements
PT MCR-EST 2880749 10 PT MCR-EST 2880749 10
Shield fast connection
For Ø 3-6 mm SSA 3-6 2839295 10 SSA 3-6 2839295 10
For Ø 5-10 mm SSA 5-10 2839512 10 SSA 5-10 2839512 10
90
PHOENIX CONTACT
– Protection for fieldbus systems,
PROFIBUS (up to 12Mbps), and signal
circuits with three to five-wire technology
– Cable shield connection using SSA...
shield fast connection
– Maximum ease of maintenance thanks to
the two-piece design
– Base element remains an integral part of
the installation
– Impedance-neutral disconnection of plug
for test and maintenance purposes
* Note:
Various grounding options for the base
elements:
PT .x.-BE connection 9/10 (GND) directly
connected to the mounting foot.
PT .x.+F-BE connection 9/10 (GND)
connected to the mounting foot via a gas-
filled surge arrester.
Notes:
Attenuation characteristics at phoenixcontact.net/products
MCR-PLUGTRAB PT, for various
applications
Surge protection and interference suppression filters
Surge protection for MCR technology
5-wire protection for fieldbus and serial
interface
3-wire protection for PROFIBUS and serial
interface
H
W
D
H
W
D

*
IN
OUT
2
6
8
7
12
11
5
1
10
9
4
3
*
IN
OUT
4
3
10
9
2
1
12
11
6
5
8
7
IN
OUT
7
11
9
3
8
12
10
4
J
J
For further information and full technical data, visit phoenixcontact.net/products
Ex:
Ex:
Technical data Technical data Technical data
... 3-PB ... 3-HF ... 32DC
C1 / C2 / C3 /
D1
C1 / C2 / C3 /
D1
C1 / C2 / C3 /
D1
C1 / C2 / C3 / D1 C1 / C2 / C3 / D1 / B2
5.2 V DC /
3.6VAC
13 V DC /
9VAC
28 V DC /
19.8 V AC
36 V DC 185 V DC / 130 V AC
s Per path 2.5 kA 2.5 kA 2.5 kA 2.5 kA 2.5 kA 2.5 kA 2.5 kA 2.5 kA 1 kA 1 kA
5°C) 450 mA (45°C) 450 mA (45°C) 450 mA (45°C) 1.6 A 450 mA (45°C)
10 kA / 10 kA 10 kA / 10 kA 10 kA / 10 kA 10 kA / 10 kA 10 kA / 10 kA 100 A / 10 kA 10 kA / 10 kA
Total surge current (8/20) µs 20 kA 20 kA 20 kA 20 kA 20 kA 20 kA 20 kA 20 kA 20 kA
≤ 15 V ≤ 25 V ≤ 45 V ≤ 75 V ≤ 300 V
25 V - - - - ≤ 300 V
system typ. 60 MHz typ. 60 MHz typ. 70 MHz typ. 60 MHz typ. 60 MHz typ. 70 MHz typ. 70 MHz typ. 70 MHz - typ. 20 MHz
2.2 Ω2.2 Ω2.2 Ω--
Dimensions W / H / D 17.7 mm / 90 mm / 65.5 mm 17.7 mm / 90 mm / 65.5 mm 17.7 mm / 45 mm / 52 mm 17.7 mm / 90 mm / 65.5 mm 17.7 mm / 90 mm / 65.5 mm
Connection data solid / stranded / AWG 0.2 ... 4 mm² / 0.2 ... 2.5 mm² / 24 - 12 0.2 ... 4 mm² / 0.2 ... 2.5 mm² / 24 - 12 0.2 ... 4 mm² / 0.2 ... 2.5 mm² / 24 - 12 - / - / - 0.2 ... 4 mm² / 0.2 ... 2.5 mm² / 24 - 12
-40°C ... 85°C -40°C ... 85°C -40°C ... 85°C
IP20 IP20 IP20
V0 V0 V0
Test standards EN 61643-21/A1 / IEC 61643-21/A1 EN 61643-21/A1 / IEC 61643-21/A1 IEC 61643-21 EN 61643-21/A1 IEC 61643-21 / DIN EN 61643-21
Ordering data Ordering data Ordering data
Type Order No. Pcs. /
Pkt. Type Order No. Pcs. /
Pkt. Type Order No. Pcs. /
Pkt.
PT 2X2-HF- 5 DC-ST 2839567 10
PT 2X2-HF-12 DC-ST 2839570 10
PT 2X2-HF-24 DC-ST 2839729 10
PT 2X2-FF-ST 2800755 10
PT 2-TELE 2882828 10
PT 2X2-BE 2839208 10 PT 4-BE 2839402 10
PT 2X2+F-BE 2839224 10 PT 4+F-BE 2839415 10
Accessories Accessories Accessories
PT MCR-EST 2880749 10 PT MCR-EST 2880749 10 PT MCR-EST 2880749 10
SSA 3-6 2839295 10 SSA 3-6 2839295 10 SSA 3-6 2839295 10
SSA 5-10 2839512 10 SSA 5-10 2839512 10 SSA 5-10 2839512 10
91
PHOENIX CONTACT
Surge protection and interference suppression filters
Surge protection for MCR technology
H
W
D
2 x 2-wire protection for 2-wire bus system 2 x 2-wire protection for FOUNDATION
Fieldbus
3-wire protection for DSL (ISDN U
k0
)
applications with common reference potential
H
W
D
H
W
D

IN
OUT
7
5
3
1
8
6
4
2
IN
OUT
7
5
3
1
8
6
4
2
Ex:
Ex:
Technical data Technical data
Electrical data
IEC test classification/EN type C1 / C2 / C3 / D1 C1 / C2 / C3 / D1
Maximum continuous operating voltage U
C
36VDC / 25VAC 36VDC / 25VAC
Impulse discharge curr. I
imp
(10/350) μs
Per path 500 A 500 A
Nominal current I
N
350 mA (40°C) 350 mA (40°C)
Nominal discharge current I
n
(8/20) µs
Core-Core / Core-Ground 5 kA / 5 kA 5 kA / 5 kA
Total surge current (8/20) µs 20 kA 20 kA
Protection level U
p
Core-Core / Core-Ground ≤ 50 V (C3 - 10 A) /
≤650 V (C1 - 500 V / 250 A)
≤ 50 V (C3 - 10 A) /
≤650 V (C1 - 500 V / 250 A)
Cut-off frequency fg (3 dB)
Symmetrical in the 50 Ω system typ. 6 MHz typ. 6 MHz
Resistance per path 3.3 Ω3.3 Ω
General data
Dimensions W / H / D 6.2 mm / 93 mm / 102.5 mm 6.2 mm / 93 mm / 102.5 mm 6.2 mm / 93 mm / 102.5 mm 6.2 mm / 93 mm / 102.5 mm 6.2 mm
Connection data solid / stranded / AWG 0.14 ... 2.5 mm² / 0.2 ... 2.5 mm² / 26 - 12 0.14 ... 2.5 mm² / 0.2 ... 2.5 mm² / 26 - 12 0
Temperature range -40°C ... 80°C -40°C ... 80°C
Degree of protection in acc. with IEC 60529/EN 60529 IP20 IP20
Inflammability class in acc. with UL 94 V-0 V-0
Test standards EN 61643-21/A2 / EN 60079-0 / EN 60079-11 / EN 61643-21/A2 / EN 60079-0 / EN 60079-11 / IEC 61643-21 / DIN EN 61643
EN 60079-26 / IEC 60079-0 / IEC 60079-11 EN 60079-26 / IEC 60079-0 / IEC 60079-11 - -
Safety data
EC-type examination certificate according to ATEX KEMA 09ATEX0051 X KEMA 09ATEX0051 X - - KEMA 09ATEX0051 X KEMA 09ATEX0051 X
Identification according to ATEX
II 1 G Ex ia IIC T4...T6
II 1 D Ex iaD 20 T85°C...135°C
II 1 G Ex ia IIC T4...T6
II 1 D Ex iaD 20 T85°C...135°C
Maximum inner capacitance C
i
1.3 nF 1.3 nF
Maximum inner inductance L
i
< 1 µH < 1 µH
Maximum input current I
i
350 mA (T4 / ≤80°C) 350 mA (T4 / ≤80°C)
Maximum input voltage U
i
36VDC 36VDC
Maximum input power P
i
3 W 3 W
Ordering data Ordering data
Description Voltage U
N
Type Order No. Pcs. /
Pkt. Type Order No. Pcs. /
Pkt.
LINETRAB
12VDC
24 V DC LIT 1X2-24 2804610 10 LIT 2X2-24 2804623 10
Accessories Accessories
System adapter, for MINI Analog modules with screw connection
MINI MCR-SL-V8-FLK 16-A 2811268 1
VARIOFACE system cable for connecting LIT and MINI Analog
via system adapter
Cable length: 2 m VIP-CAB-FLK16/FR/FR/0,14/2,0M 2900156 1
Cable length: 1 m VIP-CAB-FLK16/FR/FR/0,14/1,0M 2900155 1
Cable length: 0.5 m VIP-CAB-FLK16/FR/FR/0,14/0,5M 2900154 1
DIN rail connector
92
PHOENIX CONTACT
– Protection of up to four signal wires with
an overall width of 6.2mm
– Can be used in binary, analog, and
intrinsically safe circuits
Your web code: #0157
LINETRAB LIT
Surge protection and interference suppression filters
Surge protection for MCR technology
Double wire (loop), floating, e.g., for
4 ... 20mA current loops
2 double wires (loops), floating, e.g., for
4 ... 20mA current loops
H
W
D
H
W
D

7
5
8
6
OUTIN
3
1
4
2
7
5
3
1
8
6
4
OUTIN
2
8
6
4
2
7
5
3
IN OUT
1
X
For further information and full technical data, visit phoenixcontact.net/products
Ex:
Technical data Technical data Technical data
C1 / C2 / C3 / D1 C1 / C2 / C3 / D1 C1 / C2 / C3 / D1 C1 / C2 / C3 / D1
36VDC / 25VAC 36VDC / 25VAC 18VDC / 13VAC 36VDC / 25VAC
500 A 500 A 500 A 500 A
350 mA (40°C) 350 mA (40°C) 500 mA (40°C) 500 mA (40°C)
- / 5 kA - / 5 kA 350 A / 5 kA 250 A / 5 kA
20 kA 20 kA 20 kA 20 kA
/ ≤ 60 V (C1 - 500 V / 250 A) / ≤ 60 V (C1 - 500 V / 250 A) ≤ 50 V (C3 - 10 A) /
≤ 650 V (C2 - 10 kV / 5 kA)
≤ 60 V (C3 - 10 A) /
≤ 650 V (C2 - 10 kV / 5 kA)
- - typ. 5 MHz typ. 7.7 MHz
3.3 Ω3.3 Ω0 Ω0 Ω
Dimensions W / H / D 6.2 mm / 93 mm / 102.5 mm 6.2 mm / 93 mm / 102.5 mm 6.2 mm / 93 mm / 102.5 mm 6.2 mm / 93 mm / 102.5 mm 6.2 mm / 93 mm / 102.5 mm
Connection data solid / stranded / AWG 0.14 ... 2.5 mm² / 0.2 ... 2.5 mm² / 26 - 12 0.14 ... 2.5 mm² / 0.2 ... 2.5 mm² / 26 - 12 0.14 ... 2.5 mm² / 0.2 ... 2.5 mm² / 26 - 12 0.14 ... 2.5 mm² / 0.2 ... 2.5 mm² / 26 - 12 0.14 ... 2.5 mm² / 0.2 ... 2.5 mm² / 26 - 12
-40°C ... 80°C -40°C ... 80°C -40°C ... 80°C
IP20 IP20 IP20
V0 V0 V-0
Test standards EN 61643-21/A2 / EN 60079-0 / EN 60079-11 / EN 61643-21/A2 / EN 60079-0 / EN 60079-11 / IEC 61643-21 / DIN EN 61643-21 IEC 61643-21 / DIN EN 61643-21 EN 61643-21/A2 / EN 60079-0 / EN 60079-11 /
EN 60079-26 / IEC 60079-0 / IEC 60079-11 EN 60079-26 / IEC 60079-0 / IEC 60079-11 - - EN 60079-26 / IEC 60079-0 / IEC 60079-11
EC-type examination certificate according to ATEX KEMA 09ATEX0051 X KEMA 09ATEX0051 X - - KEMA 09ATEX0051 X KEMA 09ATEX0051 X
--
II 1 G Ex ia IIC T4...T6
II 1 D Ex iaD 20
T85°C...135°C
II 1 G Ex ia IIC T4...T6
II 1 D Ex iaD 20
T85°C...135°C
- - 6 nF 2.5 nF
- - < 1 µH < 1 µH
- - 500 mA (T4 / -40...+80°C) 500 mA (T4 / -40...+80°C)
- - 18VDC 36VDC
- - 550 mW 550 mW
Ordering data Ordering data Ordering data
Type Order No. Pcs. /
Pkt. Type Order No. Pcs. /
Pkt. Type Order No. Pcs. /
Pkt.
LIT 4-12 2804704 10
LIT 2X1-24 2804636 10 LIT 4X1-24 2804649 10 LIT 4-24 2804678 10
Accessories Accessories Accessories
ME 6,2 TBUS-2 1,5/5-ST-3,81KMGY 2969401 10
93
PHOENIX CONTACT
Surge protection and interference suppression filters
Surge protection for MCR technology
H
W
D
2-wire, with common reference potential, e.g.,
for binary signals
4-wire, with common reference potential, e.g.,
for binary signals
4-wire, floating, impedance-free, e.g., for
temperature measurement
H
W
D
H
W
D

IN
OUT
31
42
Technical data
Electrical data ... M-24DC ... 24DC ... 110AC
IEC test classification/EN type C1 / C2 / C3 /
D1
C1 / C2 / C3 /
D1
C1 / C2 / C3 /
D1
Maximum continuous operating voltage U
C
DC / AC 30 V DC /
21VAC
30 V DC /
-
- /
120 V AC
Impulse discharge curr. I
imp
(10/350) μs
Per path 500 A 500 A 500 A 500 A 500 A 500 A 500 A 500 A 500 A
Rated load current I
L
300 mA (40°C) 300 mA (40°C) 300 mA (30°C) 10 A (40°C) 10 A (40°C) 300 mA (40°C) 300 mA (40°C) 250 mA (40°C) 250 mA (40°C)
Nominal discharge current I
n
(8/20) µs
Core-Core / Core-Ground 5 kA / 5 kA 5 kA / 5 kA 5 kA / 5 kA 300 A / 5 kA 300 A / 5 kA 5 kA / 5 kA - / 5 kA 5 kA / 5 kA 5 kA / 5 kA
Total surge current (8/20) µs 10 kA 10 kA 10 kA 10 kA 10 kA 10 kA 10 kA 10 kA 10 kA
Output voltage limitation at 1 kV/µs
Core-Core / Core-Ground ≤ 45 V /
≤ 650 V
≤ 45 V /
≤ 650 V
≤ 250 V /
≤ 650 V
Cut-off frequency fg (3 dB)
Symmetrical / asymmetrical in the 50 Ω system typ. 6 MHz / - typ. 3 MHz / - typ. 15 MHz / - typ. 7 MHz / - typ. 6 MHz / - - / typ. 6 MHz - / typ. 1.5 MHz typ. 6 MHz / - typ.
Resistance per path 3.3 Ω3.7 Ω9.4 Ω
General data
Dimensions W / H / D (with disconnect knife) 6.2 mm / 92 mm / 66.45 mm 6.2 mm / 92 mm / 66.45 mm 6.2 mm / 92 mm / 66.45 mm 6.2 mm /
Dimensions W / H / D (without disconnect knife) 6.2 mm / 79.6 mm / 54.6 mm 6.2 mm / 79.6 mm / 54.6 mm 6.2 mm / 79.6 mm / 54.6 mm 6.
Connection data solid / stranded / AWG 0.2 ... 2.5 mm² / 0.2 ... 2.5 mm² / 24 - 14 0.2 ... 2.5 mm² / 0.2 ... 2.5 mm² / 24 - 14 0.2
Temperature range -40°C ... 80°C
Degree of protection in acc. with IEC 60529/EN 60529 IP20
Inflammability class in acc. with UL 94 V-2
Test standards IEC 61643-21/A1 / EN 61643-21/A1 DIN EN 61643-21 IEC 61643-21 EN 61643-21/A2 / EN 60079-0 / EN 60079-11 /
Safety data
EC-type examination certificate according to ATEX - - - - - - - KEMA 99ATEX5687 X KEMA 99ATEX5687 X
Identification according to ATEX - - - - - - -
Approvals according to IECEx - - - - - - - Ex ia IIC T4...T6 Ga
Maximum inner capacitance C
i
- - - - - - - 2 nF 2 nF
Maximum inner inductance L
i
- - - - - - - 1 µH 1 µH
Maximum input current I
i
- - - - - - - 250 mA 250 mA (T
Maximum input voltage U
i
- - - - - - - 30 V 30 V
Maximum input power P
i
- - - - - - - 0.75 W 0.75 W
Ordering data
Description Voltage U
N
Type Order No. Pcs. /
Pkt.
TERMITRAB, modular terminal block with integrated surge
protection, for mounting on NS35
With disconnect knife 24 V DC TT-2-PE-M-24DC 2920641 14
Without disconnect knife 24 V DC TT-2-PE- 24DC 2838186 10
Without disconnect knife 110 V AC TT-2-PE-110AC 2858483 10
Accessories
Cover, for terminating a row of terminal blocks
For terminal blocks with disconnect knife TT-D-2-PE-M-BK 2920654 50
For terminal blocks without disconnect knife D-DEK 1,5 BK 2838995 50
94
PHOENIX CONTACT
Modular terminal blocks with
multi-stage surge protection
TERMITRAB
– Multi-stage modular terminal blocks with
screw connection technology
– Versions with and without disconnect
knife
– To terminate a row of TERMITRAB TT...
devices, covers are available in the
corresponding colors
TT-EX(I)-...
– Use in Ex protection zones 1 and 2
– Wires can be led through to Ex
protection zone 0
Surge protection and interference suppression filters
Surge protection for MCR technology
H
W
D
Double wire (loop), floating, e.g., for 4 ... 20mA
current loops

IN
OUT
31
4
2
IN
OUT
31
42
IN
OUT
4
2
3
1
For further information and full technical data, visit phoenixcontact.net/products
Ex:
Technical data Technical data Technical data
... M-24DC ... 24DC ... M-24DC ... 24DC ... M-24DC ... 24DC
C1 / C2 / C3 / D1 C1 / C2 / C3 / D1 C1 / C2 / C3 / D1 C1 / C2 / C3 / D1 C1 / C2 / C3 / D1 C1 / C2 / C3 / D1
30 V DC /
21 V AC
30 V DC /
21VAC
30 V DC /
21VAC
30VDC /
-
30VDC /
21VAC
30VDC /
21VAC
Per path 500 A 500 A 500 A 500 A 500 A 500 A 500 A 500 A 500 A
300 mA (40°C) 300 mA (40°C) 300 mA (30°C) 10 A (40°C) 10 A (40°C) 300 mA (40°C) 300 mA (40°C) 250 mA (40°C) 250 mA (40°C)
Core-Core / Core-Ground 5 kA / 5 kA 5 kA / 5 kA 5 kA / 5 kA 300 A / 5 kA 300 A / 5 kA 5 kA / 5 kA - / 5 kA 5 kA / 5 kA 5 kA / 5 kA
Total surge current (8/20) µs 10 kA 10 kA 10 kA 10 kA 10 kA 10 kA 10 kA 10 kA 10 kA
≤ 45 V /
≤ 650 V
≤ 45 V /
≤ 700 V
- /
≤ 45 V
- /
≤ 50 V
≤ 44 V /
≤ 1.5 kV
≤ 50 V /
≤ 1.7 kV
system typ. 6 MHz / - typ. 3 MHz / - typ. 15 MHz / - typ. 7 MHz / - typ. 6 MHz / - - / typ. 6 MHz - / typ. 1.5 MHz typ. 6 MHz / - typ. 6 MHz / -
- - 4.7 Ω6.6 Ω4.7 Ω4.7 Ω
Dimensions W / H / D (with disconnect knife) 6.2 mm / 92 mm / 66.45 mm 6.2 mm / 92 mm / 66.45 mm 6.2 mm / 92 mm / 66.45 mm 6.2 mm / 92 mm / 66.45 mm
Dimensions W / H / D (without disconnect knife) 6.2 mm / 79.6 mm / 54.6 mm 6.2 mm / 79.6 mm / 54.6 mm 6.2 mm / 79.6 mm / 54.6 mm 6.2 mm / 79.6 mm / 54.6 mm
Connection data solid / stranded / AWG 0.2 ... 2.5 mm² / 0.2 ... 2.5 mm² / 24 - 14 0.2 ... 2.5 mm² / 0.2 ... 2.5 mm² / 24 - 14 0.2 ... 2.5 mm² / 0.2 ... 2.5 mm² / 24 - 14 0.2 ... 4 mm² / 0.2 ... 2.5 mm² / 24 - 14
-40°C ... 80°C -40°C ... 80°C -40°C ... 80°C
IP20 IP20 IP20
V2 V2 V-2
Test standards IEC 61643-21/A1 / EN 61643-21/A1 DIN EN 61643-21 IEC 61643-21 EN 61643-21/A2 / EN 60079-0 / EN 60079-11 /
EC-type examination certificate according to ATEX - - - - - - - KEMA 99ATEX5687 X KEMA 99ATEX5687 X
Identification according to ATEX - - - - - - -
II 1G Ex ia IIC T4...T6 Ga
II 1D Ex ia IIIC
T135°C...T85°C Da
II 1G Ex ia IIC T4...T6 Ga
II 1D Ex ia IIIC
T135°C...T85°C Da
Approvals according to IECEx - - - - - - - Ex ia IIC T4...T6 Ga
Ex ia IIIC T135°C...T85°C Da
Ex ia IIC T4...T6 Ga
Ex ia IIIC T135°C...T85°C Da
- - - - - - - 2 nF 2 nF
- - - - - - - 1 µH 1 µH
- - - - - - - 250 mA 250 mA (T
A
< 40°C)
- - - - - - - 30 V 30 V
- - - - - - - 0.75 W 0.75 W
Ordering data Ordering data Ordering data
Type Order No. Pcs. /
Pkt. Type Order No. Pcs. /
Pkt. Type Order No. Pcs. /
Pkt.
TT-2-PE/S1-M-24DC 2920638 14 TT-2/2-M-24DC 2920722 14 TT-EX(I)-M-24DC 2803865 14
TT-2-PE/S1- 24DC 2839538 10 TT-2/2- 24DC 2838173 10 TT-EX(I)- 24DC 2832124 10
Accessories Accessories Accessories
TT-D-2-PE-M-BK 2920654 50 TT-D-2-PE-M-BK 2920654 50 TT-D-2-PE-M-BU 2803878 50
D-DEK 1,5 BK 2838995 50 D-DEK 1,5 BK 2838995 50 D-DEK 1,5 BU 2838982 50
95
PHOENIX CONTACT
Surge protection and interference suppression filters
Surge protection for MCR technology
H
W
D
H
W
D
H
W
D
Double wire (loop), floating, e.g., for
temperature measurement
2-wire, with common reference potential, e.g.,
for binary signals
Double wire (loop), intrinsically safe, e.g., for
4 ... 20mA current loops

IN
OUT
31
42
IN
OUT
31
42
Technical data Technical data
Electrical data ... M...24AC ... M...24DC ... 24DC ... M...24AC ... M...24DC ... 24DC
IEC test classification/EN type C1 / C2 / C3 /
D1
C1 / C2 / C3 /
D1
C1 / C2 / C3 /
D1
C1 / C2 / C3 /
D1
C1 / C2 / C3 /
D1
C1 / C2 / C3 /
D1
Maximum continuous operating voltage U
C
DC / AC 45 V DC /
31VAC
30 V DC /
21VAC
30 V DC /
21VAC
45 V DC /
31VAC
30 V DC /
21VAC
30 V DC /
21VAC
Impulse discharge curr. I
imp
(10/350) μs
Per path 1 kA 1 kA 1 kA 1 kA 1 kA 1 kA 500 A - - 1 kA
Rated load current I
L
350 mA (45°C) 350 mA (45°C) 350 mA (45°C) 300 mA (45°C) 300 mA (45°C) 300 mA (45°C) 6 A (40°C) 10 A (50°C) 10 A (50°C) 200 mA (T
Nominal discharge current I
n
(8/20) µs
Core-Core / Core-Ground 5 kA / 5 kA 5 kA / 5 kA 5 kA / 5 kA - / 5 kA - / 5 kA - / 5 kA 300 A / 5 kA - / 700 A (per path) - / 310 A (per
Total surge current (8/20) µs 10 kA 10 kA 10 kA 10 kA 10 kA 10 kA 5 kA 1.4 kA 620 A 10 kA
Output voltage limitation at 1 kV/µs
Core-Core / Core-Ground ≤ 55 V /
≤ 600 V
≤ 40 V /
≤ 600 V
≤ 40 V /
≤ 600 V
- /
≤ 55 V
- /
≤ 40 V
- /
≤ 40 V
Cut-off frequency fg (3 dB)
Symmetrical / asymmetrical in the 50 Ω system 3.5 MHz / - typ. 3 MHz / - 3 MHz / - - / typ. 3.5 MHz - / typ. 3 MHz - / typ. 3 MHz typ. 3.3 MHz / - - / - - / - typ. 3 MHz / -
Resistance per path 6.6 Ω6.6 Ω6.6 Ω9.4 Ω9.4 Ω9.4 Ω
General data
Dimensions W / H / D (with disconnect knife) 6.2 mm / 100 mm / 63.5 mm 6.2 mm / 100 mm / 63.5 mm / /
Dimensions W / H / D (without disconnect knife) 6.2 mm / 100 mm / 63.5 mm 6.2 mm / 100 mm / 63.5 mm 6.2 mm / 100 mm / 63.5 mm
Connection data solid / stranded / AWG 0.2 ... 4 mm² / 0.2 ... 2.5 mm² / 24 - 12 0.2 ... 4 mm² / 0.2 ... 2.5 mm² / 24 - 12 0.2 ...
Temperature range -40°C ... 85°C -40°C ... 85°C -40°C ... 80°C
Degree of protection in acc. with IEC 60529/EN 60529 IP20 IP20 IP20
Inflammability class in acc. with UL 94 V2 V2 V0
Test standards IEC 61643-21/A1 / EN 61643-21/A1 IEC 61643-21/A1 / EN 61643-21/A1 IEC 61643-21/A1 / EN 61643-21/A1 IEC 61643-21/A1 /
Safety data
EC-type examination certificate according to ATEX - - - - - - - - - KEMA 04ATEX1059 X
Identification according to ATEX - - - - - - - - -
Approvals according to IECEx - - - - - - - - - Ex ia IIC T4...T6 Ga
Maximum inner capacitance C
i
--- --- - - - 4 nF
Maximum inner inductance L
i
--- --- - - - 1 µH
Maximum input current I
i
--- --- - - - 200 mA (T4/
Maximum input voltage U
i
--- --- - - - 30 V
Maximum input power P
i
--- --- - - - 1.6 W
Ordering data Ordering data
Description Voltage U
N
Type Order No. Pcs. /
Pkt. Type Order No. Pcs. /
Pkt.
TERMITRAB, spring-cage modular terminal block with integrated
surge protection, for mounting on NS35
Without disconnect knife 12 V DC
With disconnect knife 24 V DC TT-ST-M-2-PE-24DC 2858904 10 TT-ST-M-2/2-24DC 2858917 10
Without disconnect knife 24 V DC TT-ST-2-PE-24DC 2858878 10 TT-ST-2/2-24DC 2858881 10
With disconnect knife 24 V AC TT-ST-M-2-PE-24AC 2858920 10 TT-ST-M-2/2-24AC 2858933 10
24VAC TT-ST-M-2/2-24AC 2858933 10
Accessories Accessories
Cover, for terminating a row of terminal blocks
TT-D-STTCO-BK 2858894 50 TT-D-STTCO-BK 2858894 50
96
PHOENIX CONTACT
– Multi-stage modular terminal blocks with
spring-cage connection
– Versions with and without disconnect
knife
– To terminate a row of TERMITRAB TT...
devices, covers are available in the
corresponding colors
TT-ST-M-EX(I)-24D
– Can be used in Ex protection zones 1 and
2
– Wires can be led through to Ex
protection zone 0
Modular terminal blocks with
multi-stage surge protection
TERMITRAB
Surge protection and interference suppression filters
Surge protection for MCR technology
Double wire (loop), floating, e.g., for 4 ... 20mA
current loops
2-wire, with common reference potential, e.g.,
for binary signals
H
W
D
H
W
D

OUT
3
4
IN
1
2
31
42
IN
OUT
31
42
For further information and full technical data, visit phoenixcontact.net/products
Ex:
Technical data Technical data Technical data
... 12DC ... 24DC
C1 / C2 / C3 / D1 C1 / C3 C1 / C3 C1 / C2 / C3 / D1
30 V DC /
21VAC
13 V DC /
9VAC
30 V DC /
21 V AC
30 V DC /
21VAC
Per path 1 kA 1 kA 1 kA 1 kA 1 kA 1 kA 500 A - - 1 kA
(45°C) 300 mA (45°C) 6 A (40°C) 10 A (50°C) 10 A (50°C) 200 mA (T
A
< 40°C)
Core-Core / Core-Ground 5 kA / 5 kA 5 kA / 5 kA 5 kA / 5 kA - / 5 kA - / 5 kA - / 5 kA 300 A / 5 kA - / 700 A (per path) - / 310 A (per path) 5 kA / 5 kA
Total surge current (8/20) µs 10 kA 10 kA 10 kA 10 kA 10 kA 10 kA 5 kA 1.4 kA 620 A 10 kA
≤ 45 V /
≤ 800 V
- /
≤ 22 V
- /
≤ 45 V
≤ 40 V /
≤ 1.5 kV
system 3.5 MHz / - typ. 3 MHz / - 3 MHz / - - / typ. 3.5 MHz - / typ. 3 MHz - / typ. 3 MHz typ. 3.3 MHz / - - / - - / - typ. 3 MHz / -
- - - 6.6 Ω
Dimensions W / H / D (with disconnect knife) 6.2 mm / 100 mm / 63.5 mm 6.2 mm / 100 mm / 63.5 mm / / 6.2 mm / 100 mm / 63.5 mm / /
Dimensions W / H / D (without disconnect knife) 6.2 mm / 100 mm / 63.5 mm 6.2 mm / 100 mm / 63.5 mm 6.2 mm / 100 mm / 63.5 mm / / 6.2 mm / 100 mm / 63.5 mm
Connection data solid / stranded / AWG 0.2 ... 4 mm² / 0.2 ... 2.5 mm² / 24 - 12 0.2 ... 4 mm² / 0.2 ... 2.5 mm² / 24 - 12 0.2 ... 4 mm² / 0.2 ... 2.5 mm² / 24 - 12 0.5 ... 4 mm² / 0.5 ... 2.5 mm² / 24 - 12 0.5 ... 4 mm² / 0.5 ... 2.5 mm² / 24 - 12
-40°C ... 85°C -40°C ... 85°C -40°C ... 80°C -40°C ... 85°C -40°C ... 80°C
Degree of protection in acc. with IEC 60529/EN 60529 IP20 IP20 IP20 IP20 IP20
Inflammability class in acc. with UL 94 V2 V2 V0 V-0 V-2
Test standards IEC 61643-21/A1 / EN 61643-21/A1 IEC 61643-21/A1 / EN 61643-21/A1 IEC 61643-21/A1 / EN 61643-21/A1 IEC 61643-21/A1 / EN 61643-21/A1 EN 61643-21/A2 / EN 60079-0 / EN 60079-11 /
EC-type examination certificate according to ATEX - - - - - - - - - KEMA 04ATEX1059 X
Identification according to ATEX - - - - - - - - -
II 1G Ex ia IIC T4...T6 Ga
II 1D Ex ia IIIC T135°C...T85°C Da
Approvals according to IECEx - - - - - - - - - Ex ia IIC T4...T6 Ga
Ex ia IIIC T135°C...T85°C Da
--- --- - - - 4 nF
--- --- - - - 1 µH
--- --- - - - 200 mA (T4/≤ 85°C)
--- --- - - - 30 V
--- --- - - - 1.6 W
Ordering data Ordering data Ordering data
Type Order No. Pcs. /
Pkt. Type Order No. Pcs. /
Pkt. Type Order No. Pcs. /
Pkt.
TT-ST-2/2-S-12DC 2921310 10
TT-ST-M-EX(I)-24DC 2859424 10
TT-ST-2-PE/S2-24DC 2801458 10 TT-ST-2/2-S-24DC 2920735 10
Accessories Accessories Accessories
TT-D-STTCO-BK 2858894 50 TT-D-STTCO-BK 2858894 50 TT-D-ST-BU 2856773 10
97
PHOENIX CONTACT
Surge protection and interference suppression filters
Surge protection for MCR technology
H
W
D
Double wire (loop), floating, e.g., for actuator
circuits
2-wire, with common reference potential, fine
protection
Double wire (loop), intrinsically safe, e.g., for
4 ... 20mA current loops
H
W
D
H
W
D

IN
OUT
BK
BN
1
BL
2
IN
OUT
BK
BN
1
BL
2
Ex:
Technical data Technical data
Electrical data
Maximum continuous operating voltage U
C
40VDC / 28VAC 30VDC / 21VAC
Impulse discharge curr. I
imp
(10/350) μs
Per path 1 kA 1 kA
Nominal current I
N
450 mA (55°C) 350 mA (50°C)
Nominal discharge current I
n
(8/20) µs
Core-Core / Core-Ground 10 kA / 10 kA 10 kA / 10 kA
Maximum permitted short-circuit current at installation location 1 A 350 mA
Total surge current (8/20) µs 20 kA
Protection level U
p
Core-Core ≤ 80 V (C2 -5 kA) ≤ 50 V (C3 - 25 A)
Core-Ground ≤ 1.4 kV (C3 - 100 A)
Output voltage limitation at 1 kV/µs
Core-Core / Core-Ground ≤ 55 V / ≤450 V (direct grounding) ≤ 50 V / ≤1.4 kV (direct grounding)
Resistance per path 2.2 Ω2.2 Ω
General data
Dimensions W / H / D 34 mm / 34 mm / 137 mm 34 mm / 34 mm / 137 mm
Temperature range -40°C ... 85°C -40°C ... 50°C
Degree of protection in acc. with IEC 60529/EN 60529 IP67 IP67
Test standards IEC 61643-21 EN 61643-21/A2 / EN 60079-0 / EN 60079-11 / EN 61643-21/A2 / EN 60079-0 / EN 60079-1 / EN 61643-21/A2 /
- EN 60079-26 / IEC 60079-0 / IEC 60079-11 EN 60079-11 / EN 60079-26 / EN
Safety data
EC-type examination certificate according to ATEX - KEMA 06ATEX0002
Identification according to ATEX -
II 1G Ex ia IIC T4...T6 Ga
Maximum inner capacitance C
i
- 2 nF
Maximum inner inductance L
i
- 1 µH
Maximum input current I
i
- 350 mA (T4,T5,T6/≤ 50°C) 500 mA (T4 /
Maximum input voltage U
i
- 30 V
Maximum input power P
i
- 3 W
Ordering data Ordering data
Description Voltage U
N
Type Order No. Pcs. /
Pkt. Type Order No. Pcs. /
Pkt.
SURGETRAB, protective adapter for installation on measuring
sensors
Outer thread: M20 x 1.5 24 V DC S-PT-1X2-24DC 2880668 1
Outer thread: 1/2'' 14 NPT 24 V DC S-PT-1X2-24DC-1/2" 2882569 1
Outer thread: 3/4'' 14 NPT 24 V DC S-PT-1X2-24DC-3/4" 2882598 1
SURGETRAB protective adapter for installation on measuring
sensors for Ex protection zones
Outer thread: M20 x 1.5 24VDC S-PT-EX(I)-24DC 2880671 1
Outer thread: 1/2'' 14 NPT 24VDC S-PT-EX(I)-24DC-1/2" 2882572 1
Outer thread: 3/4'' 14 NPT 24VDC S-PT-EX(I)-24DC-3/4" 2882585 1
Outer thread: M20 x 1.5 48VDC
Outer thread: 1/2'' 14 NPT 48VDC
98
PHOENIX CONTACT
– Arresters in hexagonal tube with various
outer threads
–S-PT-1x2... and S-PT-EX(I)...
installation in signal path feed-through
–S-PT-EX, S-PT-2xEX..., and S-PT-4-
EX installation in a separate cable gland
parallel to the signal cables
– S-PT-EX... devices are approved for Ex-i
and Ex-d measuring probes
Notes:
For more information about EX approvals, visit
phoenixcontact.com
For additional safety data, visit phoenixcontact.net/products
Surge protection directly at the
sensor head
SURGETRAB
Surge protection and interference suppression filters
Surge protection for MCR technology
Double wire (loop), floating, e.g., for
4 ... 20mA current loops
Double wire (loop), intrinsically safe, e.g., for
4 ... 20mA current loops

BN
BL
/BK
+–
˜
˜
BN
RD
BL
/BK
WH
BN
RD
BL
/BK
WH
+
+
–
–
˜
˜ ˜˜
For further information and full technical data, visit phoenixcontact.net/products
Ex:
Ex:
Ex:
Technical data Technical data Technical data
... 24DC ... 48DC ... 24DC ... 48DC
36VDC / 25VAC 53VDC / 37VAC 36VDC / 25VAC 53VDC / 37VAC 36VDC / 25VAC
1 kA 1 kA 1 kA 1 kA 1 kA
-- -- -
260 A / 10 kA 170 A / 10 kA 260 A / 10 kA 170 A / 10 kA 260 A / 10 kA
1 A (non-EX) 1 A (non-EX) 1 A (non-EX) 1 A (non-EX) 1 A (non-EX)
20 kA 20 kA 20 kA 20 kA 20 kA
≤ 65 V (C3 - 10 A) ≤ 90 V (C3 - 10 A) ≤ 50 V (C3 - 10 A) ≤ 80 V (C3 - 10 A) ≤ 65 V (C3 - 10 A)
≤ 1.1 kV (C3 - 100 A) ≤ 1.1 kV (C3 - 100 A) ≤ 1.1 kV (C3 - 100 A) ≤ 1.1 kV (C3 - 100 A) ≤ 1.1 kV (C3 - 100 A)
≤ 60 V / - ≤ 80 V / - ≤ 50 V / - ≤ 80 V / - ≤ 60 V / -
-- -- -
28 mm / 28 mm / 79 mm 28 mm / 28 mm / 79 mm 28 mm / 28 mm / 79 mm
-40°C ... 80°C (non-EX) -40°C ... 80°C (non-EX) -40°C ... 80°C (non-EX)
IP67 IP67 IP67
Test standards IEC 61643-21 EN 61643-21/A2 / EN 60079-0 / EN 60079-11 / EN 61643-21/A2 / EN 60079-0 / EN 60079-1 / EN 61643-21/A2 / EN 60079-0 / EN 60079-1 / EN 61643-21/A2 / EN 60079-0 / EN 60079-1 /
- EN 60079-26 / IEC 60079-0 / IEC 60079-11 EN 60079-11 / EN 60079-26 / EN60079-31 EN 60079-11 / EN 60079-26 / EN60079-31 EN 60079-11 / EN 60079-26 / EN60079-31
KEMA 09ATEX0028 X KEMA 09ATEX0028 X KEMA 09ATEX0028 X KEMA 09ATEX0028 X KEMA 09ATEX0028 X
II 1 G Ex ia IIC T4...T6
II 2 G Ex d IIC T4...T6
II 1 G Ex ia IIC T4...T6
II 2 G Ex d IIC T4...T6
II 1 G Ex ia IIC T4...T6
II 2 G Ex d IIC T4...T6
II 1 G Ex ia IIC T4...T6
II 2 G Ex d IIC T4...T6
II 1 G Ex ia IIC T4...T6
II 2 G Ex d IIC T4...T6
1.65 nF 1.14 nF 1.65 nF 1.14 nF 1.65 nF
1 µH 1 µH 1 µH 1 µH 1 µH
50°C) 500 mA (T4 / ≤75°C) 500 mA (T4 / ≤75°C) 500 mA (T4 / ≤75°C) 500 mA (T4 / ≤75°C) 500 mA (T4 / ≤75°C)
36VDC 53VDC 36VDC 53VDC 36VDC
3 W 3 W 3 W 3 W 3 W
Ordering data Ordering data Ordering data
Type Order No. Pcs. /
Pkt. Type Order No. Pcs. /
Pkt. Type Order No. Pcs. /
Pkt.
S-PT-EX-24DC 2800034 1S-PT-2XEX-24DC 2800040 1S-PT-4-EX-24DC 2800036 1
S-PT-EX-24DC-1/2" 2800035 1S-PT-2XEX-24DC-1/2" 2800041 1S-PT-4-EX-24DC-1/2" 2800037 1
S-PT-EX-48DC 2800053 1S-PT-2XEX-48DC 2800038 1
S-PT-EX-48DC-1/2" 2800054 1S-PT-2XEX-48DC-1/2" 2800039 1
99
PHOENIX CONTACT
Surge protection and interference suppression filters
Surge protection for MCR technology
Double wire (loop), floating, intrinsically safe,
encapsulated, without decoupling resistance
2 double wires (loops), floating, intrinsically
safe, encapsulated, without decoupling
resistance
4-wire with common reference potential,
intrinsically safe, encapsulated, without
decoupling resistance

8 10 12
246
7 9 11
8 10 12
246
7 9 11
8 10 12
246
7 9 11
24 V 24 V
L+
L-
0 V 0 V
PLC
6
IN OUT
8 10 12
7 9 11
8 10 12
7 9 11
8 10 12
7 9 11
24 V 24 V
L+
L-
0 V 0 V
PLC
6
IN OUT
IN OUT
L+
L-
PE
PLC
Protection of a binary signal input with actuator circuit, floating reference potential
E.g.,
24 V switched
Plug-in
Push-in connection
1 x PT-IQ-PTB-PT +
2 x PT-IQ-4X1+F-24DC-PT
Optional screw connection
1 x PT-IQ-PTB-UT +
2 x PT-IQ-4X1+F-24DC-UT
2801296 + 2801272 2800768 + 2800983
Page 76 Page 76
Protection of a binary signal input with actuator circuit, grounded reference potential
E.g.,
24 V switched
Plug-in
Screw connection
1 x PT-IQ-PTB-UT +
2 x PT-IQ-4X1-24DC-UT
Optional push-in connection
1 x PT-IQ-PTB-PT +
2 x PT-IQ-4X1-24DC-PT
2800768 + 2800982 2801296 + 2801271
Page 76 Page 76
Protection of a binary signal input with actuator circuit, common grounded reference potential (negative pole)
E.g.,
24 V switched
One-piece
Screw connection
TT-2/2-M-24DC
Optional
spring-cage connection
TT-ST-M-2/2-24DC
2920722 2858917
Page 95 Page 96
100
PHOENIX CONTACT
Surge protection and interference suppression filters
Surge protection for MCR technology

IN OUT
L+
L-
PE
PLC
8 10 12
7 9 11
8 10 12
7 9 11
I
U
U
I
Power
PE
OUT IN IN OUT
5
5
I
U
U
I
Power
PE
OUT IN IN OUT
For further information and full technical data, visit phoenixcontact.net/products
Protection of a binary signal input with actuator circuit, common floating reference potential (negative pole)
E.g.,
24 V switched
One-piece
Spring-cage connection
TT-ST-M-2/2-24DC
Optional
screw connection
TT-2/2-M-24DC
2858917 2920722
Page 96 Page 95
Protection of a four-wire measurement
E.g.,
temperature
measurement
Plug-in PT 4-24DC-ST + PT 4-BE PT 4-24DC-ST + PT 4-BE
2839240 + 2839402 2839240 + 2839402
Page 86 Page 86
Protection of a four-wire measurement, for Ex and non-Ex applications
E.g.,
temperature
measurement
One-piece LIT 4-24 LIT 4-24
2804678 2804678
Page 93 Page 93
101
PHOENIX CONTACT
Surge protection and interference suppression filters
Surge protection for MCR technology

4...20 mA
PLC
4...20 mA
PE
OUT IN IN OUT
PLC
4...20 mA
PE
OUT IN IN OUT
4...20 mA
Protection of an analog measurement
0(4) ... 20 mA
0 ... 10 V
Plug-in
Push-in connection
1 x PT-IQ-PTB-PT +
2 x PT-IQ-1X2-24DC-PT
Optional screw connection
1 x PT-IQ-PTB-UT +
2 x PT-IQ-1X2-24DC-UT
2801296 + 2801255 2800768 + 2800976
Page 74 Page 74
Protection of an analog measurement
0(4) ... 20 mA
0 ... 10 V
One-piece
Screw connection
TT-2-PE-M-24DC
Optional
Spring-cage connection
TT-ST-2-PE-24DC
2920641 2858878
Page 94 Page 96
Protection of an analog measurement, intrinsically safe circuits
0(4) ... 20 mA
0 ... 10 V
One-piece
Spring-cage connection
TT-ST-M-EX(I)-24DC
Optional
Screw connection
TT-EX(I)-M-24DC
2859424 2803865
Page 97 Page 95
102
PHOENIX CONTACT
Surge protection and interference suppression filters
Surge protection for MCR technology

PLC
4...20 mA
PE
IN OUT
4...20 mA
For further information and full technical data, visit phoenixcontact.net/products
Protection of an analog measurement, intrinsically safe circuits
0(4) ... 20 mA
0 ... 10 V
Plug-in PT 2XEX(I)-24DC-ST + PT 2XEX(I)-BE PT 2XEX(I)-24DC-ST + PT 2XEX(I)-BE
2838225 + 2839279 2838225 + 2839279
Page 89 Page 89
Protection of an analog measurement, intrinsically safe circuits
0(4) ... 20 mA
0 ... 10 V
One-piece S-PT-EX-24DC TT-ST-M-EX(I)- 24DC
2800034 2859424
Page 99 Page 97
Protection of an analog measurement, intrinsically safe circuits
0(4) ... 20 mA
0 ... 10 V
One-piece S-PT-EX(I)-24DC PT 2XEX(I)-24DC-ST + PT 2XEX(I)-BE
2880671 2838225 + 2839279
Page 98 Page 89
103
PHOENIX CONTACT
Surge protection and interference suppression filters
Surge protection for MCR technology

104
PHOENIX CONTACT
Surge protection and interference suppression filters
Surge protection for information technology and telecommunications
Low signal levels at high frequencies
require special protective circuits in data
processing and telecommunications. The
arresters must guarantee short response
times to quickly limit the surge voltages to
safe values, without impairing signal quality.
In addition, the protective devices support
system-specific connections, such as RJ45
or D-SUB connectors, and all types of
network topologies.
DATATRAB DT - the all-round
solution for protecting data interfaces
DATATRAB DT reliably protects high-
speed networks against damage caused by
surge voltages. DT-LAN-CAT.6+ supports
various data protocols at very high
transmission speeds, such as Ethernet,
Power over Ethernet (PoE), ISDN, token
ring, and DS1, in a single device.
The housing has a ground connection
snap-on foot into which the ground
connection cover with equipotential
bonding cable is inserted. DATATRAB can
be therefore used either as an adapter or a
DIN rail module after removing the ground
connection cover.
Your web code: #0145

For further information and full technical data, visit phoenixcontact.net/products
105
PHOENIX CONTACT
Surge protection and interference suppression filters
Surge protection for information technology and telecommunications
Use
Protective devices suitable for all
common applications including Ethernet,
token ring, ISDN, DS1, DSL, analog
telecommunications, RS-485, V.24, V.11,
etc. are available.
The circuit breakers also support Power
over Ethernet (PoE) in mode A and B
versions.
Speed
Used in EDP systems with a transmission
speed of up to 10 Gbps (CAT6/CLASS E
a
)
and in telecommunications networks with
50Mbps (VDSL).
Ver s at ile
The DATATRAB product range can offer
a suitable protective device for various
applications. The protective devices are
simply installed between the signal paths
with interfaces for RJ11/12, RJ45, D-SUB or
screw connection.
COMTRAB modular
For protecting telecommunications
systems
– Direct insertion in LSA-PLUS marshalling
panels
– Coarse protection magazines with gas-
filled surge arrester
– Modular miniature connectors with
combined coarse and fine protection
elements for optimum protection
Other designs
Other application-specific protective
devices include:
– Two-piece plug-in protective devices in
the PLUGTRAB product range
– Combined adapters for the power supply
and MAINTRAB interfaces

V
V
V
V
V
V
NT
Technology Interface Mounting
CAN-BUS 3
DeviceNet™ 3
Ethernet 3
Gigabit Ethernet (1/10 GBase-T) 3
FOUNDATION Fieldbus H1 3
FOUNDATION Fieldbus Ex(i) 3
INTERBUS-INLINE (analog I/Os) 3
INTERBUS-INLINE (digital I/Os) 3
INTERBUS remote bus 3
LON (Works) 3
PROFIBUS® DP (FMS) 3
PROFIBUS® PA (FMS) 3
PROFINET® 3
RS-422A, V.11, X.27, RS-423A 3
RS-485 3
RS-232-C/V.24 3
TTY, 0(4) - 20 mA 3
ADSL 2+, T-DSL- HDSL, VDSL
3
DSL broadband (coax) Coax
ISDN (S
0
& S
2M
bus)
3
ISDN (U
k0
)
3
SHDSL
3
Analog telephone
Note
Products bearing this stamp
(plug elements) can be tested
with the CHECKMASTER.
The interface matrix indicates which
surge protective device is suitable for a
specific interface.
Note:
For further interface recommendations,
visit phoenixcontact.net/products.
1
) The PT-IQ-PTB-UT supply module is
required in order to operate the PT-IQ
series.
Explanation of the IEC categories
LPZ Test category
for SPD
according to
IEC 61643-21
Test class
for SPD
according to
IEC 61643-11
0/1 D1 I
1/2 C2 II
2/3 C1 III
106
PHOENIX CONTACT
Surge protection and interference suppression filters
Surge protection for information technology and telecommunications

For further information and full technical data, visit phoenixcontact.net/products
Connection technology IEC category Protected
wires
Arrester Order No. Page
Screw terminal block D1/C2/C1 3 PT-IQ-3-HF-12DC-UT (bus) 2800786 78
T3 2 PLT-SEC-T3-24-FM 2905223 30
Screw terminal block D1/C2/C1 3 PT-IQ-3-HF-12DC-UT (bus) 2800786 78
T3 2 PLT-SEC-T3-24-FM 2905223 30
RJ45 D1/C2/C1 8 DT-LAN-CAT.6+ 2881007 108
RJ45 C2/C1 24 x 8 DT-LAN-19" 2838791 113
RJ45 D1/C2/C1 8 DT-LAN-CAT.6+ 2881007 108
Screw terminal block D1/C2/C1 4 PT 2X2-FF-ST & PT 4-BE 2800755 & 2839402 91
Screw terminal block D1/C2/C1 3 PT 2XEX(I)-24DC-ST &
PT 2XEX(I)-BE (bus) 2838225 & 2839279 89
T3 2 PLT-SEC-T3-DC-24-FM 2905223 31
Screw terminal block D1/C2/C1 4 PT-IQ-2X2-24DC-UT
1
)2800980 76
Screw terminal block D1/C2/C1 5 PT-IQ-4X1-24DC-UT
1
)2800982 77
D-SUB D1/C2/C1 5 DT-UFB-IB-RBI 2800055 111
5 DT-UFB-IB-RBO 2800056 111
Screw terminal block D1/C2/C1 2 PT-IQ-1X2-48DC-UT
1
)2800978 74
Screw terminal block D1/C2/C1 3 PT-IQ-3-PB-UT
1
)2800785 78
D-SUB C1 2 D-UFB-PB 2880642 112
Screw terminal block D1/C2/C1
2PT 2XEX(I)-24DC-ST &
PT 2XEX(I)-BE (bus) 2838225 & 2839279 89
4PT 4-EX(I)-24DC-ST &
PT 4-EX(I)-BE 2839253 & 2839486 89
RJ45 D1/C2/C1 8 DT-LAN-CAT.6+ 2881007 108
Screw terminal block D1/C2/C1 5 PT-IQ-5-HF+F-12DC-UT
1
)2800801 79
D-SUB D1/C2/C1 5 DT-UFB-485/BS 2920612 110
Screw terminal block 5 PT-IQ-5-HF+F-12DC-UT
1
)2800801 79
D-SUB C2/C1 9 DT-UFB-V24/S-9-SB 2803069 109
9 DT-UFB-V24/S-SB-SET 2803072 109
Screw terminal block D1/C2/C1 3 PT-IQ-3-HF+F-12DC-UT
1
)2800995 79
Screw terminal block D1/C2/C1 4 PT-IQ-2X2-24DC-UT
1
)2800980 76
Screw terminal block D1/C2/C1 4 DT-TELE-RJ45 2882925 114
D1/C2/C1 2 PT-IQ-1X2-TELE-UT 2800769 80
LSA D1/C2/C1 2 CTM 1X2-110AC &
CTM 10-MAG 2838539 & 2838610 116
TAE D1/C2/C1 4 TAE-TRAB FM-NFN-AP 2749628 115
RJ45/TAE D1/C2/C1 & T3 2 MNT-TEL... or MNT-TAE 2882404 / 2882394 57
DSL broadband (coax) Coax D1/C2/C1 2 C-TV-SAT 2856993 130
D1/C2/C1 & T3 2 MNT-TV-SAT 2882297 57
LSA D1/C2/C1 2 x 2 CTM ISDN (2x) &
CTM 10-MAG 2838555 & 2838610 117
RJ45 D1/C2/C1 4 DT-LAN-CAT.6+ 2881007 108
Screw terminal block & RJ45/RJ12
D1/C2/C1 4 DT-TELE-RJ45 2882925 114
Screw terminal block D1/C2/C1 2 PT 2-TELE 2882828 91
LSA D1/C2/C1 2 CTM 1X2-110AC &
CTM 10-MAG 2838539 & 2838610 116
RJ45/TAE D1/C2/C1 & T3 2 MNT-TEL... or MNT-TAE 2882404 / 2882394 57
Screw terminal block & RJ45/RJ12
D1/C2/C1 4 DT-TELE-SHDSL 2801593 114
See ADSL 2+
107
PHOENIX CONTACT
Surge protection and interference suppression filters
Surge protection for information technology and telecommunications

6 4 57 8321
6 4 57 8321 IN
OUT
Technical data
Electrical data
IEC test classification/EN type B2 / C1 / C2 / C3 / D1
Maximum continuous operating voltage U
C
≤ 3.3 V DC (± 60 V DC/PoE+)
Nominal current I
N
≤ 1.5 A (25°C)
Nominal discharge current I
n
(8/20) µs
Core-Core / Core-Ground 100 A / 2 kA (per signal pair) 350 A / 350 A
Total surge current (8/20) µs 10 kA
Protection level U
p
Core-Core / Core-Ground ≤ 9 V (B2 - 1 kV/25 A) /
≤ 700 V (C2 - 4 kV/2 kA)
Output voltage limitation at 1 kV/µs
Core-Core / Core-Ground ≤ 9 V / ≤700 V
Cut-off frequency fg (3 dB)
In a 100 Ω system Symmetrical > 500 MHz
General data
Dimensions W / H / D 102 mm / 25 mm / 63.5 mm 28 mm / 110 mm / 60 mm 25 mm / 108 mm / 63 mm 25 mm / 110 mm / 63 mm
Temperature range -40°C ... 70°C
Degree of protection in acc. with IEC 60529/EN 60529 IP20
Inflammability class in acc. with UL 94 -
Connection method RJ45
Test standards IEC 61643-21 / EN 50173-1 / ISO/IEC 11801-Am.1 IEC 61643-21/A1 / GB/T 18802.21 / EN 61643-21/A1 DIN EN 61643-21 / I
Ordering data
Description Type Order No. Pcs. /
Pkt.
DATATRAB adapter, protective adapter to be inserted into the
data line
DT-LAN-CAT.6+ 2881007 1
108
PHOENIX CONTACT
For Ethernet/PROFINET® networks
as well as RS-232 interfaces
DT-LAN-CAT.6+
– Suitable for category 6 high-speed data
networks
– Reliable transmission rates up to 10 Gbps
– Protective adapter for eight signal paths
via RJ45 connector
– Can be installed in a control cabinet by
removing a ground connection adapter
D-LAN-CAT.5-FP
– Suitable for category 5 data networks
– Reliable transmission speeds up to 1 Gbps
– Protective adapter for eight signal paths
via RJ45 connector
Protection for RS-232 interfaces
DT-UFB-V24/S
– Connection: 9-pos. D-SUB and 25-pos.
D-SUB
– For data and handshake cables
Pin assignment DT-UFB-V24/S-9-SB
– 1,2,3,4,6,7,8,9 Data lines
– 5 Signal ground (ground)
Pin assignment DT-UFB-V24/S-SB-
SET
– 2,3,4,5,6,8,20,22 Data lines
– 7 Signal ground (ground)
Surge protection and interference suppression filters
Surge protection for information technology and telecommunications
H
W
D
For LAN interfaces (Class E
A
/CAT6) including
PoE and ISDN S
0
protection

64578
321
64578
321
OUT
IN
55
99
88
77
66
44
33
22
11
IN OUT
77
22 22
55
44
66
20 20
22
33
88
IN OUT
For further information and full technical data, visit phoenixcontact.net/products
Technical data Technical data Technical data
B2 / C1 B2 / C1 / C2 / C3 B2 / C1 / C2 / C3
≤ 5 V DC (±57 V DC/PoE) / - - / - - / -
≤ 1.5 A (25°C) ≤ 1 A (25°C) ≤ 1 A (25°C)
Core-Core / Core-Ground 100 A / 2 kA (per signal pair) 350 A / 350 A ≤ 250 A / ≤250 A ≤ 250 A / ≤250 A
- 5 kA 5 kA
≤ 35 V (C1 - 700 V/350 A) ≤ 110 V (C1 - 700 V/350 A - PoE) / - ≤ 55 V (C1 - 250 A) /
≤ 450 V (C1 - 250 A)
≤ 55 V (C1 - 250 A) /
≤ 450 V (C1 - 250 A)
≤ 25 V / ≤750 V ≤ 50 V / - ≤ 50 V / -
> 100 MHz typ. 2.5 MHz typ. 2.5 MHz
Dimensions W / H / D 102 mm / 25 mm / 63.5 mm 28 mm / 110 mm / 60 mm 25 mm / 108 mm / 63 mm 25 mm / 110 mm / 63 mm
-40°C ... 85°C -40°C ... 85°C -40°C ... 85°C
IP20 IP20 IP20
V0 - -
RJ45 D-SUB-9 D-SUB-25
Test standards IEC 61643-21 / EN 50173-1 / ISO/IEC 11801-Am.1 IEC 61643-21/A1 / GB/T 18802.21 / EN 61643-21/A1 DIN EN 61643-21 / IEC 61643-21 DIN EN 61643-21 / IEC 61643-21
Ordering data Ordering data Ordering data
Type Order No. Pcs. /
Pkt. Type Order No. Pcs. /
Pkt. Type Order No. Pcs. /
Pkt.
D-LAN-CAT.5-FP 2800723 1DT-UFB-V24/S-9-SB 2803069 1DT-UFB-V24/S-SB-SET 2803072 1
109
PHOENIX CONTACT
Surge protection and interference suppression filters
Surge protection for information technology and telecommunications
H
W
D
H
W
D
H
W
D
For LAN interfaces (Class D/CAT5) including
PoE and ISDN S
0
protection
For RS-232 interfaces with D-SUB 9
connection
For RS-232 interfaces with D-SUB 9
connection

IN
OUT
4
3
4
3
9
8
2,7
9
8
2,7
Technical data
Electrical data
IEC test classification/EN type B2 / C1 / C2 / C3 / D1
Maximum continuous operating voltage U
C
12VDC / -
Nominal current I
N
≤ 380 mA (25°C)
Nominal discharge current I
n
(8/20) µs
Core-Core / Core-Ground ≤ 5 kA / ≤5 kA
Total surge current (8/20) µs 10 kA
Protection level U
p
Core-Core / Core-Ground ≤ 30 V (C1 - 500 A) / ≤700 V (C1 - 500 A)
Cut-off frequency fg (3 dB)
In a 100 Ω system Symmetrical typ. 50 MHz
In a 150 Ω system Symmetrical -
General data
Dimensions W / H / D 25 mm / 108 mm / 63 mm 25 mm / 110 mm / 63 mm 25 mm / 110 mm / 63 mm
Temperature range -40°C ... 85°C
Degree of protection in acc. with IEC 60529/EN 60529 IP20
Inflammability class in acc. with UL 94 -
Connection method D-SUB-9
Test standards DIN EN 61643-21
Ordering data
Description Type Order No. Pcs. /
Pkt.
DATATRAB adapter, protective adapter to be inserted into the
data line
DT-UFB-485/BS 2920612 1
110
PHOENIX CONTACT
For RS-485 or INTERBUS remote bus
DATATRAB DT-UFB-485
– Adapter type
– 9-pos. D-SUB connection
– Can be installed in a control cabinet by
removing a ground connection adapter
Pin assignment DT-UFB-485:
– 3,8 Data line pair 1 T(A)/T(B)
– 4,9 Data line pair 2 R(A)/R(B)
– 2,7 Signal ground (ground)
–
DATATRABDT-UFB-IB-RBI/ -RBO
– Adapter type
– 9-pos. D-SUB connection
– For remote bus modules
– Can be installed in a control cabinet by
removing a ground connection adapter
– D-SUB cable included
Surge protection and interference suppression filters
Surge protection for information technology and telecommunications
H
W
D
For RS-485 interfaces with D-SUB9
connection

IN
OUT
6
7
6
7
1
2
3
1
2
3
I
I
I
I
IN
OUT
6
7
6
7
1
2
3
1
2
3
I
I
I
I
For further information and full technical data, visit phoenixcontact.net/products
Technical data Technical data
B2 / C1 / C2 / C3 / D1 B2 / C1 / C2 / C3 / D1
5.8 V DC / - 5.8 V DC / -
≤ 180 mA (25°C) ≤ 180 mA (25°C)
≤ 5 kA / ≤5 kA ≤ 5 kA / ≤5 kA
10 kA 10 kA
≤ 20 V (C1 - 500 A) / ≤700 V (C1 - 500 A) ≤ 20 V (C1 - 500 A) / ≤700 V (C1 - 500 A)
≥ 100 MHz ≥ 100 MHz
≥ 100 MHz ≥ 100 MHz
Dimensions W / H / D 25 mm / 108 mm / 63 mm 25 mm / 110 mm / 63 mm 25 mm / 110 mm / 63 mm
-40°C ... 85°C -40°C ... 85°C
IP20 IP20
--
D-SUB-9 D-SUB-9
DIN EN 61643-21 / IEC 61643-21 DIN EN 61643-21 / IEC 61643-21
Ordering data Ordering data
Type Order No. Pcs. /
Pkt. Type Order No. Pcs. /
Pkt.
DT-UFB-IB-RBI 2800055 1DT-UFB-IB-RB0 2800056 1
111
PHOENIX CONTACT
Surge protection and interference suppression filters
Surge protection for information technology and telecommunications
H
W
D
H
W
D
For the INTERBUS remote bus input (RBI) For the INTERBUS remote bus output (RBO)

3
8
5
6
V
GND
D(P)
D(N)
P
IN
OUT
2B
2A
1B
1A
Technical data
Electrical data
IEC test classification/EN type C1 / C3 / B2
Maximum continuous operating voltage U
C
5.2 V DC / -
Nominal current I
N
250 mA (25°C)
Nominal discharge current I
n
(8/20) µs
Core-Core / Core-Ground 350 A / 350 A
Total surge current (8/20) µs 350 A
Protection level U
p
Core-Core / Core-Ground ≤ 25 V (C1 (500 V/250 A)) /
≤ 25 V (C1 (500 V/250 A))
Output voltage limitation at 1 kV/µs
Core-Core / Core-Ground ≤ 14 V / ≤14 V
Cut-off frequency fg (3 dB)
In a 100 Ω system Symmetrical typ. 70 MHz
General data
Dimensions W / H / D 44.5 mm / 58 mm / 16.6 mm
Temperature range -20°C ... 75°C
Degree of protection in acc. with IEC 60529/EN 60529 IP40
Connection method Screw connection & D-SUB-9
Test standards IEC 61643-21
Ordering data
Description Nominal
voltage U
N
Type Order No. Pcs. /
Pkt.
DATATRAB, protective device for PROFIBUS® DP applications
with up to 12 Mbps
D-UFB-PB 2880642 1
112
PHOENIX CONTACT
– Direct use at the PROFIBUS® interface
– Data transmission speed of up to 12 Mbps
– Integrated termination resistor
For PROFIBUS®
Surge protection and interference suppression filters
Surge protection for information technology and telecommunications
PROFIBUS® fine protection with D-SUB 9

2
1
12
J2
J1
7 8
7 8
3 4 56
34 5 6
OUT
IN
For further information and full technical data, visit phoenixcontact.net/products
Technical data
Electrical data
IEC test classification/EN type C1 / C2 / C3 / B3
Maximum continuous operating voltage U
C
6VDC
Nominal current I
N
1.5 A (25°C)
Nominal discharge current I
n
(8/20) µs
Core-Core / Core-Ground 350 A / 350 A
Total surge current (8/20) µs 10 kA
Protection level U
p
Core-Core / Core-Ground ≤ 50 V (C1, 500 V/250 A) /
≤ 40 V (C1, 500 V/250 A (J2 ON))
Output voltage limitation at 1 kV/µs
Core-Core / Core-Ground ≤ 20 V / ≤30 V (J2 inserted)
Cut-off frequency fg (3 dB)
In a 100 Ω system Symmetrical > 100 MHz
General data
Dimensions W / H / D 483 mm / 44 mm / 160 mm
Temperature range -40°C ... 80°C
Degree of protection in acc. with IEC 60529/EN 60529 IP20
Connection method RJ45
Test standards IEC 61643-21
Ordering data
Description Type Order No. Pcs. /
Pkt.
DATATRAB, for use in Ethernet, token ring, FDDI/CDDI according
to Cat. D/CAT5 EN 50173 (1000Base-T)
24 ports D-LAN-19"-24 2838791 1
20 ports D-LAN-19"-20 2880134 1
16 ports D-LAN-19"-16 2880147 1
12 ports D-LAN-19"-12 2880150 1
8 ports D-LAN-19"-8 2880163 1
4 ports D-LAN-19"-4 2880176 1
Surge protection PCB as replacement or for retrofitting in D-LAN-
19"... products, incl. RJ45 sockets
4 ports D-LAN-19"-D-P 2880192 1
113
PHOENIX CONTACT
– 19" rack for installation in storey
distributors
– Up to 24 ports with RJ45 connection
– Reliable transmission speeds up to 1 Gbps
– Protection of all eight signal wires of the
data cable
– Indirect grounding via a gas-filled surge
arrester in the housing
– Direct grounding via a connection on the
housing
For Ethernet/PROFINET® networks
Surge protection and interference suppression filters
Surge protection for information technology and telecommunications
For data interfaces, with RJ45 connection
Class D/CAT5e

IN
2
3
5
4
RJ 12
1
2
4
3
RJ 11
3
4
6
5
RJ 45
a2
a1
b2
b1
Plug
OUT
1
2
4
3
RJ 11
2
3
5
4
RJ 12
3
4
6
5
RJ 45
a2
a1
b2
b1
Plug
unprotected
2
3
5
4
RJ 12
1
2
4
3
RJ 11
3
4
6
5
RJ 45
Ba
Aa
Bb
Ab
Plug
protected
1
2
4
3
RJ 11
2
3
5
4
RJ 12
3
4
6
5
RJ 45
Ba
Aa
Bb
Ab
Plug
Technical data Technical data
Electrical data
IEC test classification/EN type B2 / C1 / C2 / C3 / D1 B2 / C1 / C2 / C3 / D1
Maximum continuous operating voltage U
C
185 V DC 185 V DC
Nominal current I
N
≤ 380 mA (25°C) ≤ 380 mA (25°C)
Nominal discharge current I
n
(8/20) µs
Core-Core / Core-Ground ≤ 5 kA / ≤5 kA ≤ 5 kA / ≤5 kA
Total surge current (8/20) µs 10 kA 10 kA
Protection level U
p
Core-Core / Core-Ground - / - ≤ 250 V (C1 - 500 A) / ≤580 V (C1 - 500 A)
Cut-off frequency fg (3 dB)
In a 100 Ω system Core-Core typ. 50 MHz 25 MHz
General data
Dimensions W / H / D 25 mm / 103 mm / 63 mm 25 mm / 103 mm / 63 mm
Connection data solid / stranded / AWG 0.14 ... 1.5 mm² / 0.14 ... 1.5 mm² / 28 - 16 0.14 ... 1.5 mm² / 0.14 ... 1.5 mm² / 28 - 16
Temperature range -40°C ... 85°C -40°C ... 85°C
Degree of protection in acc. with IEC 60529/EN 60529 IP20 IP20
Connection method RJ45/COMBICON RJ45/COMBICON
Test standards IEC 61643-21 IEC 61643-21
Ordering data Ordering data
Description Voltage U
N
Type Order No. Pcs. /
Pkt. Type Order No. Pcs. /
Pkt.
DATATRAB, protective adapter for insertion in the data cable
DT-TELE-RJ45 2882925 1DT-TELE-SHDSL 2801593 1
114
PHOENIX CONTACT
– Protection for two DSL ports
– Connection: RJ45 (RJ12/RJ11) and plug-in
screw terminal block (COMBICON)
– Alternatively, can be snapped onto a DIN
rail
– Protective circuit:
Course/fine protection combination
between all cables of signal wire pairs, as
well as common mode voltage coarse
protection between all signal wires and
ground
– Separate ground connection line
– The adapter included enables conversion
from RJ45 to RJ11 and RJ12 (for
contacting, see circuit diagram)
H
W
D
H
W
D
For telecommunications interfaces
Surge protection and interference suppression filters
Surge protection for information technology and telecommunications
Attachment plug for two VDSL interfaces
(ports)
Attachment plug for two SHDSL interfaces
(ports)

L
b
L
a
45 6
32 1
45 6
32 1
45 6
32 1
N
F
N
a2
b2
E
W
For further information and full technical data, visit phoenixcontact.net/products
Technical data
Electrical data
IEC test classification/EN type B2 / C1 / C2 / C3 / D1
Nominal voltage U
N
60VDC
Maximum continuous operating voltage U
C
185 V DC
Nominal current I
N
450 mA (≤ 40°C)
Nominal discharge current I
n
(8/20) µs
Core-Core / Core-Ground 5 kA / 5 kA
Total surge current (8/20) µs 10 kA
Protection level U
p
Core-Core / Core-Ground ≤ 250 V (C2 - 10 kV / 5 kA) /
≤500 V (C2 - 10 kV / 5 kA)
Output voltage limitation at 1 kV/µs
Core-Core / Core-Ground ≤ 250 V / ≤450 V
Cut-off frequency fg (3 dB)
In a 600 Ω system Core-Core typ. 2 MHz
General data
Dimensions W / H / D 65 mm / 27 mm / 80 mm
Temperature range -40°C ... 80°C
Degree of protection in acc. with IEC 60529/EN 60529 IP20
Connection method Screw connection & TAE 6
Test standards DIN EN 61643-21 / IEC 61643-21
Ordering data
Description Type Order No. Pcs. /
Pkt.
TAE outlet box (NFN) with surge protection for analog
telecommunications interfaces
Surface-mounted socket D TAE-TRAB FM-NFN-AP 2749628 1
115
PHOENIX CONTACT
– For surface mounting
– Three TAE6 slots
– For two N-coded and one F-coded end
device
– Suitable for ADSL and VDSL
– Main areas of application: phone
terminals, answering machines, modems,
and fax machines
For analog and DSL
telecommunications systems
Surge protection and interference suppression filters
Surge protection for information technology and telecommunications
TAE outlet box for VDSL (NFN)

IN
OUT
1
2
2'
1'
IN
OUT
1
2
2'
1'
Technical data Technical data
Electrical data ... 12DC ... 24DC ... 60DC ... 110AC ... 12DC ... 24DC ... 60DC ... 110AC
IEC test classification/EN type B2 / C1 / C2 /
C3 / D1
B2 / C1 / C2 /
C3 / D1
B2 / C1 / C2 /
C3 / D1
B2 / C1 / C2 /
C3 / D1
B2 / C1 / C2 /
C3 / D1
B2 / C1 / C2 /
C3 / D1
B2 / C1 / C2 /
C3 / D1
B2 / C1 / C2 /
C3 / D1
Maximum continuous operating voltage U
C
± 15 V DC /
10VAC
± 30 V DC /
21VAC
± 65VDC /
50VAC
± 180 V DC /
125VAC
± 15 V DC /
10VAC
± 30 V DC /
21 V AC
± 65VDC /
50VAC
± 180 V DC /
125VAC
Impulse discharge curr. I
imp
(10/350) μs
Per path 1 kA 1 kA 1 kA 1 kA 1 kA 1 kA 1 kA 1 kA 1 kA 1 kA 1 kA
Nominal current I
N
380 mA (25°C) 380 mA (25°C) 380 mA (25°C) 380 mA (25°C) 380 mA (25°C) 380 mA (25°C) 380 mA (25°C) 380 mA (25°C) 1.5 A (25°C) 1.5 A (25°C
Nominal discharge current I
n
(8/20) µs
Core-Core / Core-Ground 5 kA / 5 kA 5 kA / 5 kA 5 kA / 5 kA 5 kA / 5 kA - / 5 kA - / 5 kA - / 5 kA - / 5 kA 350 A / 5 kA - / 5 kA - / 5 kA
Total surge current (8/20) µs 10 kA 10 kA 10 kA 10 kA 10 kA 10 kA 10 kA 10 kA 10 kA 10 kA 10 kA
Output voltage limitation at 1 kV/µs
Core-Core ≤ 25 V ≤ 70 V ≤ 160 V ≤ 260 V - - - -
Core-Ground ≤ 700 V ≤ 700 V ≤ 700 V ≤ 800 V ≤ 22 V ≤ 45 V ≤ 160 V ≤ 15 V
Cut-off frequency fg (3 dB)
Symmetrical / asymmetrical in the 100 Ω system 1.2 MHz / - 2.7 MHz / - 2 MHz / - 20 MHz / - - / 1.5 MHz - / 2.7 MHz - / 2 MHz - / typ. 20 MHz
Resistance per path 3.3 Ω3.3 Ω3.3 Ω3.3 Ω3.3 Ω3.3 Ω3.3 Ω3.3 Ω
General data
Dimensions W / H / D 9.5 mm / 21 mm / 53.5 mm 9.5 mm / 21 mm / 53.5 mm 9.5 mm / 21 mm / 53.5 mm 9.5 mm / 21 mm / 53.5 mm 9.5 mm / 21
Temperature range -25°C ... 75°C -25°C ... 75°C -25°C ... 75°C -40°C ... 85°C -40°C ... 85°C
Degree of protection in acc. with IEC 60529/EN 60529 IP20 IP20 IP20 IP20 IP20
Inflammability class in acc. with UL 94 V0 V0 V0 V0 V0
Test standards IEC 61643-21 IEC 61643-21 IEC 61643-21 IEC 61643-21 IEC 61643-21
Ordering data Ordering data
Description Voltage U
N
Type Order No. Pcs. /
Pkt. Type Order No. Pcs. /
Pkt.
COMTRAB modular
12VDC CTM 1X2- 12DC 2838597 10 CTM 2X1- 12DC 2838584 10
24 V DC CTM 1X2- 24DC 2838513 10 CTM 2X1- 24DC 2838500 10
60 V DC CTM 1X2- 60DC 2838568 10 CTM 2X1- 60DC 2838542 10
110 V AC CTM 1X2-110AC 2838539 10 CTM 2X1-110AC 2838526 10
180 V DC
COMTRAB modular, surge protection for the ISDN-S
0
interface
6VDC
Accessories Accessories
Magazine, with grounding rail for accommodating up to
10 LSA-PLUS protective plugs (CTM...), for insertion in
CT-TERMIBLOCK or LSA-PLUS disconnect strip
CTM 10-MAG 2838610 5CTM 10-MAG 2838610 5
Grounding connector
CTM EST 2838649 10 CTM EST 2838649 10
116
PHOENIX CONTACT
– Space-saving LSA-PLUS connection
technology
– Can be used in LSA-PLUS disconnect and
control strips or CT-TERMIBLOCK
– The CTM 10-MAG surge protection
magazine can be fitted with ten different
protective plugs
For telecommunications and
measurement and control interfaces
COMTRAB modular
Surge protection and interference suppression filters
Surge protection for information technology and telecommunications
Double wire (loop), floating 2-wire, with common reference potential 2-wire, with common reference potential 2-wire, coarse protec

IN
OUT
1'
1
2'
2
IN
OUT
1
2
2'
1'
J
J
IN
OUT
1
2
2'
1'
J
J
J
J
For further information and full technical data, visit phoenixcontact.net/products
Technical data Technical data Technical data
B2 / C2 / C3 / D1 / C1 A2 / B1 / B2 / B3 / C1 / C2 / C3 / D1 / D2 A2 / B1 / B2 / B3 / C1 / C2 / C3 / D1 / D2
± 6 V DC / - ± 180 V DC / - ± 180 V DC / -
Per path 1 kA 1 kA 1 kA 1 kA 1 kA 1 kA 1 kA 1 kA 1 kA 1 kA 1 kA
C) 380 mA (25°C) 380 mA (25°C) 380 mA (25°C) 1.5 A (25°C) 1.5 A (25°C) 120 mA (25°C)
Core-Core / Core-Ground 5 kA / 5 kA 5 kA / 5 kA 5 kA / 5 kA 5 kA / 5 kA - / 5 kA - / 5 kA - / 5 kA - / 5 kA 350 A / 5 kA - / 5 kA - / 5 kA
Total surge current (8/20) µs 10 kA 10 kA 10 kA 10 kA 10 kA 10 kA 10 kA 10 kA 10 kA 10 kA 10 kA
≤ 15 V - -
≤ 700 V ≤ 800 V ≤ 800 V
≥ 100 MHz / - - / > 100 MHz - / > 100 MHz
--5.5 Ω
Dimensions W / H / D 9.5 mm / 21 mm / 53.5 mm 9.5 mm / 21 mm / 53.5 mm 9.5 mm / 21 mm / 53.5 mm 9.5 mm / 21 mm / 53.5 mm 9.5 mm / 21 mm / 53.5 mm
-25°C ... 75°C -25°C ... 75°C -25°C ... 75°C -40°C ... 85°C -40°C ... 85°C
Degree of protection in acc. with IEC 60529/EN 60529 IP20 IP20 IP20 IP20 IP20
Inflammability class in acc. with UL 94 V0 V0 V0 V0 V0
IEC 61643-21 IEC 61643-21 IEC 61643-21 IEC 61643-21 IEC 61643-21
Ordering data Ordering data Ordering data
Type Order No. Pcs. /
Pkt. Type Order No. Pcs. /
Pkt. Type Order No. Pcs. /
Pkt.
CTM 2X1-180DC-GS 2838636 10 CTM 2X1-180DC-GS-P 2838623 10
CTM ISDN 2838555 10
Accessories Accessories Accessories
CTM 10-MAG 2838610 5CTM 10-MAG 2838610 5CTM 10-MAG 2838610 5
CTM EST 2838649 10 CTM EST 2838649 10 CTM EST 2838649 10
117
PHOENIX CONTACT
Surge protection and interference suppression filters
Surge protection for information technology and telecommunications
Double wire (loop), floating 2-wire, with common reference potential 2-wire, with common reference potential 2-wire, coarse protection, with failsafe contact 2-wire, coarse protection, with failsafe contact
and current protection (Powercross)

b1
a1
b2
a2
b3
a3
b4
a4
b5 b8/b10
a5 a8/a10
b1
b2 b3 b4 b5
b8/b10
a1 a2 a3 a4 a5
a8/a10
Ordering data Ordering data
Description Voltage U
N
Type Order No. Pcs. /
Pkt. Type Order No. Pcs. /
Pkt.
Coarse protection magazine, to accommodate 20 two-electrode
gas-filled surge arresters, type H, unassembled, version: 10 double
wires
CT 10-2/2-GS 2765398 5
Coarse protection card cage, for 10 double wires
unassembled, for accommodating 10 three-
electrode gas-filled surge arresters
CT 10-2/2-GS/3E 2765408 5
assembled, with 10 three-electrode gas-filled
surge arresters
110VAC CT 10-2/2-GS/3E-110AC 2920829 10
Accessories Accessories
2-electrode gas-filled surge arrester filled with inert gas,
type H, for use in CT 10-2/2-GS coarse protection magazine
48VAC SVP 2E- 48AC 2788919 10
110VAC SVP 2E-110AC 2765534 10
3-electrode gas-filled surge arrester filled with inert gas,
for use in CT 10-2/2-GS/3E coarse protection magazine
110VAC SVP 3E-110AC 2765521 10
118
PHOENIX CONTACT
– For use in CT-TERMIBLOCK or in
LSA-PLUS and LSA-PROFIL disconnect
and terminal strips
CT 10-2/2-GS
– For fitting with 20 two-electrode
arresters filled with inert gas
– Common mode voltage coarse
protection for 20 signal wires
CT ...-2/2-GS/3E
– Fitted with up to 10 three-electrode
arresters filled with inert gas
– When the gas-filled arrester is triggered,
the potentials of the three connections
a-b- are equalized
– Coarse protection both in the normal
mode voltage branch and the common
mode voltage branch for 10 double wires
Notes:
For dimensional drawings, see phoenixcontact.net/products
LSA-PLUS coarse protection
magazine
Surge protection and interference suppression filters
Surge protection for information technology and telecommunications
For 10 double wires (loops) and 20 two-
electrode gas-filled surge arresters
For 10 double wires (loops) and 10 three-
electrode gas-filled surge arresters

For further information and full technical data, visit phoenixcontact.net/products
Technical data Technical data
General data
Dimensions W / H / D 118 mm / 43 mm / 40.9 mm 112.5 mm / 21.8 mm / 44 mm
Connection data solid / stranded / AWG 0.2 ... 2.5 mm² / 0.2 ... 2.5 mm² / 24 - 14 - / - / -
Temperature range -40°C ... 85°C -25°C ... 75°C
Degree of protection in acc. with IEC 60529/EN 60529 IP20 IP20
Inflammability class in acc. with UL 94 V2 V0
Ordering data Ordering data
Description Type Order No. Pcs. /
Pkt. Type Order No. Pcs. /
Pkt.
Screw termination block with disconnect contacts for
accommodating CT and CTM protective plugs, version:
10 double wires
CT-TERMIBLOCK 10 DA 0441711 10
Magazine, with a grounding rail to accommodate up to
10 LSA-PLUS protective plugs (CTM...), to insert in
CT-TERMIBLOCK or LSA-PLUS disconnect strip
CTM 10-MAG 2838610 5
H
W
D
– Screw terminal block
– For COMTRAB protective plugs
– Automatically closing feed-
through/disconnect contacts
– Ground terminal blocks on both sides
with plug-in connection for the protective
plugs used
– Mounting on DIN rails according to
EN60715
Notes:
For dimensional drawings, see phoenixcontact.net/products
CT-TERMIBLOCK
Surge protection and interference suppression filters
Surge protection for information technology and telecommunications
For accommodating the CT and CTM
protective plugs, with screw connection
Magazine for 10 CTM
Ordering data Ordering data
Description Type Order No. Pcs. /
Pkt. Type Order No. Pcs. /
Pkt.
LSA-PLUS disconnect strip to hold the CTM and CT 10
protection modules, version: 10 double wires
CT 10-TL 2765356 5
Grounding rail for CTM protective plug when used in combination
with LSA-PLUS disconnect strip, version: 10 double wires
CT 1-10-ES 2765547 10
Mounting clip, for holding 3 disconnect or ground
wire strips, version: 10 double wires
CT 10-MB/ 3 2765372 2
Mounting clip, for holding 10 disconnect or
ground wire strips, version: 10 double wires
CT 10-MB/10 2765385 2
Cable feed-through sleeve for assembly troughs,
for protection of the lines guided through the
laminated frame
CT-KDT 2765518 10
119
PHOENIX CONTACT
– LSA-PLUS disconnect strip
– For COMTRAB protective plugs
– For up to 10 CTM plugs
Notes:
For dimensional drawings, see phoenixcontact.net/products
COMTRAB disconnect strip
For accommodating the CT and CTM protective
plugs, with LSA-PLUS connection
Grounding rail/mounting clip

11 12
PLUGTRAB
PLT-SEC
T3-230-P
T3
Protection of PROFIBUS DP
PT-IQ-PTB-UT + PT-IQ-5HF-12DC-UT
Optional
PT 5-HF-12DC-ST +
PT 2X2-BE
2800768 + 2800799 2838775 + 2839208
Page 78 Page 90
Protection of PROFIBUS PA
PT 2XEX(I)-24DC + PT 2XEX(I)-BE
2838225 + 2839279
Page 89
Protection of CAN bus/DeviceNet™
PT 5-HF-12DC-ST + PT 2X2-BE PLT-SEC-T3-230-FM PT 3-HF-12DC-ST +
PT 1X2-BE
2838775 + 2839208 2905229 2858043 + 2856113
Page 90 Page 31 Page 90
120
PHOENIX CONTACT
Surge protection and interference suppression filters
Surge protection for information technology and telecommunications

For further information and full technical data, visit phoenixcontact.net/products
Protection of an RS-485 interface
PT-IQ-PTB-PT + PT-IQ-5-HF-12DC-PT
Optional
PT 5-HF-12DC-ST +
PT 2X2+F-BE
2801296 + 2801293 2838775 + 2839224
Page 78 Page 90
Protection of an Ethernet interface (including PoE)
100Base-T
1000Base-T
10GBase-T
DT-LAN-CAT.6+
2881007
Page 108
Protection of a DSL interface
ADSL
HDSL
VDSL
PT 2-TELE MNT-TAE D/WH
2882828 2882394
Page 91 Page 57
121
PHOENIX CONTACT
Surge protection and interference suppression filters
Surge protection for information technology and telecommunications

122
PHOENIX CONTACT
Surge protection and interference suppression filters
Surge protection for transceiver systems
You won't lose reception with
COAXTRAB
Transceiver systems are generally
considered to be particularly susceptible to
surge voltages. Antenna cables which
extend beyond a building and are usually
very long, plus the antennas themselves, are
directly exposed to atmospherical
discharge.
Cables with a coaxial structure and
therefore favorable EMC properties are
primarily used in antenna systems. However,
the risk of surge voltage coupling in antenna
cables and potential transfer through to the
sensitive interfaces of transceiver systems is
not eliminated.
Thanks to interface-optimized surge
protective devices, the COAXTRAB
product range significantly increases safety
for transceiver equipment. The aim of such
safety measures is to increase the availability
and operability of the devices affected.
Your web code: #0146

For further information and full technical data, visit phoenixcontact.net/products
123
PHOENIX CONTACT
Surge protection and interference suppression filters
Surge protection for transceiver systems
Shielding
Good shielding properties are vital for a
clean transmission. The robust metal
housings provide ideal shielding properties
and are also suitable for use in harsh
industrial environments.
Customized products
Appropriate protective devices are
available for all applications including SAT
receiver systems, mobile phones, and video
monitoring.
The very low attenuation values ensure
that data transmission is clean.
Performance classes
The protective devices conform to
standards in all performance classes. This
applies for coarse protection in accordance
with Category D1, 10/350 s and for fine
protection in accordance with Category C2
and C1, 8/20 s.
Connection technology
The right connection technology to suit
the application: F connector, TV connector,
type N, 7/16, UHF, BNC, SMA.

Power
Technology Interface Mounting
GPS, GSM, UMTS, LTE
(900, 1800, 1900 MHz)
GSM, UMTS, LTE (without COAX DC
supply)
(900, 1800, 1900 MHz)
WiMAX, LTE (2.4 ... 6 GHz) Coax type N D1/C2/C3 2 CN-LAMBDA/4-5.9 2838490 / 2800023 129
GSM, Industrial wireless (2.4 GHz) Coax SMA D1/C2/C3 2 CSMA-LAMBDA/4-2.0-BS-SET 2800491 129
Satellite television
(upstream of the antenna distributor)
Satellite television
(upstream of the SAT receiver or TV)
Cable/terrestrial TV
Video monitoring (Coax connection) Coax BNC
Video monitoring (2-wire connection) 3
The interface matrix indicates which
surge protective device is suitable for a
specific transceiver system.
Note:
For further interface recommendations,
visit phoenixcontact.net/products
1
) The PT-IQ-PTB-UT supply module is
required in order to operate the PT-IQ
series.
Explanation of the IEC categories
LPZ Test category
for SPD
corresponds
to
IEC 61643-21
Test class for
SPD
corresponds
to
IEC 61643-11
0/1 D1 I
1/2 C2 II
2/3 C1 III
124
PHOENIX CONTACT
Surge protection and interference suppression filters
Surge protection for transceiver systems

For further information and full technical data, visit phoenixcontact.net/products
Connection
technology IEC category Protected
wires Arrester Order No. Page
Coax type N
D1/C2/C3 2 CN-UB-280DC-3 2801050 / 2801051 126
D1/C2/C3 2 CN-UB-70-6 2803166 / 2803153 126
Coax type N D1/C2/C3 2 CN-LAMBDA/4-2.25 2801057 / 2801056 128
Coax 7/16 D1/C2/C3 2 C7/16-LAMBDA/4-2.25 2801060 / 2801059 129
WiMAX, LTE (2.4 ... 6 GHz) Coax type N D1/C2/C3 2 CN-LAMBDA/4-5.9 2838490 / 2800023 129
GSM, Industrial wireless (2.4 GHz) Coax SMA D1/C2/C3 2 CSMA-LAMBDA/4-2.0-BS-SET 2800491 129
Coax F D1/C2/C1 5 x 2 C-SAT-BOX 2880561 130
Coax F D1/C2/C1 2 C-TV-SAT 2856993 131
Coax F and IEC D1/C2/C3 & T3 2 MNT-TV-SAT 2882297 57
Coax IEC D1/C2/C1 2 C-TV/HIFI 2857002 131
Coax F and IEC D1/C2/C3 & T3 2 MNT-TV-SAT 2882297 57
Video monitoring (Coax connection) Coax BNC
D1/C2/C3 2 C-UFB-5DC/E 2782300 127
D1/C2/C3 2 C-UFB-5DC/E 75 2763604 127
Terminal block
D1/C2/C1 2 PT-IQ-3-PB+F-UT 2800994 78
D1/C2/C1 2 x 2 PT-IQ-2X2-5DC-UT 2800807 76
125
PHOENIX CONTACT
Surge protection and interference suppression filters
Surge protection for transceiver systems

Technical data Technical data
Electrical data
IEC test classification/EN type C2 / C3 / D1 C2 / C3 / D1
Maximum continuous operating voltage U
C
280 V DC 70 V DC / 50 V AC
Nominal current I
N
5 A (25°C) 10 A
Nominal discharge current I
n
(8/20) µs
Core-Shield / Core-Ground 20 kA / 20 kA 5 kA / 5 kA
Total surge current (8/20) µs 20 kA 5 kA
Protection level U
p
Core-Shield / Core-Ground ≤ 900 V (C1 - 1 kV/500 A) / ≤900 V (C1 - 1 kV/500 A) ≤ 800 V (C2 - 4 kV/2 kA) / ≤800 V (C2 - 4 kV/2 kA)
In a 50 Ω system Asymmetrical > 3 GHz > 6 GHz
Standing wave ratio SWR in a 50 Ω system typ. 1.15 (≤ 3 GHz) typ. 1.15 (6 GHz)
Permissible RF power P
max
700 W (VSWR = 1.1) 30 W (VSWR = 1.15)
General data
Dimensions W / H / D 31 mm / 33.5 mm / 57.8 mm 24 mm / 50 mm / 24 mm 25.4 mm / 25.4 mm / 83 mm 25.4 mm / 80 mm / 2.54 mm 25.4 mm / -
Temperature range -40°C ... 80°C -40°C ... 90°C
Degree of protection in acc. with IEC 60529/EN 60529 IP55 IP68
Connection method N connector 50 ΩN connector 50 Ω
Test standards IEC 61643-21/A1 / - IEC 61643-21
Ordering data Ordering data
Description Type Order No. Pcs. /
Pkt. Type Order No. Pcs. /
Pkt.
COAXTRAB, protective adapter for antenna connections
Socket-socket CN-UB-280DC-3-BB 2801050 1CN-UB-70DC-6-BB 2803166 1
Connector-socket CN-UB-280DC-3-SB 2801051 1CN-UB-70DC-6-SB 2803153 1
COAXTRAB, as surge protection for coaxial cables, connection via
connector and socket
BNC 50 Ω
BNC 75 Ω
Accessories Accessories
Mounting plate, for individual attachment to housing panels
straight CN-UB/MP 2818135 10 CN-UB/MP 2818135 10
angled CN-UB/MP-90DEG-50 2803137 10 CN-UB/MP-90DEG-50 2803137 10
BNC connector, single-level, for mounting on NS32 or NS35/7,5
50 Ω wave impedance
75 Ω wave impedance
Adapter, insertion loss <0.3 dB at 2.4 GHz
N (male) -> SMA (female) RAD-ADP-N/M-SMA/F 2917036 1
Adapter cable, pigtail, 50 Ω impedance;
50 cm long, MCX (male) -> N (male) RAD-PIG-EF316-MCX-N 2867681 1
126
PHOENIX CONTACT
– For antennas with N and BNC
connection
– High transmission capacities even for
frequencies up to 6 GHz
– Mounting plate enables fixed mounting,
e.g., in a control cabinet
– The protective adapters can also be used
in a 75 system with 50 BNC
connectors
– For the CN-UB-280DC, the gas-filled
surge arrester can be replaced in case of
malfunction
Notes:
Attenuation characteristics at phoenixcontact.net/products
For GSM, TETRA, and video systems
Surge protection and interference suppression filters
Surge protection for transceiver systems
For GSM systems (0 - 3 GHz), grounded shield,
connection: N type
For GSM systems (0 - 6 GHz), grounded shield,
connection: type N

IN
OUT
For further information and full technical data, visit phoenixcontact.net/products
Technical data Technical data Technical data
... 5DC/E ... 24DC/E ... 5DC/E 75
C2 / C3 / D1 C2 / C3 / D1 C2 / C3 / D1 C2 / C3 / D1 C2 / C3 / D1
180VDC / 130VAC 180VDC / 130VAC 5VDC 30VDC -
5 A (25°C) 3.5 A (25°C) 185 mA (25°C) 185 mA (25°C) -
5 kA / 5 kA 5 kA / 5 kA 10 kA / 10 kA 10 kA / 10 kA 10 kA / 10 kA
10 kA 10 kA 20 kA 20 kA 20 kA
≤ 700 V (C2 - 10 kV/5 kA) / ≤500 V (C2 - 10 kV/5 kA) ≤ 700 V (C2 - 10 kV / 5 kA) / ≤500 V (C2 - 10 kV / 5 kA) ≤ 55 V (C1 -
1 kV/500 A) /
≤ 500 V (C1 -
1 kV/500 A)
≤ 70 V (C1 -
1 kV/500 A) /
-
≤ 55 V (C1 -
1 kV/500 A) /
-
typ. 1 GHz typ. 1 GHz typ. 90 MHz typ. 90 MHz typ. 80 MHz
≤ 1.2 (≤ 200 MHz) typ. 1.3 (≤ 150 MHz) -
300 W (VSWR = 1.1) 300 W (VSWR = 1.1) -
Dimensions W / H / D 31 mm / 33.5 mm / 57.8 mm 24 mm / 50 mm / 24 mm 25.4 mm / 25.4 mm / 83 mm 25.4 mm / 80 mm / 2.54 mm 25.4 mm / - / 93 mm
-40°C ... 80°C -40°C ... 80°C -40°C ... 80°C
IP20 IP20 IP20
N connector 50 ΩBNC 50 ΩBNC 50 ΩBNC 50 ΩBNC 75 Ω
- IEC 61643-21 / - IEC 61643-21
Ordering data Ordering data Ordering data
Type Order No. Pcs. /
Pkt. Type Order No. Pcs. /
Pkt. Type Order No. Pcs. /
Pkt.
CN-UB/E-BB 2817686 1
CN-UB/E 2763691 1C-UB/E 2763701 10
C-UFB-24DC/E 2782313 10
C-UFB- 5DC/E 75 2763604 10
Accessories Accessories Accessories
BNC-V 50 2805041 10 BNC-V 50 2805041 10 BNC-V 50 2805041 10
BNC-V 75 2805070 10
127
PHOENIX CONTACT
Surge protection and interference suppression filters
Surge protection for transceiver systems
For TETRA systems (380MHz - 470MHz),
floating shield, connection: type N
For video systems, floating shield, coarse
protection, connection: BNC
For video systems, floating shield,
connection: BNC

λ/4
λ/4
Technical data Technical data
Electrical data
IEC test classification/EN type C2 / C3 / D1 C2 / C3 / D1
Nominal current I
N
5 A (25°C) 5 A (25°C)
Nominal discharge current I
n
(8/20) µs
Core-Shield / Core-Ground 20 kA / 20 kA 50 kA / 50 kA
Total surge current (8/20) µs 30 kA 60 kA
Protection level U
p
Core-Shield / Core-Ground ≤ 95 V (C2 - 10 kV / 5 kA) /
≤ 95 V (C2 - 10 kV / 5 kA)
- /
≤ 5 V (C1 - 1 kV/500 A)
Frequency range 380 MHz ... 470 MHz 0.8 GHz ... 2.25 GHz
Standing wave ratio SWR in a 50 Ω system typ. 1.05 (≤ 1,15) typ. 1.2
Permissible RF power P
max
≤ 800 W ≤ 500 W
General data
Dimensions W / H / D 32 mm / 32 mm / 83 mm 25 mm / 78.7 mm / 77.5 mm 39 mm / 83.5 mm / 82 mm 46.5 mm / 25 mm / 70 mm 26.1 mm / 38 mm
Temperature range -40°C ... 90°C -40°C ... 85°C
Degree of protection in acc. with IEC 60529/EN 60529 IP68 IP68
Connection method N connector N connector 50 Ω
Test standards IEC 61643-21 IEC 61643-21/A1 / EN 61643-21/A1 IEC 61643-21/A1 / EN 61643-21/A1 IEC 61643-21/A1 / EN 61643-21/A1 IEC 6
Ordering data Ordering data
Description Type Order No. Pcs. /
Pkt. Type Order No. Pcs. /
Pkt.
COAXTRAB, protective adapter for antenna connections with
Lambda/4 technology
Socket-socket CN-LAMBDA/4-0.47-BB 2800021 1CN-LAMBDA/4-2.25-BB 2801057 1
Connector-socket CN-LAMBDA/4-0.47-SB 2800022 1CN-LAMBDA/4-2.25-SB 2801056 1
Surge protection for UMTS and quad-band GSM antenna, with
SMA connector and SMA coupling
Accessories Accessories
Mounting plate, for individual attachment to housing panels
straight CN-UB/MP 2818135 10
angled CN-UB/MP-90DEG-50 2803137 10 CN-UB/MP-90DEG-50 2803137 10
Adapter, insertion loss <0.3 dB at 2.4 GHz
N (male) -> SMA (female) RAD-ADP-N/M-SMA/F 2917036 1RAD-ADP-N/M-SMA/F 2917036 1
Adapter cable, pigtail, 50 Ω impedance;
50 cm long, MCX (male) -> N (male) RAD-PIG-EF316-MCX-N 2867681 1RAD-PIG-EF316-MCX-N 2867681 1
30 cm long, N (female) -> SMA (male) RAD-PIG-EF316-N-SMA 2867694 1RAD-PIG-EF316-N-SMA 2867694 1
128
PHOENIX CONTACT
– For antennas with N, 7/16, and SMA
connection
– High transmission capacities even for
frequencies up to 6 GHz
– Maintenance-free surge protection with
Lambda/4 technology
– Low protection level
Notes:
Attenuation characteristics at phoenixcontact.net/products
With Lambda/4 technology for
TETRA, GSM, and WiMAX systems
Surge protection and interference suppression filters
Surge protection for transceiver systems
For TETRA systems (380 MHz - 470 MHz),
grounded shield, connection: type N
For GSM systems (0.8 GHz-2.25 GHz),
grounded shield, connection: N type

λ/4
λ/4
λ/4
For further information and full technical data, visit phoenixcontact.net/products
Technical data Technical data Technical data
C2 / C3 / D1 C2 / C3 / D1 C2 / C3 / D1
5 A (25°C) 2 A (25°C) 5 A (25°C)
50 kA / 50 kA 6 kA / 6 kA 50 kA / 50 kA
60 kA 6 kA 60 kA
- /
≤ 5 V (C1 - 1 kV/500 A)
- /
≤ 5 V (C1 (1 kV/500 A))
- /
≤ 11 V (6 kV/3 kA)
0.8 GHz ... 2.25 GHz 0.8 GHz ... 2.25 GHz 2.4 GHz ... 5.9 GHz
typ. 1.2 ≤ 1.2 (0.8 GHz ... 2.25 GHz) typ. 1.1 (≤ 1.20 (2.4 GHz...5.9 GHz))
≤ 500 W ≤ 110 W (VSWR = 1.0) ≤ 500 W
Dimensions W / H / D 32 mm / 32 mm / 83 mm 25 mm / 78.7 mm / 77.5 mm 39 mm / 83.5 mm / 82 mm 46.5 mm / 25 mm / 70 mm 26.1 mm / 38 mm / 60 mm
-40°C ... 85°C -40°C ... 70°C -40°C ... 90°C
IP68 IP55 IP68
7/16 connector SMA connector N connector
Test standards IEC 61643-21 IEC 61643-21/A1 / EN 61643-21/A1 IEC 61643-21/A1 / EN 61643-21/A1 IEC 61643-21/A1 / EN 61643-21/A1 IEC 61643-21
Ordering data Ordering data Ordering data
Type Order No. Pcs. /
Pkt. Type Order No. Pcs. /
Pkt. Type Order No. Pcs. /
Pkt.
C7/16-LAMBDA/4-2.25-BB 2801060 1CN-LAMBDA/4-5.9-BB 2838490 1
C7/16-LAMBDA/4-2.25-SB 2801059 1CN-LAMBDA/4-5.9-SB 2800023 1
CSMA-LAMBDA/4-2.0-BS-SET 2800491 1
Accessories Accessories Accessories
CN-UB/MP 2818135 10
CN-UB/MP-90DEG-50 2803137 10 CN-UB/MP-90DEG-50 2803137 10
RAD-ADP-N/M-SMA/F 2917036 1
RAD-PIG-EF316-MCX-N 2867681 1
129
PHOENIX CONTACT
Surge protection and interference suppression filters
Surge protection for transceiver systems
For GSM systems (0.8 GHz-2.25 GHz),
grounded shield, connection: 7/16
For GSM systems (0.8GHz - 2.25GHz),
grounded shield, connection: SMA
For GSM and WiMAX systems (2.4 GHz - 5.9
GHz), grounded shield, connection: type N

OUT
IN
Technical data
Electrical data
IEC test classification/EN type B2 / C1 / C2 / C3 / D1
Maximum continuous operating voltage U
C
20VDC / -
Nominal current I
N
400 mA (25°C)
Nominal discharge current I
n
(8/20) µs
Core-Shield / Core-Ground 2.5 kA / 2.5 kA
Total surge current (8/20) µs 10 kA
Output voltage limitation at 1 kV/µs
Core-Shield / Core-Ground ≤ 80 V / ≤80 V
Cut-off frequency fg (3 dB)
In a 75 Ω system Symmetrical / Asymmetrical - / > 2.5 GHz
General data
Dimensions W / H / D 145 mm / 72 mm / 32 mm
Temperature range -25°C ... 55°C
Degree of protection in acc. with IEC 60529/EN 60529 IP40
Inflammability class in acc. with UL 94 -
Connection method F connector
Test standards -
Ordering data
Description Type Order No. Pcs. /
Pkt.
COAXTRAB, protective device for antenna distributors/multi-
switches for insertion in the antenna line
C-SAT-BOX 2880561 1
COAXTRAB,
surge protection adapter
F connector
TV connector
Accessories
Adapter, to connect the C-SAT-BOX with antenna distributors with
a pitch of 20 mm (e.g. ASTRO, SPAUN)
ADAPTER KOAX TYP F 2880972 5
Connecting cable, to connect the C-SAT-BOX with the antenna
distributor, length: 0.2 m
KBL-SAT/20 2880985 5
130
PHOENIX CONTACT
For antenna inputs of radio and
television equipment
C-SAT-BOX
– Protection for antenna inputs in satellite
receiver technology
– For use upstream of antenna distributor
or multi-switch
– Analog and digital SAT signals
– Terrestrial antenna signals
– Direct wall mounting supported
C-TV-SAT and C-TV/HIFI
– Protective adapter for antenna
connections
– For use on broadband cable or
SAT connection
– TV (IEC) or F connector
Surge protection and interference suppression filters
Surge protection for transceiver systems
Notes:
Attenuation characteristics at phoenixcontact.net/products
For antenna distributor or multi-switch,
grounded shield, connection: F

For further information and full technical data, visit phoenixcontact.net/products
Technical data
F connector TV connector
C1 / C2 / C3 / D1 C1 / C2 / C3 / D1
180 V DC / 130 V AC 180 V DC / 130 V AC
1.5 A (25°C) 1.5 A (25°C)
2.5 kA / - 2.5 kA / -
2.5 kA 2.5 kA
≤ 600 V / - ≤ 600 V / -
- / > 3 GHz - / > 1 GHz
28 mm / 66 mm / 44 mm
-25°C ... 75°C
IP20
V0
F connector PAL-TV (IEC 169-2)
IEC 61643-21 / EN 50083 - CLASS A
Ordering data
Type Order No. Pcs. /
Pkt.
C-TV-SAT 2856993 1
C-TV/HIFI 2857002 1
Accessories
131
PHOENIX CONTACT
Surge protection and interference suppression filters
Surge protection for transceiver systems
For TV equipment and SAT systems, grounded
shield, connection: F or TV (IEC)

IN OUT
123
IN
45
123
OUT
45
C-SAT-BOX
28 80 561
Überspannungsschutz
Surge voltage protection
Uc= 20 V DC In= 2,5 kA
f = 47 - 2200 MHz
0123-156789 D-105
Protection of video signals
C-UFB 5DC PT 3-HF-12DC-ST + PT 1X2-BE
2797858 2858043 + 2856113
Page 127 Page 90
Protection of the SAT antenna connection
C-SAT-BOX
2880561
Page 130
Protection of the cable TV connection
MNT-TV-SAT D
2882284
Page 57
132
PHOENIX CONTACT
Surge protection and interference suppression filters
Surge protection for transceiver systems

For further information and full technical data, visit phoenixcontact.net/products
Protection of antenna signals
GPS
GSM
UMTS
CN-UB-280DC-3-BB Optional CN-LAMBDA/4-2.25-BB
2801050 2801057
Page 126 Page 128
133
PHOENIX CONTACT
Surge protection and interference suppression filters
Surge protection for transceiver systems

Technical data
Electrical data
Maximum continuous operating voltage U
C
500 V AC/DC
Nominal current I
N
125 A (30°C)
Impulse discharge curr. I
imp
(10/350) μs
Peak value 100 kA
General data
Dimensions W / H / D 17.7 mm / 89.8 mm / 65.5 mm
Connection data solid / stranded / AWG 0.5 ... 35 mm² / 0.5 ... 25 mm² / 20 - 2
Temperature range -40°C ... 85°C
Inflammability class in acc. with UL 94 V0
Test standards IEC 60947-7-1 / IEC 60947-7-1 / IEC 60947-7-1
Ordering data
Description Type Order No. Pcs. /
Pkt.
Feed-through terminal block
DK-BIC-35 2749880 1
H
W
D
– For wiring mixed combinations of
lightning and surge arresters
– As a system extension for FLASHTRAB
and VALVETRAB applications
– Practical wiring of all common
applications
Feed-through terminal block
Surge protection and interference suppression filters
Accessories for surge protection
Feed-through terminal block
Ordering data Ordering data
Description Type Order No. Pcs. /
Pkt. Type Order No. Pcs. /
Pkt.
Equipotential bonding strip
PAS-1 2765615 1
TRABTECH housing, for the isolated mounting of surge arresters
TG 40 2788896 1
134
PHOENIX CONTACT
Equipotential bonding strip
– For main equipotential bonding according
to DINVDE0100
– As well as for lightning protection
equipotential bonding in acc. with
DINEN62305
TRABTECH housing
– Use in harsh environmental conditions at
the installation location
– Installation outdoors or indoors possible
Equipotential bonding and
TRABTECH housing
Equipotential bonding strip IP65 protection class

For further information and full technical data, visit phoenixcontact.net/products
Ordering data Ordering data
Description Type Order No. Pcs. /
Pkt. Type Order No. Pcs. /
Pkt.
Marking labels, corresponding material can be found on our
website
Can be marked acc. to customer specifications ZBN 18 CUS 0825059 1
UniCard materials, can be marked with BLUEMARK,
corresponding material can be found on our website
UC-TM 6 GN 0818360 10
Zack marker strip, 10-section, unprinted, printed,
corresponding material can be found on our website
5-section ZB 12:UNPRINTED 0812120 10
Continuous roll, width: 20mm
Color: white EML (20XE)R 0803452 1
Color: yellow EML (20XE)R YE 0803453 1
– For clear and logical identification
– The multi-section ZB strips can be easily
separated
– Can be marked with CMS computer
marking system or by hand using B-STIFT
Marking material
Surge protection and interference suppression filters
Accessories for surge protection
For terminal width of 6.2 mm Marking label for the SEC product range
Ordering data Ordering data
Description Type Order No. Pcs. /
Pkt. Type Order No. Pcs. /
Pkt.
Shield fast connection, for connection to PLUGTRAB PT
For Ø 3-6 mm SSA 3-6 2839295 10
For Ø 5-10 mm SSA 5-10 2839512 10
Wiring bridge, for wiring applications with lightning and surge
arresters, these can be found on our website under the
corresponding items
57-pos. MPB 18/1-57 2809238 1
135
PHOENIX CONTACT
– For connecting cable shielding to cable
terminal points
– Easy assembly
Wiring bridges
– 1, 3 or 4-phase with various numbers of
positions
– Rated cross section per phase: 16mm
– End covers to terminate and insulate
individually cut bridges
Shield fast connection and wiring
bridges
Shield fast connection Wiring bridges

136
PHOENIX CONTACT
Surge protection and interference suppression filters
Test devices
CHECKMASTER 2 – the intelligent
test device for surge protective
devices
Outdoor and indoor lightning protection
must be regularly tested in accordance with
normative requirements (IEC62305) and
official regulations. A basic visual check is
not enough to identify damage to surge
protective devices. Only an electrical check
using the CHECKMASTER 2 produces
meaningful results. The electrical check is
performed with the aid of a programmable
logic controller, a high-voltage source, and a
constant current source. During the check,
a program-controlled electrical test is
performed on all the relevant components
of the surge protective device. Thanks to
the integrated database for surge protective
devices, spark gaps, gas-filled surge
protective devices, varistors, and
suppressor diodes can be checked
automatically. Surge protective devices that
were previously damaged, surge protective
devices that are nearing the electrical
tolerance limits, and faulty surge protective
devices can be safely identified.
In industries where high demands are
placed on system availability, the
CHECKMASTER 2 enables predictive
maintenance to be carried out on surge
protective devices. This provides additional
security for failure-critical systems.
Your web code: #0147

For further information and full technical data, visit phoenixcontact.net/products
137
PHOENIX CONTACT
Surge protection and interference suppression filters
Test devices
Easy selection
The CHECKMASTER 2 has a modular
design. Corresponding test adapters are
available for the various surge protective
devices. Further information about the test
adapters required can be found on the next
page.
Convenient scanning
The barcodes on the surge protective
devices present a fast and error-free
solution for entering items. Plant-specific ID
codes or user-defined designations can be
entered via the color touch display or read
from individually created barcode labels.
Fast logging and easy data export
The tests are documented in accordance
with IEC62305. The CHECKMASTER 2
saves all test results to the internal memory
with mains failure protection. The test
reports are available via USB stick for
convenient further processing in Office
programs.

– Modular test device for plug-in surge
protective devices from Phoenix Contact
– Easy and tool-free changing of test
adapters
– Integrated programmable logic controller
with high-voltage source and constant
current source
– Automatic and program-controlled
testing of surge protective devices
– Easy operation by means of color touch
display with virtual keypad
– User interface: German, English; other
languages in preparation
– Barcode scanner for automatic
identification of surge protective devices
and for reading user-specific barcodes
(e.g., plant identification codes)
– Plant identification codes can also be
entered using the virtual keypad
– USB interface for connecting standard
USB sticks
– Easy transfer of test reports to Office
programs and easy system software
update via USB stick
– No additional software required
– No data cable required
– Robust plastic transport case; with
removable lid
– Additional compartment for another test
adapter
– Calibration certificate
Test adapters are not supplied as standard
with the CHECKMASTER 2. The required
test adapters must be ordered separately.
PA-CASE 2 transport case for test
adapters
– Padded compartments for holding test
adapters for the CHECKMASTER 2
– Test adapters are not supplied as standard
with the PA-CASE 2
Free software for updating the
CHECKMASTER 2 can be found in the
download area on the Phoenix Contact
homepage.
The CHECKMASTER 2 is designed for
use in industrial environments (EMC: class
A product) and may not meet the
requirements for radiated disturbance
variables for use in residential areas.
Nominal voltage U
N
Ambient temperature (operation) 5°C ... 35°C
Description
Test device, for testing the correct function of surge protective
devices from Phoenix Contact; test adapters must be ordered
separately
Transport case, to hold four test adapters
Test adapter, for testing the correct function of surge protective
devices from Phoenix Contact:
FLASHTRAB FLT-CP/SEC and VALVETRAB VAL-CP/SEC
VALVETRAB VAL-MS
PLUGTRAB PT/PLT
COMTRAB CTM
138
PHOENIX CONTACT
CHECKMASTER 2
Surge protection and interference suppression filters
Test devices

For further information and full technical data, visit phoenixcontact.net/products
Technical data
100 V AC ... 240 V AC
Ambient temperature (operation) 5°C ... 35°C
Ordering data Ordering data Ordering data
Type Order No. Pcs. /
Pkt. Type Order No. Pcs. /
Pkt. Type Order No. Pcs. /
Pkt.
CHECKMASTER 2 2905256 1
PA-CASE 2 2906272 1
CM 2-PA-FLT/VAL-CP/SEC 2905283 1
CM 2-PA-VAL-MS 2905265 1
CM 2-PA-PT/PLT 2905284 1
CM 2-PA-CTM 2905282 1
139
PHOENIX CONTACT
Surge protection and interference suppression filters
Test devices
Test device Transport case Test adapter

140
PHOENIX CONTACT
Surge protection and interference suppression filters
Isolating spark gap
FLT isolating spark gap for lightning
protection equipotential bonding
On the one hand, isolating spark gaps are
used where electrical isolation is required
between electrically conductive system
parts and, on the other hand, where
equipotential bonding is required in order
to limit temporary voltage rises. These
voltage rises can be caused by a direct
lightning strike or a lightning event in the
immediate vicinity.
Maximum discharge capacity
The FLT isolating spark gap is designated
for the maximum possible discharge class H
and has been tested with surge currents of
100 kA with pulse shape (10/350 s) and
(8/20 s).
Worldwide use in explosion-protected
areas
Thanks to the comprehensive approvals,
installation in explosion-protected areas is
possible worldwide.
Corrosion resistance
The FLT isolating spark gap is particularly
resistant when dealing with an aggressive
surrounding atmosphere.
Low response voltage
The FLT isolating spark gaps are
characterized by a low impulse sparkover
voltage of 1250V (1.2/50 s). At the same
time, the frequently required power-
frequency withstand voltage of 250V
(50/60Hz) is maintained. The parameters
therefore comply with the recommendation
of the working group for cathodic corrosion
protection and meet DVGW requirements.
Your web code: #0148

For further information and full technical data, visit phoenixcontact.net/products
141
PHOENIX CONTACT
Surge protection and interference suppression filters
Isolating spark gap
Optimum coordination
Optimum protection is achieved thanks
to precise coordination between the
electric strength of the insulating sets for
flanges and the response voltage of the
isolating spark gap.
Connecting material
For easy mounting, use the accessories
that are available.
Terminal boards (PL) and brackets (BR) are
available for screw connections with a hole
diameter of up to 42 mm and 62 mm
respectively.
Connecting cable
Pre-assembled connecting cables (CA)
are available in three lengths. A lightning
current absorbing connection is ensured by
all accessory components.
Pipeline segments
In modern pipelines, the pipes are
assembled in segments and electrically
isolated from one another. This means that
cathodic corrosion protection can be used
effectively. Insulating flanges act as
connecting elements between the individual
pipe segments. It is important to provide
indirect equipotential bonding here.
Indirect grounding
The isolating spark gap can also be used
to implement indirect grounding of system
parts. Typical fields of application include
gas compression and distribution stations,
for example.

Ex:
142
PHOENIX CONTACT
new
Isolating spark gap and accessories
– Isolating spark gap for indirect
equipotential bonding
– Protection of insulating flanges in
pipelines
– Can be used in Ex protection zone 1
– Accessories for lightning current
absorbing connection
Technical data
Electrical data
Lightning protection class H
Lightning surge current I
imp
(10/350) μs 100 kA
Nominal discharge current I
n
(8/20) µs 100 kA
Rated power-frequency withstand voltage U
wAC
≤ 250 V AC
Rated DC withstand voltage U
wDC
≤ 354 V DC
Rated impulse sparkover voltage U
r imp
≤ 1.25 kV
General data
Dimensions: length / housing diameter 100 mm +2 mm / 45.50 mm
Temperature range -20°C ... 60°C
Test standards IEC 62561-3 / EN 62561-3
Approvals
EC-type examination certificate according to ATEX DEKRA 14ATEX0050 X
ATEX
II 2 G Ex d IIC T6 Gb
II 2 D Ex tb IIIC T80°C Db IP 66/67
IECEx Ex d IIC T6 Gb
Ex tb IIIC T80°C Db IP66/67
Ordering data
Description Drill hole diameter Type Order No. Pcs. /
Pkt.
Isolating spark gap for the hazardous area
FLT-ISG-100-EX 2905579 1
Fixing bracket
11 mm
14 mm
18 mm
22 mm
26 mm
30 mm
33 mm
36 mm
39 mm
42 mm
48 mm
56 mm
62 mm
Mounting rail
11 mm
14 mm
18 mm
22 mm
26 mm
30 mm
33 mm
36 mm
39 mm
42 mm
Connecting cable, conductor cross section: 25mm
2
, conductor
designation: H01N2-D
Cable length: 100mm
Cable length: 200mm
Cable length: 300mm
Surge protection and interference suppression filters
Isolating spark gap
Spark gap Fixing bracket Mounting rail Connecting cable

For further information and full technical data, visit phoenixcontact.net/products
143
PHOENIX CONTACT
new
new
new
Ordering data Ordering data Ordering data
Type Order No. Pcs. /
Pkt. Type Order No. Pcs. /
Pkt. Type Order No. Pcs. /
Pkt.
FLT-ISG-BR-11 2905580 1
FLT-ISG-BR-14 2905581 1
FLT-ISG-BR-18 2905582 1
FLT-ISG-BR-22 2905583 1
FLT-ISG-BR-26 2905757 1
FLT-ISG-BR-30 2905758 1
FLT-ISG-BR-33 2905759 1
FLT-ISG-BR-36 2905760 1
FLT-ISG-BR-39 2905761 1
FLT-ISG-BR-42 2905762 1
FLT-ISG-BR-48 2905763 1
FLT-ISG-BR-56 2905764 1
FLT-ISG-BR-62 2905765 1
FLT-ISG-PL-11 2905584 1
FLT-ISG-PL-14 2905586 1
FLT-ISG-PL-18 2905587 1
FLT-ISG-PL-22 2905588 1
FLT-ISG-PL-26 2905745 1
FLT-ISG-PL-30 2905746 1
FLT-ISG-PL-33 2905747 1
FLT-ISG-PL-36 2905754 1
FLT-ISG-PL-39 2905755 1
FLT-ISG-PL-42 2905756 1
FLT-ISG-CA-100 2905589 1
FLT-ISG-CA-200 2905590 1
FLT-ISG-CA-300 2905591 1
Surge protection and interference suppression filters
Isolating spark gap
Spark gap Fixing bracket Mounting rail Connecting cable

144
PHOENIX CONTACT
Surge protection and interference suppression filters
Interference suppression filters
Reliable signals with mains
interference filters
Switching operations triggered
mechanically or electronically generate
pulse-like and high-frequency interference
voltages. These voltages spread in an
unimpeded manner across the cable
network. All the devices within this cable
network are affected. Data errors,
uncontrolled functions, and system crashes
can result, with data processing devices at
particular risk.
Interference voltage filters for power
supply units
Interference suppression filters limit
conducted high-frequency interference
voltages. Devices used in data processing or
automation particularly benefit from a clean
power supply. The end result is safe
operation and reliable measured results.
Your web code: #0149

For further information and full technical data, visit phoenixcontact.net/products
145
PHOENIX CONTACT
Surge protection and interference suppression filters
Interference suppression filters
Mains interference filters - operating
principle and range
Filtering of symmetrical disturbance
variables
X - Interference voltages between the
phase and neutral conductor are filtered.
Filtering of asymmetrical disturbance
variables
Y
1
,Y
2
- The opposite grounded
interference voltages from phase to PE and
from the neutral conductor to PE are
filtered.
Operating range of filters
An attenuation curve diagram illustrates
the effective operating range of mains
interference filters. The relevant frequency-
dependent attenuation can be read
according to the symmetrical or
asymmetrical filter circuit.
Interference suppression filters with
type3 surge protection
Interference suppression filters with
integrated type3 surge protection have two
tasks: they absorb surge voltages and also
limit high-frequency interference voltages.
Versions are available for the power
supply and for signal circuits.

IN
OUT
LL
N
N
NO 14
11
12
COM
NC
Total width 112 mm
Technical data
Electrical data ... 230AC ... 120AC
IEC test classification/EN type III / T3 III / T3 III / T3 III / T3 III / T3
Nominal voltage U
N
240VAC 120VAC 120VAC 120VAC 120VAC
Maximum continuous operating voltage U
C
DC / AC - / 264 V AC - / 150 V AC - / 150 V AC - / 150 V AC - / 150 V AC
Nominal load current I
L
20 A (40°C) 20 A (40°C) 5 A (70°C) 10 A (60°C) 15 A (50°C)
Combined surge U
OC
10 kV (5 kA) 6 kV (3 kA) 6 kV (3 kA) 6 kV (3 kA) 6 kV (3 kA)
Protection level U
p
L-N / L(N)-PE ≤ 1 kV / ≤1 kV ≤ 450 V / ≤450 V
Response time t
A
L-N / L(N)-PE ≤ 25 ns / ≤25 ns ≤ 25 ns / ≤25 ns
Max. backup fuse in acc. with IEC 20 A (MCB B/general purpose) 20 A (MCB B/general purpose) 20 A (MCB B/general purpose) 20 A (MCB
Input attenuation a
I
Symmetrical 20 dB (≥ 100 kHz / 50 Ω) 20 dB (≥ 100 kHz / 50 Ω) 20 dB (
Asymmetrical 30 dB (≥ 1 MHz / 50 Ω) 30 dB (≥ 1 MHz / 50 Ω) 30 dB (
Inductance 2x 1 mH ±30% (with current
compensation)
2x 1 mH ±30% (with current
compensation)
General data
Dimensions W / H / D 112 mm / 93 mm / 79 mm 112 mm / 93 mm / 79 mm 112 mm / 93 mm / 79 mm 112 mm / 93 mm / 79 mm
Connection data solid / stranded / AWG 2.5 ... 6 mm² / 2.5 ... 4 mm² / 14 - 10 2.5 ... 6 mm² / 2.5 ... 4 mm² / 14 - 10 2.5 ... 6 m
Temperature range -25°C ... 70°C -25°C ... 70°C -25°C ... 70°C -25°C ... 70°C -25°C ... 70°C
Inflammability class in acc. with UL 94 V-0 V-0 V-0 V-0
Test standards IEC 61643-11 / EN 61643-11 / UL 1449 / IEC 61643-1 / EN 61643-11/A11 / UL 1449 / IEC 61643-1 / EN 61643-11/A11 / UL
UL 1283 UL 1283 UL 1283 UL 1283
Remote indication contact PDT contact
Connection data solid / stranded / AWG 0.14 ... 1.5 mm² / 0.14 ... 1.5 mm² / 28 - 16 0.14 ... 1.5 mm² / 0.14 ... 1.5 mm² / 28 - 1
Max. operating voltage 250VAC / - 250VAC / - 250VAC / - 250VAC / -
Max. operating current 1 A (250 V AC) / 0.25 A (250 V DC) / 1 A (48 V DC) 1 A (250 V AC) / 0.25 A (250 V DC) / 1 A (48 V DC) 1 A (250 V AC) / 0.
Ordering data
Description Voltage U
N
Type Order No. Pcs. /
Pkt.
SFP-TRAB, DIN-rail-mountable device protection with integrated
mains interference filter and optical signaling
Nominal current: 20 A 240 V AC SFP 1-20/230AC 2859987 1
Nominal current: 20 A 120 V AC SFP 1-20/120AC 2856702 1
SFP-TRAB, DIN-rail-mountable device protection with integrated
mains interference filter and optical signaling
Nominal current: 5 A 120VAC
Nominal current: 10 A 120VAC
Nominal current: 15 A 120VAC
146
PHOENIX CONTACT
DIN-rail-mountable device protection
with SFP-TRAB interference
suppression filter
– Combined protective circuit for
absorbing transient surge voltages and
high-frequency interference voltages
– Thermal monitoring of the protective
circuit
– Disconnection status signaled via floating
remote indication contact
– Can be installed in industrial
environments
Surge protection and interference suppression filters
Interference suppression filters
H
W
D
Notes:
Attenuation characteristics at phoenixcontact.net/products
20A nominal current 5

IN
OUT
LL
N
N
NO 14
11
12
COM
NC
IN
OUT
LL
N
N
NO 14
11
12
COM
NC
IN
OUT
LL
N
N
NO 14
11
12
COM
NC
For further information and full technical data, visit phoenixcontact.net/products
Total width 112 mm Total width 112 mm Total width 112 mm
Technical data Technical data Technical data
IEC test classification/EN type III / T3 III / T3 III / T3 III / T3 III / T3
240VAC 120VAC 120VAC 120VAC 120VAC
DC / AC - / 264 V AC - / 150 V AC - / 150 V AC - / 150 V AC - / 150 V AC
20 A (40°C) 20 A (40°C) 5 A (70°C) 10 A (60°C) 15 A (50°C)
10 kV (5 kA) 6 kV (3 kA) 6 kV (3 kA) 6 kV (3 kA) 6 kV (3 kA)
≤ 450 V / ≤450 V ≤ 450 V / ≤450 V ≤ 450 V / ≤450 V
≤ 25 ns / ≤25 ns ≤ 25 ns / ≤25 ns ≤ 25 ns / ≤25 ns
A (MCB B/general purpose) 20 A (MCB B/general purpose) 20 A (MCB B/general purpose) 20 A (MCB B/general purpose)
) 20 dB (≥ 100 kHz / 50 Ω) 20 dB (≥ 100 kHz / 50 Ω) 20 dB (≥ 100 kHz / 50 Ω)
) 30 dB (≥ 1 MHz / 50 Ω) 30 dB (≥ 1 MHz / 50 Ω) 30 dB (≥ 1 MHz / 50 Ω)
2x 1 mH ±30% (with current compensation) 2x 1 mH ±30% (with current compensation) 2x 1 mH ±30% (with current compensation)
Dimensions W / H / D 112 mm / 93 mm / 79 mm 112 mm / 93 mm / 79 mm 112 mm / 93 mm / 79 mm 112 mm / 93 mm / 79 mm
Connection data solid / stranded / AWG 2.5 ... 6 mm² / 2.5 ... 4 mm² / 14 - 10 2.5 ... 6 mm² / 2.5 ... 4 mm² / 14 - 10 2.5 ... 6 mm² / 2.5 ... 4 mm² / 14 - 10 2.5 ... 6 mm² / 2.5 ... 4 mm² / 14 - 10
Temperature range -25°C ... 70°C -25°C ... 70°C -25°C ... 70°C -25°C ... 70°C -25°C ... 70°C
Inflammability class in acc. with UL 94 V-0 V-0 V-0 V-0
Test standards IEC 61643-11 / EN 61643-11 / UL 1449 / IEC 61643-1 / EN 61643-11/A11 / UL 1449 / IEC 61643-1 / EN 61643-11/A11 / UL 1449 / IEC 61643-1 / EN 61643-11/A11 / UL 1449 /
UL 1283 UL 1283 UL 1283 UL 1283
PDT, 1-pos. PDT contact PDT contact
Connection data solid / stranded / AWG 0.14 ... 1.5 mm² / 0.14 ... 1.5 mm² / 28 - 16 0.14 ... 1.5 mm² / 0.14 ... 1.5 mm² / 28 - 16 0.14 ... 1.5 mm² / 0.14 ... 1.5 mm² / 28 - 16 0.14 ... 1.5 mm² / 0.14 ... 1.5 mm² / 28 - 16
250VAC / - 250VAC / - 250VAC / - 250VAC / -
Max. operating current 1 A (250 V AC) / 0.25 A (250 V DC) / 1 A (48 V DC) 1 A (250 V AC) / 0.25 A (250 V DC) / 1 A (48 V DC) 1 A (250 V AC) / 0.25 A (250 V DC) / 1 A (48 V DC) 1 A (250 V AC) / 0.25 A (250 V DC) / 1 A (48 V DC)
Ordering data Ordering data Ordering data
Type Order No. Pcs. /
Pkt. Type Order No. Pcs. /
Pkt. Type Order No. Pcs. /
Pkt.
SFP 1-5/120AC 2920667 1
SFP 1-10/120AC 2920670 1
SFP 1-15/120AC 2920683 1
147
PHOENIX CONTACT
Surge protection and interference suppression filters
Interference suppression filters
H
W
D
H
W
D
H
W
D
A nominal current 5A nominal current 10A nominal current 15A nominal current

IN
OUT
24
13
Technical data
Electrical data
IEC test classification/EN type C1 / C3
Maximum continuous operating voltage U
C
DC / AC 38 V DC / 30 V AC
Rated load current I
L
0.5 A (55°C)
Nominal discharge current I
n
(8/20) µs
Core-Ground 350 A
Total surge current (8/20) µs 700 A
Output voltage limitation at 1 kV/µs
Core-Ground ≤ 70 V
Cut-off frequency fg (3 dB)
Asymmetrical in the 50 Ω system typ. 60 kHz
Resistance per path 0.5 Ω
Inductance per path 100 µH (per path)
Capacitance per path 130 nF
General data
Connection data solid / stranded / AWG 0.2 ... 4 mm² / 0.2 ... 2.5 mm² / 24 - 12
Temperature range -40°C ... 85°C
Degree of protection in acc. with IEC 60529/EN 60529 IP20
Inflammability class in acc. with UL 94 V2
Test standards IEC 61643-21/A1 / EN 61643-21/A1
Ordering data
Description Voltage U
N
Type Order No. Pcs. /
Pkt.
TERMITRAB, spring-cage modular terminal block with integrated
surge protection as a filter circuit and disconnect knives, for
mounting on NS35
24VAC TT-ST-M-SFP-24AC 2858946 10
Accessories
Cover, for terminating a row of terminal blocks
TT-D-STTCO-BK 2858894 50
148
PHOENIX CONTACT
Notes:
Attenuation characteristics at phoenixcontact.net/products
H
W
D
– Combined protective circuit for
absorbing transient surge voltages and
high-frequency interference voltages
– With spring-cage connection
– Disconnection of signal circuits by
disconnect knife
TERMITRAB
Surge protection and interference suppression filters
Interference suppression filters
Protection for two conductors with a common
reference potential

IN
OUT
24
13
IN
OUT
24
13
For further information and full technical data, visit phoenixcontact.net/products
Total width 25 mm Total width 40 mm
Technical data Technical data
Electrical data NEF 1- 1 NEF 1- 3 NEF 1- 6 NEF 1-10
Nominal voltage U
N
240VAC 240VAC 240VAC 240VAC
Maximum continuous operating voltage U
C
L - N 264 V AC 264 V AC 264 V AC 264 V AC
Nominal load current I
L
1 A (40°C) 3 A (40°C) 6 A (40°C) 10 A (40°C)
Max. backup fuse in acc. with IEC 1 A (gL) 3 A (gL) 6.3 A (gL/C) 10 A (gL)
Inductance 2x 10 mH 2x 2.7 mH 2x 2.7 mH 2x 1.8 mH
Input attenuation a
I
Symmetrical ≥ 65 dB (50 Ω/ 1 MHz) ≥ 55 dB (50 Ω/ 1 MHz) > 80 dB (50 Ω/ 1 MHz) > 80 dB (50 Ω/ 1 MHz)
Asymmetrical ≥ 45 dB (50 Ω/ 1 MHz) ≥ 35 dB (50 Ω/ 1 MHz) > 40 dB (50 Ω/ 1 MHz) > 40 dB (50 Ω/ 1 MHz)
General data
Dimensions W / H / D 25 mm / 79.4 mm / 84.15 mm 40 mm / 79.4 mm / 84.1 mm
Connection data solid / stranded / AWG 0.2 ... 4 mm² / 0.2 ... 2.5 mm² / 24 - 12 0.2 ... 4 mm² / 0.2 ... 2.5 mm² / 24 - 12
Temperature range -25°C ... 100°C (HMF) -25°C ... 100°C (HMF)
Inflammability class in acc. with UL 94 V2 V2
Test standards IEC 60939-2 / DIN EN 60939-2 IEC 60939-2 / DIN EN 60939-2
Ordering data Ordering data
Description Nominal load
current I
L
Type Order No. Pcs. /
Pkt. Type Order No. Pcs. /
Pkt.
FILTRAB, interference suppression filter for single-phase circuits,
for mounting on NS32 or NS35...
1 A NEF 1- 1 2794123 10
3 A NEF 1- 3 2794110 10
6 A NEF 1- 6 2783082 5
10 A NEF 1-10 2788977 5
149
PHOENIX CONTACT
– Low pass filters for nominal currents of
1 to 10 A
– For single-phase circuits
– DIN rail module
Notes:
Attenuation characteristics at phoenixcontact.net/products
H
W
D
H
W
D
FILTRAB
Surge protection and interference suppression filters
Interference suppression filters
1 A / 3 A nominal current 6 A / 10 A nominal current

150
PHOENIX CONTACT

Power supplies and UPS
Selection guide 152
Power supply units 156
QUINT POWER 158
QUINT POWER, with protective coating 166
TRIO POWER 168
UNO POWER 174
MINIPOWER 182
STEPPOWER 186
DC/DC converters 194
QUINT DC/DC converters 196
QUINTDC/DC converters, with protective coating 202
MINI DC/DC converters 204
Redundancy modules 206
QUINT ORING 208
TRIODIODE 210
QUINTDIODE 212
STEP DIODE 213
UNO DIODE 213
Accessories 214
Uninterruptible power supply units for the control
cabinet
216
Selection guide for QUINT UPS 218
QUINT UPS 220
Power storage for QUINTUPS 224
Accessories 230
Selection guide for UPS modules 232
UPS module with integrated power storage 234
UPS module with integrated power supply unit 238
Power storage for TRIOUPS and MINIUPS 240
Uninterruptible power supply units for 19" racks/towers 244
151
PHOENIX CONTACT
For superior system availability
The product ranges differ with regard to
their design, performance, and functionality.
Select the ideal solution based on your
requirements:
– QUINT POWER - maximum functionality
– TRIO POWER - robust standard
functionality
– UNO POWER - compact basic
functionality
The product range is supplemented with
designs tailor-made for specific applications:
– MINI POWER for measurement and
control technology
– STEP POWER for installation distributors
Power supply units
Thanks to high-quality products featuring
leading technology, our QUINT, TRIO,
UNO, MINI and STEPPOWER product
ranges optimally equip you for international
competition.
DC/DC converters
Change the voltage level, regenerate the
voltage at the end of long cables or enable
the creation of independent supply systems
with the QUINT and MINIDC/DC
converters.
Redundancy modules
A redundant power supply system is the
result of the parallel connection of two
power supply units. Optimize this solution
with the QUINTORING redundancy
modules and the QUINT, TRIO, UNO, and
STEPdiodes for maximum system
availability.
Uninterruptible power supply (UPS)
units for control cabinets
IQtechnology is the key to an intelligent
power supply solution. The UPS monitors
and optimizes the power storage. Avoid
interruptions when working with the
intelligent UPS for non-stop power.
Your web code: #0150
Power supplies and UPS

QUINT POWER 1
24 DC / 3.5 A 24 DC / 5 A 24 DC / 10 A 24 DC / 20 A 24 DC / 40 A
Page 158 Page 158 Page 158 Page 158 Page 158
12 DC / 15 A 12 DC / 20 A
Page 162 Page 162
48 DC / 5 A 48 DC / 10 A 48 DC / 20 A
Page 162 Page 162 Page 162
QUINT POWER 3
24 DC / 5 A 24 DC / 10 A 24 DC / 20 A 24 DC / 40 A
Page 160 Page 160 Page 160 Page 160
48 DC / 20 A
Page 164
QUINT POWER, with protective coating 1, 3
1AC / 24 DC / 5 A CO 1AC / 24 DC / 10 A CO 1AC / 24 DC / 20 A CO 3AC / 24 DC / 20 A CO
Page 166 Page 166 Page 166 Page 166
TRIO POWER 1
24 DC / 3 A 24 DC / 5 A 24 DC / 10 A 24 DC / 20 A 12 DC / 5 A 12 DC / 10 A
Page 168 Page 168 Page 168 Page 168 Page 172 Page 172
TRIO POWER 1TRIO POWER 3
48 DC / 5 A 48 DC / 10 A 24 DC / 5 A 24 DC / 10 A 24 DC / 20 A 24 DC / 40 A
Page 172 Page 172 Page 170 Page 170 Page 170 Page 170
152
PHOENIX CONTACT
Power supplies and UPS
Selection guides

For further information and full technical data, visit phoenixcontact.net/products
UNO POWER 1UNO POWER 2
24 DC / 30 W 24 DC / 60 W 24 DC / 100 W 24 DC / 150 W 24 DC / 240 W 24 DC / 90 W
Page 174 Page 174 Page 174 Page 174 Page 174 Page 176
15 DC / 30 W 48 DC / 60 W 48 DC / 100 W
Page 178 Page 180 Page 180
12 DC / 30 W 15 DC / 55 W 15 DC / 100 W
Page 176 Page 178 Page 178
5 DC / 25 W 12 DC / 55 W 12 DC / 100 W
Page 178 Page 176 Page 176
5 DC / 40 W 24 DC / 90 W
Page 178 Page 176
MINI POWER 1
24 DC / 1.3 A 24 DC / 1.5 A 24 DC / 2 A 24 DC / 4 A 1 AC / 24 DC / 1.5 A EX
Page 182 Page 182 Page 182 Page 182 Page 184
5 DC / 3 A 10 - 15 DC / 2 A 24 DC / 100 W
Page 184 Page 184 Page 182
±15 DC / 1 A 10 - 15 DC / 8 A
Page 184 Page 184
STEP POWER 1
24 DC / 0.5 A 24 DC / 0.75 A / FL 24 DC / 0.75 A 24 DC / 1.75 A 24 DC / 2.5 A 24 DC / 4.2 A
Page 186 Page 186 Page 186 Page 188 Page 188 Page 188
48 AC / 24 DC / 0.5 A 12 DC / 1.5 A / FL 12 DC / 1.5 A 12 DC / 3 A 5 DC / 6.5 A 24 DC / 100 W
Page 186 Page 192 Page 192 Page 192 Page 190 Page 188
12 DC / 1 A 12 DC / 5 A 48 DC / 2 A
Page 192 Page 192 Page 190
5 DC / 2 A 15 DC / 4 A 277 AC/24 DC / 3.5 A
Page 190 Page 190 Page 188
153
PHOENIX CONTACT
Power supplies and UPS
Selection guides

QUINT DC/DC converters QUINT DC/DC converters, with protective coating
24 DC / 24 DC / 5 A 24 DC / 24 DC / 10 A 24 DC / 24 DC / 20 A 24DC/24 DC/5 A/CO
60-72DC/24DC/10A/CO
24DC/24 DC/10 A/CO 24DC/24 DC/20 A/CO
Page 196 Page 196 Page 196 Page 202 Page 202 Page 202 Page 202
24 DC / 12 DC / 8 A 24 DC / 48 DC / 5 A
96-110DC/24DC/10A/CO
Page 196 Page 196 Page 202
48 DC / 24 DC / 5 A 48 DC / 48 DC / 5 A
Page 200 Page 200
12 DC / 24 DC / 5 A 60-72DC/24DC/10A
Page 198 Page 200
12 DC / 12 DC / 8 A 96-110DC/24DC/10A
Page 198 Page 200
MINI DC/DC converters
12-24 DC/24 DC / 1 A AC power module
Page 204 Page 204
48-60 DC/24 DC / 1 A
Page 204
12-24 DC/5 - 15 DC / 2 A
Page 204
12-24 DC/48 DC / 0.7 A
Page 204
For frequency inverters
2AC/1DC/24DC/20A 600 DC/24 DC / 20 A
Page 165 Page 172
Redundancy modules - QUINT - TRIO - UNO - STEP
24 DC / 2x10 A 24 DC / 2x20 A 24 DC / 2x40 12 - 24 DC / 2x20 A 12 - 24 DC / 2x10 A 5 - 24 DC/2x10/1x20 5 - 24 DC / 2x5 A
Page 208 Page 208 Page 208 Page 212 Page 210 Page 212 Page 212
48 DC / 2x20 A 48 DC / 2x10 A
Page 212 Page 210
154
PHOENIX CONTACT
Power supplies and UPS
Selection guides

For further information and full technical data, visit phoenixcontact.net/products
QUINT DC-UPS QUINT AC-UPS
24 DC / 5 A 24 DC / 10 A 24 DC / 20 A 24 DC / 40 A
12 DC/5 A/24 DC/10 A
1 AC / 1 AC / 500 VA
Page 220 Page 220 Page 220 Page 220 Page 222 Page 223
UPS-CAP UPS-BAT/LI-ION UPS-BAT/VRLA-WTR
24 DC / 10 A / 10 KJ 24 DC / 20 A / 20 KJ 24 DC / 120 WH 24 DC / 13 AH 24 DC / 26 AH
Page 224 Page 224 Page 225 Page 228 Page 228
UPS-BAT/VRLA
24 DC / 1.3 AH 24 DC / 3.4 AH 24 DC / 7.2 AH 24 DC / 12 AH 24 DC / 38 AH
Page 226 Page 226 Page 226 Page 226 Page 226
UPS with integrated QUINT, UNO, STEP power storage QUINT-BUFFER
24 DC / 5 A / 1.3 AH 24 DC / 10 A / 3.4 AH 24 DC / 60 W 24 DC / 3 A 24 DC / 40 A
Page 234 Page 234 Page 237 Page 236 Page 235
12 DC / 4 A
Page 236
MINI UPS with integrated power supply + power storage TRIO UPS with integrated power supply + power storage
1 AC / 24 DC / 2 A 24 DC / 1.3 AH 24 DC / 0.8 AH 1 AC / 24 DC / 5 A 24 DC / 3.4 AH 24 DC / 7.2 AH 24 DC / 12 AH
Page 239 Page 242 Page 242 Page 238 Page 240 Page 240 Page 240
1 AC / 12 DC / 4 A 12 DC / 2.6 AH 12 DC / 1.6 AH
Page 239 Page 242 Page 242
155
PHOENIX CONTACT
Power supplies and UPS
Selection guides

156
PHOENIX CONTACT
Power supplies and UPS
Power supply units
Leading technology and high quality –
power supplies for superior system
availability.
Thanks to high-quality products featuring
leading technology, with our power supply
solutions from the QUINT, TRIO, UNO,
MINI, and STEP POWER product ranges,
you are optimally equipped to handle
competitors on an international scale.
Functionality, performance class, and
design are tailored to the demands of
various different sectors and always offer
the ideal solution. Choose from our wide
range of power supply units and DC/DC
converters.
QUINT POWER – maximum
functionality
Cost-effective selective fuse protection
with SFB technology:
In order to trip standard circuit breakers
magnetically and quickly, power supply units
must be able to supply several times the
nominal current for a short period. With
SFB (selective fuse breaking) technology,
which supplies up to 6 times the nominal
current for 12ms, a dynamic power reserve
is available. Faulty current paths are
selectively switched off, the fault is isolated,
and important system components remain
operational.
Preventive function monitoring:
Comprehensive diagnostics are provided
through constant monitoring of the output
voltage and output current. This preventive
function monitoring visualizes critical
operating states, before errors can occur.
The remote monitoring takes place by
means of active switching outputs and
floating relay contacts.
Power reserve POWER BOOST:
The static power reserve offers up to
1.5 times the nominal current permanently.
At ambient temperatures of up to +40°C
the POWER BOOST is continuously
available and at higher temperatures, it is
available for a few minutes. This ensures
that both high inrush currents of capacitive
loads, as well as loads with DC/DC
converters in the primary circuit, can be
reliably supplied.
TRIO POWER – robust standard
functionality
The reliable supply of the loads under
challenging ambient conditions is ensured by
the power supply units, which feature an
extremely robust electrical and mechanical
design. TRIO POWER supplies up to
1.5 times the nominal current for five
seconds with the dynamic BOOST. Loads
with high starting currents can therefore be
started without other loads being affected
by voltage dips.
UNO POWER – compact basic
functionality
UNO POWER offers maximum energy
efficiency thanks to high efficiency of up to
94% and low idling losses below 0.3 W. The
extremely high power density of up to
325W/dm
3
enables a very compact design.
Thanks to the wide range of products and
the temperature range from -25°Cto
+70°C, the devices support flexible use.
Your web code: #0151

For further information and full technical data, visit phoenixcontact.net/products
157
PHOENIX CONTACT
Power supplies and UPS
Power supply units
Power supply units - a comparison of
the advantages
– QUINT POWER - maximum flexibility up
to 1000 W
– TRIO POWER - robust standard
functionality up to 1000 W
– UNO POWER - compact basic
functionality up to 240 W
QUINT POWER
The unique SFB technology and
preventive function monitoring maximize
the availability of your application.
– Quick tripping of standard circuit
breakers with SFB technology
– Preventive function monitoring
– Reliable starting of difficult loads with
POWERBOOST
TRIO POWER
Standard functionality combined with
high quality and reliability – this makes the
power supplies ideal for use in machine
building.
– Robust design
– Reliable supply of loads with high switch-
on currents with the dynamic BOOST
– Time savings during installation thanks to
push-in connection technology
UNO POWER
The UNO POWER power supply units
offer extremely compact basic functionality.
– The wide range of products covers all
common voltage levels
– Save energy thanks to high efficiency and
low idling losses
– Compact design saves space in the
control cabinet
MINI POWER - for measurement and
control technology
The MINI POWER comes into its own in
fields where modular electronics housing
has become the standard.
– Service-friendly connection technology:
coded COMBICON connectors
– Active function monitoring with switching
output for remote monitoring of the
output voltage
STEP POWER - for installation
distributors and flat control panels
The low idling losses and high efficiency
make the STEP POWER the most energy
efficient in its class.
– Flexible: snap onto the DIN rail or screw
onto a level surface

13
I < I
N
DC OK
14
L (+)
N (-)
13
I < I
N
DC OK
14
L (+)
N (-)
active
PFC
Ex:
Ex:
Technical data Technical data
Input data
Nominal input voltage range 100 V AC ... 240 V AC 100 V AC ... 240 V AC 100 V AC ... 240 V AC 100 V AC ... 240 V AC 100 V AC ... 240 V AC
Input voltage range 85 V AC ... 264 V AC / 90 V DC ... 350 V DC 85 V AC ... 264 V AC / 90 V DC ... 350 V DC 85 V AC ... 264 V AC / 90 V DC ... 350 V DC 85 V
Frequency range 45 Hz ... 65 Hz / 0 Hz 45 Hz ... 65 Hz / 0 Hz
Current consumption (nominal load) 1.4 A (120 V AC) / 0.8 A (230 V AC) 1.2 A (120 V AC) / 0.6 A (230 V AC) 2.24 A (120 V AC) / 1.33 A (230 V A
Inrush current limitation at 25°C (typ.) / I
2
t < 20 A / < 2 A
2
s < 15 A / < 1 A
2
s
Mains buffering (I
N
, typ.) > 20 ms (120 V AC) / > 80 ms (230 V AC) > 55 ms (120 V AC) / > 55 ms (230 V AC) > 36 ms (120 V AC) / > 36 ms (230 V AC) > 32 ms (120 V AC
Output data
Nominal output voltage 24 V DC ±1% 24 V DC ±1%
Setting range of the output voltage 18 V DC ... 29.5 V DC (> 24 V constant capacity) 18 V DC ... 29.5 V DC (> 24 V constant capacity) 18 V D
Output current / POWER BOOST / SFB (12 ms) 3.5 A / 4 A / 15 A 5 A / 7.5 A / 30 A
Magnetic fuse tripping B2 B2 / B4 / C2
Can be connected in parallel / series Yes / Yes Yes / Yes
Max. power dissipation (no load / nominal load) 3.5 W / 11 W 3 W / 15 W
Efficiency (typ.) > 88% (for 230 V AC and nominal values) > 90% (for 230 V AC and nominal values) > 92.5% (for 230 V AC and nominal valu
Residual ripple < 50 mV
PP
< 40 mV
PP
Signaling
Signaling DC OK LED, active switching output, relay contact LED, active switching output, relay contact LED, active switching outp
Boost signaling LED, active switching output LED, active switching output LED, active switching outp
General data
Weight / Dimensions W x H x D 0.5 kg / 32 x 130 x 125 mm 0.7 kg / 40 x 130 x 125 mm 1.1 kg / 60 x 130 x 125 mm 1.7 kg / 90 x 130 x
Spacing when mounting Alignable: 5 mm horizontally, 15 mm next to active components,
50 mm vertically
Alignable: 5 mm horizontally, 15 mm next to active components,
50 mm vertically
Connection method Plug-in screw connection Plug-in screw connection Plug-in screw connection Screw connection Screw connection
Input connection data (solid / stranded / AWG) 0.2 - 2.5 mm² / 0.2 - 2.5 mm² / 20 - 12 0.2 - 2.5 mm² / 0.2 - 2.5 mm² / 20 - 12 0.2
Output connection data (solid / stranded / AWG) 0.2 - 2.5 mm² / 0.2 - 2.5 mm² / 20 - 12 0.2 - 2.5 mm² / 0.2 - 2.5 mm² / 20 - 12 0.
Signal connection data (solid / stranded / AWG) 0.2 - 2.5 mm² / 0.2 - 2.5 mm² / 20 - 12 0.2 - 2.5 mm² / 0.2 - 2.5 mm² / 20 - 12 0.
Degree of protection / Protection class IP20 / I IP20 / I
MTBF (IEC 61709, SN 29500) > 820000 h (40°C) > 635000 h (40°C)
Ambient temperature (operation) -25°C ... 70°C (> 60°C derating: 2.5%/K) -25°C ... 70°C (> 60°C derating: 2.5%/K,
startup at -40°C type-tested)
Standards/regulations
Insulation voltage input/output 2 kV AC (routine test) / 4 kV AC (type test) 2 kV AC (routine test) / 4 kV AC (type test) 2 kV AC
Electromagnetic compatibility Conformance with EMC Directive 2004/108/EC Conformance with EMC Directive 2004/108/EC Conformance wi
Electrical safety IEC 60950-1/VDE 0805 (SELV) IEC 60950-1/VDE 0805 (SELV) IEC 60950-1/VDE 0805 (SELV) IEC 60950-1/VDE 0805 (SELV) IE
Electronic equipm. for electrical power installations EN 50178/VDE 0160 (PELV) EN 50178/VDE 0160 (PELV) EN 50178/VDE 0160 (PELV) EN
Safe isolation DIN VDE 0100-410, DIN VDE 0106-1010 DIN VDE 0100-410, DIN VDE 0106-1010 DIN VDE 0100-410, DIN VDE 0106-1010 DIN VDE
Medical standard IEC 60601 IEC 60601
UL approvals UL Listed UL 508, UL/C-UL Recognized UL 60950-1,
UL ANSI/ISA-12.12.01 Class I, Division 2, Groups A, B, C, D
(Hazardous Location)
UL Listed UL 508, UL/C-UL Recognized UL 60950-1,
UL ANSI/ISA-12.12.01 Class I, Division 2, Groups A, B, C, D
(Hazardous Location)
Limitation of harmonic line currents EN 61000-3-2 EN 61000-3-2
Ordering data Ordering data
Description Type Order No. Pcs. /
Pkt. Type Order No. Pcs. /
Pkt.
Power supply, primary-switched
QUINT-PS/1AC/24DC/ 3.5 2866747 1QUINT-PS/1AC/24DC/ 5 2866750 1
158
PHOENIX CONTACT
QUINT POWER, 1 AC, 24 V DC
– Quick tripping of standard circuit
breakers thanks to the dynamic power
reserve SFB (selective fuse breaking)
technology with up to 6 times the
nominal current for 12 ms
– Reliable starting of difficult loads with the
static POWER BOOST power reserve
with up to 1.5 times the nominal current
permanently
– Preventive function monitoring warns
against critical operating states before
errors occur
– Flexible thanks to input voltage ranges for
AC and DC voltages
– Approved for semiconductor production
according to SEMI F47-0706
QUINT POWER power supplies –
maximum functionality
Power supplies and UPS
Power supply units
Power supply,
1 AC, 24 V DC, 3.5 A
Power supply,
1 AC, 24 V DC, 5 A
H
W
D
H
W
D

13
I < I
N
DC OK
14
L (+)
N (-)
active
PFC
13
I < I
N
DC OK
14
L (+)
N (-)
active
PFC
13
I < I
N
DC OK
14
L (+)
N (-)
active
PFC
For further information and full technical data, visit phoenixcontact.net/products
BSH
Ex:
BSH
Ex:
BV-CPS
Ex:
Technical data Technical data Technical data
Nominal input voltage range 100 V AC ... 240 V AC 100 V AC ... 240 V AC 100 V AC ... 240 V AC 100 V AC ... 240 V AC 100 V AC ... 240 V AC
Input voltage range 85 V AC ... 264 V AC / 90 V DC ... 350 V DC 85 V AC ... 264 V AC / 90 V DC ... 350 V DC 85 V AC ... 264 V AC / 90 V DC ... 350 V DC 85 V AC ... 264VAC / 90VDC ... 350VDC 85VAC ... 264VAC / 90VDC ... 300VDC
45 Hz ... 65 Hz / 0 Hz 45 Hz ... 65 Hz / 0 Hz 45 Hz ... 65 Hz / 0 Hz
Current consumption (nominal load) 1.4 A (120 V AC) / 0.8 A (230 V AC) 1.2 A (120 V AC) / 0.6 A (230 V AC) 2.24 A (120 V AC) / 1.33 A (230 V AC) 5.1 A (120 V AC) / 2.3 A (230 V AC) 8.8 A (120 V AC) / 4.6 A (230 V AC)
< 15 A / < 1.5 A
2
s < 20 A / < 3.2 A
2
s < 15 A / < 1.7 A
2
s
, typ.) > 20 ms (120 V AC) / > 80 ms (230 V AC) > 55 ms (120 V AC) / > 55 ms (230 V AC) > 36 ms (120 V AC) / > 36 ms (230 V AC) > 32 ms (120 V AC) / > 32 ms (230 V AC) > 20 ms (120 V AC) / > 20 ms (230 V AC)
24VDC ±1% 24 V DC ±1% 24VDC ±1%
Setting range of the output voltage 18 V DC ... 29.5 V DC (> 24 V constant capacity) 18 V DC ... 29.5 V DC (> 24 V constant capacity) 18 V DC ... 29.5 V DC (> 24 V constant capacity) 18 V DC ... 29.5 V DC (> 24 V constant capacity) 18 V DC ... 29.5 V DC (> 24 V constant capacity)
10 A / 15 A / 60 A 20 A / 26 A / 120 A 40 A / 45 A / 215 A
B2 / B4 / B6 / C2 / C4 B2 / B4 / B6 / B10 / B16 / C2 / C4 / C6 B2 / B4 / B6 / B10 / B16 / B25 / C2 / C4 / C6 / C13
Yes / Yes Yes / Yes Yes / Yes
9.1 W / 22 W 8 W / 40 W 14 W / 80 W
Efficiency (typ.) > 88% (for 230 V AC and nominal values) > 90% (for 230 V AC and nominal values) > 92.5% (for 230 V AC and nominal values) > 93% (for 230 V AC and nominal values) > 92% (for 230 V AC and nominal values)
< 50 mV
PP
< 30 mV
PP
< 30 mV
PP
active switching output, relay contact LED, active switching output, relay contact LED, active switching output, relay contact LED, active switching output, relay contact
output LED, active switching output LED, active switching output LED, active switching output
Weight / Dimensions W x H x D 0.5 kg / 32 x 130 x 125 mm 0.7 kg / 40 x 130 x 125 mm 1.1 kg / 60 x 130 x 125 mm 1.7 kg / 90 x 130 x 125 mm 3.3 kg / 180 x 130 x 125 mm
Alignable: 5 mm horizontally, 15 mm next to active components,
50 mm vertically
Alignable: 5 mm horizontally, 15 mm next to active components,
50 mm vertically
Alignable: 5 mm horizontally, 15 mm next to active components,
50 mm vertically
Connection method Plug-in screw connection Plug-in screw connection Plug-in screw connection Screw connection Screw connection
Input connection data (solid / stranded / AWG) 0.2 - 2.5 mm² / 0.2 - 2.5 mm² / 20 - 12 0.2 - 2.5 mm² / 0.2 - 2.5 mm² / 20 - 12 0.2 - 2.5 mm² / 0.2 - 2.5 mm² / 16 - 12 0.2 - 6 mm² / 0.2 - 4 mm² / 18 - 10 0.2 - 6 mm² / 0.2 - 4 mm² / 14 - 10
Output connection data (solid / stranded / AWG) 0.2 - 2.5 mm² / 0.2 - 2.5 mm² / 20 - 12 0.2 - 2.5 mm² / 0.2 - 2.5 mm² / 20 - 12 0.2 - 2.5 mm² / 0.2 - 2.5 mm² / 16 - 12 0.2 - 6 mm² / 0.2 - 4 mm² / 12 - 10 0.5 - 16 mm² / 0.5 - 16 mm² / 8 - 6
Signal connection data (solid / stranded / AWG) 0.2 - 2.5 mm² / 0.2 - 2.5 mm² / 20 - 12 0.2 - 2.5 mm² / 0.2 - 2.5 mm² / 20 - 12 0.2 - 2.5 mm² / 0.2 - 2.5 mm² / 16 - 12 0.2 - 6 mm² / 0.2 - 4 mm² / 18 - 10 0.2 - 6 mm² / 0.2 - 4 mm² / 24 - 10
IP20 / I IP20 / I IP20 / I
> 535000 h (40°C) > 520000 h (40°C) > 530000 h (40°C)
-25°C ... 70°C (> 60°C derating: 2.5%/K,
startup at -40°C type-tested)
-25°C ... 70°C (> 60°C derating: 2.5%/K,
startup at -40°C type-tested)
-25°C ... 70°C (> 60°C derating: 2.5%/K,
startup at -40°C type-tested)
ype test) 2 kV AC (routine test) / 4 kV AC (type test) 2 kV AC (routine test) / 4 kV AC (type test) 2 kV AC (routine test) / 4 kV AC (type test) 2 kV AC (routine test) / 4 kV AC (type test)
Electromagnetic compatibility Conformance with EMC Directive 2004/108/EC Conformance with EMC Directive 2004/108/EC Conformance with EMC Directive 2004/108/EC Conformance with EMC Directive 2004/108/EC Conformance with EMC Directive 2004/108/EC
Electrical safety IEC 60950-1/VDE 0805 (SELV) IEC 60950-1/VDE 0805 (SELV) IEC 60950-1/VDE 0805 (SELV) IEC 60950-1/VDE 0805 (SELV) IEC 60950-1/VDE 0805 (SELV)
Electronic equipm. for electrical power installations EN 50178/VDE 0160 (PELV) EN 50178/VDE 0160 (PELV) EN 50178/VDE 0160 (PELV) EN 50178/VDE 0160 (PELV) EN 50178/VDE 0160 (PELV)
10, DIN VDE 0106-1010 DIN VDE 0100-410, DIN VDE 0106-1010 DIN VDE 0100-410, DIN VDE 0106-1010 DIN VDE 0100-410, DIN VDE 0106-101
IEC 60601 IEC 60601 -
UL Listed UL 508, UL/C-UL Recognized UL 60950-1,
UL ANSI/ISA-12.12.01 Class I, Division 2, Groups A, B, C, D
(Hazardous Location)
UL Listed UL 508, UL/C-UL Recognized UL 60950-1,
UL ANSI/ISA-12.12.01 Class I, Division 2, Groups A, B, C, D
(Hazardous Location)
UL Listed UL 508, UL/C-UL Recognized UL 60950-1,
UL ANSI/ISA-12.12.01 Class I, Division 2, Groups A, B, C, D
(Hazardous Location)
EN 61000-3-2 EN 61000-3-2 EN 61000-3-2
Ordering data Ordering data Ordering data
Type Order No. Pcs. /
Pkt. Type Order No. Pcs. /
Pkt. Type Order No. Pcs. /
Pkt.
QUINT-PS/1AC/24DC/10 2866763 1QUINT-PS/1AC/24DC/20 2866776 1QUINT-PS/1AC/24DC/40 2866789 1
159
PHOENIX CONTACT
Power supplies and UPS
Power supply units
H
W
D
Power supply,
1 AC, 24 V DC, 10 A
Power supply,
1 AC, 24 V DC, 20 A
Power supply,
1 AC, 24 V DC, 40 A
H
W
D
H
W
D

L1 (+)
L2
L3 (-)
13
I < I
N
DC OK
14
Ex:
Technical data
Input data
Nominal input voltage range 3x 400 V AC ... 500 V AC 3x 400 V AC ... 500 V AC 3x 400 V AC ... 500 V AC 3x 400 V AC ... 500 V AC
Input voltage range 3x 320 V AC ... 575 V AC / 2x 360 V AC ... 575 V AC /
450 V DC ... 800 V DC
Frequency range 45 Hz ... 65 Hz / 0 Hz
Current consumption (nominal load) 3x 0.8 A (400 V AC) / 3x 0.7 A (500 V AC) 3x 1.2 A (400 V AC) / 3x 1 A (500 V AC) 3x 1.6 A (400 V AC) / 3
Inrush current limitation at 25°C (typ.) / I
2
t < 15 A / < 1 A
2
s
Mains buffering (I
N
, typ.) > 20 ms (400 V AC) / > 30 ms (500 V AC) > 20 ms (400 V AC) / > 30 ms (500 V AC) > 20 ms (400 V AC) / > 30 ms (500 V AC) > 25 ms (400 V AC
Output data
Nominal output voltage 24 V DC ±1%
Setting range of the output voltage 18 V DC ... 29.5 V DC (> 24 V constant capacity) 18 V DC ... 29.5 V DC (> 24 V constant capacity) 18 V D
Output current / POWER BOOST / SFB (12 ms) 5 A / 7.5 A / 30 A
Magnetic fuse tripping B2 / B4 / C2
Can be connected in parallel / series Yes / Yes
Max. power dissipation (no load / nominal load) 4 W / 14 W
Efficiency (typ.) > 89% (at 400 V AC and nominal values) > 93% (at 400 V AC and nominal values) > 93% (at 400 V AC and nominal values) >
Residual ripple < 20 mV
PP
Signaling
Signaling DC OK LED, active switching output, relay contact LED, active switching output, relay contact LED, active switching outp
Boost signaling LED, active switching output LED, active switching
General data
Weight / Dimensions W x H x D 0.7 kg / 40 x 130 x 125 mm 1.1 kg
Spacing when mounting Alignable: 5 mm horizontally, 15 mm next to active components,
50 mm vertically
Connection method Plug-in screw connection Plug-in screw connection Screw connection Screw connection
Input connection data (solid / stranded / AWG) 0.2 - 2.5 mm² / 0.2 - 2.5 mm² / 20 - 12 0.2 - 2.5 mm² / 0.2 - 2.5 mm² / 16 - 12 0.2
Output connection data (solid / stranded / AWG) 0.2 - 2.5 mm² / 0.2 - 2.5 mm² / 20 - 12 0.2 - 2.5 mm² / 0.2 - 2.5 mm² / 16 - 12 0.
Signal connection data (solid / stranded / AWG) 0.2 - 2.5 mm² / 0.2 - 2.5 mm² / 20 - 12 0.2 - 2.5 mm² / 0.2 - 2.5 mm² / 16 - 12 0.
Degree of protection / Protection class IP20 / I
MTBF (IEC 61709, SN 29500) > 635000 h (40°C)
Ambient temperature (operation) -25°C ... 70°C (> 60°C derating: 2.5%/K,
startup at -40°C type-tested)
Standards/regulations
Insulation voltage input/output 2 kV AC (routine test) / 4 kV AC (type test) 2 kV AC (routine test) / 4 kV AC (type test) 2 kV AC
Electromagnetic compatibility Conformance with EMC Directive 2004/108/EC Conformance with EMC Directive 2004/108/EC Conformance wi
Electrical safety IEC 60950-1/VDE 0805 (SELV) IEC 60950-1/VDE 0805 (SELV) IEC 60950-1/VDE 0805 (SELV) IEC 60950-1/VDE 0805 (SELV)
Electronic equipm. for electrical power installations EN 50178/VDE 0160 (PELV) EN 50178/VDE 0160 (PELV) EN 50178/VDE 0160 (PELV) EN
Safe isolation DIN VDE 0100-410, DIN VDE 0106-1010 DIN VDE 0100-4
UL approvals UL Listed UL 508, UL/C-UL Recognized UL 60950-1
(3-wire + PE, star net), UL ANSI/ISA-12.12.01 Class I, Division 2,
Groups A, B, C, D (Hazardous Location)
Limitation of harmonic line currents EN 61000-3-2
Ordering data
Description Type Order No. Pcs. /
Pkt.
Power supply, primary-switched
QUINT-PS/3AC/24DC/ 5 2866734 1
160
PHOENIX CONTACT
QUINT POWER power supplies –
maximum functionality
QUINT POWER, 3 AC, 24 V DC
– High system availability even in the event
of a permanent phase failure
– High surge resistance of up to 6 kV thanks
to integrated gas-filled arresters
– Quick tripping of standard circuit
breakers thanks to the dynamic power
reserve SFB (selective fuse breaking)
technology with up to 6 times the
nominal current for 12 ms
– Reliable starting of difficult loads with the
static POWER BOOST power reserve
with up to 1.5 times the nominal current
permanently
– Preventive function monitoring warns
against critical operating states before
errors occur
– Flexible thanks to input voltage ranges for
AC and DC voltages
– Approved for semiconductor production
according to SEMI F47-0706
Power supplies and UPS
Power supply units
H
W
D
Power supply,
3 AC, 24 V DC, 5 A

L1 (+)
L2
L3 (-)
13
I < I
N
DC OK
14
L1 (+)
L2
L3 (-)
13
I < I
N
DC OK
14
L1 (+)
L2
L3 (-)
13
I < I
N
DC OK
14
For further information and full technical data, visit phoenixcontact.net/products
BSH
Ex:
BSH
Ex:
Ex:
Technical data Technical data Technical data
Nominal input voltage range 3x 400 V AC ... 500 V AC 3x 400 V AC ... 500 V AC 3x 400 V AC ... 500 V AC 3x 400 V AC ... 500 V AC
3x 320 V AC ... 575 V AC / 2x 360 V AC ... 575 V AC /
450 V DC ... 800 V DC
3x 320 V AC ... 575 V AC / 2x 360 V AC ... 575 V AC /
450 V DC ... 800 V DC
3x 320 V AC ... 575 V AC / 2x 360 V AC ... 575 V AC /
450 V DC ... 800 V DC
45 Hz ... 65 Hz / 0 Hz 45 Hz ... 65 Hz / 0 Hz 45 Hz ... 65 Hz / 0 Hz
Current consumption (nominal load) 3x 0.8 A (400 V AC) / 3x 0.7 A (500 V AC) 3x 1.2 A (400 V AC) / 3x 1 A (500 V AC) 3x 1.6 A (400 V AC) / 3x 1.3 A (500 V AC) 3x 2.1 A (400 V AC) / 3x 1.7 A (500 V AC)
< 15 A / < 1.5 A
2
s < 20 A / < 3.2 A
2
s < 20 A / < 1 A
2
s
, typ.) > 20 ms (400 V AC) / > 30 ms (500 V AC) > 20 ms (400 V AC) / > 30 ms (500 V AC) > 20 ms (400 V AC) / > 30 ms (500 V AC) > 25 ms (400 V AC) / > 35 ms (500 V AC)
24VDC ±1% 24VDC ±1% 24VDC ±1%
Setting range of the output voltage 18 V DC ... 29.5 V DC (> 24 V constant capacity) 18 V DC ... 29.5 V DC (> 24 V constant capacity) 18 V DC ... 29.5 V DC (> 24 V constant capacity) 18 V DC ... 29.5 V DC (> 24 V constant capacity)
10 A / 15 A / 60 A 20 A / 26 A / 120 A 40 A / 45 A / 215 A
B2 / B4 / B6 / C2 / C4 B2 / B4 / B6 / B10 / B16 / C2 / C4 / C6 B2 / B4 / B6 / B10 / B16 / B25 / C2 / C4 / C6 / C13
Yes / Yes Yes / Yes Yes / Yes
7 W / 19 W 11 W / 40 W 18 W / 63 W
Efficiency (typ.) > 89% (at 400 V AC and nominal values) > 93% (at 400 V AC and nominal values) > 93% (at 400 V AC and nominal values) > 94% (at 400 V AC and nominal values)
< 20 mV
PP
< 40 mV
PP
< 40 mV
PP
Signaling DC OK LED, active switching output, relay contact LED, active switching output, relay contact LED, active switching output, relay contact LED, active switching output, relay contact
Boost signaling LED, active switching output LED, active switching output LED, active switching output LED, active switching output
Weight / Dimensions W x H x D 0.7 kg / 40 x 130 x 125 mm 1.1 kg / 60 x 130 x 125 mm 1.5 kg / 69 x 130 x 125 mm 2.5 kg / 96 x 130 x 176 mm
Alignable: 5 mm horizontally, 15 mm next to active components,
50 mm vertically
Alignable: 5 mm horizontally, 15 mm next to active components,
50 mm vertically
Alignable: 5 mm horizontally, 15 mm next to active components,
50 mm vertically
Connection method Plug-in screw connection Plug-in screw connection Screw connection Screw connection
Input connection data (solid / stranded / AWG) 0.2 - 2.5 mm² / 0.2 - 2.5 mm² / 20 - 12 0.2 - 2.5 mm² / 0.2 - 2.5 mm² / 16 - 12 0.2 - 6 mm² / 0.2 - 4 mm² / 18 - 10 0.2 - 6 mm² / 0.2 - 4 mm² / 18 - 10
/ 0.2 - 2.5 mm² / 20 - 12 0.2 - 2.5 mm² / 0.2 - 2.5 mm² / 16 - 12 0.2 - 6 mm² / 0.2 - 4 mm² / 12 - 10 0.5 - 16 mm² / 0.5 - 16 mm² / 8 - 6
Signal connection data (solid / stranded / AWG) 0.2 - 2.5 mm² / 0.2 - 2.5 mm² / 20 - 12 0.2 - 2.5 mm² / 0.2 - 2.5 mm² / 16 - 12 0.2 - 6 mm² / 0.2 - 4 mm² / 18 - 10 0.2 - 6 mm² / 0.2 - 4 mm² / 18 - 10
IP20 / I IP20 / I IP20 / I
> 633000 h (40°C) > 534000 h (40°C) > 501000 h (40°C)
-25°C ... 70°C (> 60°C derating: 2.5%/K,
startup at -40°C type-tested)
-25°C ... 70°C (> 60°C derating: 2.5%/K,
startup at -40°C type-tested)
-25°C ... 70°C (> 60°C derating: 2.5%/K,
startup at -40°C type-tested)
ype test) 2 kV AC (routine test) / 4 kV AC (type test) 2 kV AC (routine test) / 4 kV AC (type test) 2 kV AC (routine test) / 4 kV AC (type test)
Electromagnetic compatibility Conformance with EMC Directive 2004/108/EC Conformance with EMC Directive 2004/108/EC Conformance with EMC Directive 2004/108/EC Conformance with EMC Directive 2004/108/EC
Electrical safety IEC 60950-1/VDE 0805 (SELV) IEC 60950-1/VDE 0805 (SELV) IEC 60950-1/VDE 0805 (SELV) IEC 60950-1/VDE 0805 (SELV)
0160 (PELV) EN 50178/VDE 0160 (PELV) EN 50178/VDE 0160 (PELV) EN 50178/VDE 0160 (PELV)
Safe isolation DIN VDE 0100-410, DIN VDE 0106-1010 DIN VDE 0100-410, DIN VDE 0106-1010 DIN VDE 0100-410, DIN VDE 0106-1010 DIN VDE 0100-410, DIN VDE 0106-101
UL Listed UL 508, UL/C-UL Recognized UL 60950-1
(3-wire + PE, star net), UL ANSI/ISA-12.12.01 Class I, Division 2,
Groups A, B, C, D (Hazardous Location)
UL Listed UL 508, UL/C-UL Recognized UL 60950-1
(3-wire + PE, star net), UL ANSI/ISA-12.12.01 Class I, Division 2,
Groups A, B, C, D (Hazardous Location)
UL Listed UL 508, UL/C-UL Recognized UL 60950-1
(3-wire + PE, star net), UL ANSI/ISA-12.12.01 Class I, Division 2,
Groups A, B, C, D (Hazardous Location)
EN 61000-3-2 EN 61000-3-2 EN 61000-3-2
Ordering data Ordering data Ordering data
Type Order No. Pcs. /
Pkt. Type Order No. Pcs. /
Pkt. Type Order No. Pcs. /
Pkt.
QUINT-PS/3AC/24DC/10 2866705 1QUINT-PS/3AC/24DC/20 2866792 1QUINT-PS/3AC/24DC/40 2866802 1
161
PHOENIX CONTACT
Power supplies and UPS
Power supply units
H
W
D
H
W
D
H
W
D
Power supply,
3 AC, 24 V DC, 10 A
Power supply,
3 AC, 24 V DC, 20 A
Power supply,
3 AC, 24 V DC, 40 A

13
I < I
N
DC OK
14
L (+)
N (-)
active
PFC
13
I < I
N
DC OK
14
L (+)
N (-)
active
PFC
Ex:
Ex:
Technical data Technical data
Input data
Nominal input voltage range 100 V AC ... 240 V AC 100 V AC ... 240 V AC 100 V AC ... 240 V AC 100 V AC ... 240 V AC 100 V AC ... 240 V AC
Input voltage range 85 V AC ... 264 V AC / 90 V DC ... 350 V DC 85 V AC ... 264 V AC / 90 V DC ... 350 V DC 85 V AC ... 264 V AC / 90 V DC ... 350 V DC 85 V
Frequency range 45 Hz ... 65 Hz / 0 Hz 45 Hz ... 65 Hz / 0 Hz
Current consumption (nominal load) 1.9 A (120 V AC) / 0.9 A (230 V AC) 2.4 A (120 V AC) / 1.4 A (230 V AC) 2.8 A (120 V AC) / 1.2 A (230 V AC)
Inrush current limitation at 25°C (typ.) / I
2
t < 15 A / < 1.5 A
2
s < 20 A / < 3.2 A
2
s
Mains buffering (I
N
, typ.) > 65 ms (120 V AC) / > 65 ms (230 V AC) > 40 ms (120 V AC) / > 40 ms (230 V AC) > 40 ms (120 V AC) / > 40 ms (230 V AC) > 20 ms (120 V AC
Output data
Nominal output voltage 12 V DC ±1% 12 V DC ±1%
Setting range of the output voltage 5 V DC ... 18 V DC (> 12 V constant capacity) 5 V DC ... 18 V DC (> 12 V constant capacity) 30 V DC ...
Output current / POWER BOOST / SFB (12 ms) 15 A / 16 A / 60 A 20 A / 26 A / 120 A
Magnetic fuse tripping B2 / B4 / B6 / C2 / C4 B2 / B4 / B6 / B10 / C2 / C4 / C6 B2 / B4 / C2 B2 / B4 / B6 / C2 / C4 B2 / B4 / B6 / B
Can be connected in parallel / series Yes / Yes Yes / Yes
Max. power dissipation (no load / nominal load) 5 W / 21 W 6 W / 29 W
Efficiency (typ.) > 89% (for 230 V AC and nominal values) > 90% (for 230 V AC and nominal values) > 92.5% (for 230 V AC and nominal valu
Residual ripple < 10 mV
PP
< 50 mV
PP
Signaling
Signaling DC OK LED, active switching output, relay contact LED, active switching output, relay contact LED, active switching outp
Boost signaling LED, active switching output LED, active switching output LED, active switching outp
General data
Weight / Dimensions W x H x D 1.1 kg / 60 x 130 x 125 mm 1.5 kg / 90 x 130 x 125 mm 1.1 kg / 60 x 130 x 125 mm 1.7 kg / 90 x 130 x
Spacing when mounting Alignable: 5 mm horizontally, 15 mm next to active components,
50 mm vertically
Alignable: 5 mm horizontally, 15 mm next to active components,
50 mm vertically
Connection method Plug-in screw connection Screw connection
Input connection data (solid / stranded / AWG) 0.2 - 2.5 mm² / 0.2 - 2.5 mm² / 16 - 12 0.2 - 6 mm² / 0.2 - 4 mm² / 18 - 10 0.2 - 2
Output connection data (solid / stranded / AWG) 0.2 - 2.5 mm² / 0.2 - 2.5 mm² / 16 - 12 0.2 - 6 mm² / 0.2 - 4 mm² / 12 - 10 0.2 -
Signal connection data (solid / stranded / AWG) 0.2 - 2.5 mm² / 0.2 - 2.5 mm² / 16 - 12 0.2 - 6 mm² / 0.2 - 4 mm² / 18 - 10 0.2 -
Degree of protection / Protection class IP20 / I IP20 / I
MTBF (IEC 61709, SN 29500) > 570000 h (40°C) > 600000 h (40°C)
Ambient temperature (operation) -25°C ... 70°C (> 60°C derating: 2.5%/K,
startup at -40°C type-tested)
-25°C ... 70°C (> 60°C derating: 2.5%/K,
startup at -40°C type-tested)
Standards/regulations
Insulation voltage input/output 2 kV AC (routine test) / 4 kV AC (type test) 2 kV AC (routine test) / 4 kV AC (type test) 2 kV AC
Electromagnetic compatibility Conformance with EMC Directive 2004/108/EC Conformance with EMC Directive 2004/108/EC Conformance wi
Electrical safety IEC 60950-1/VDE 0805 (SELV) IEC 60950-1/VDE 0805 (SELV) IEC 60950-1/VDE 0805 (SELV) IEC 60950-1/VDE 0805 (SELV) IE
Electronic equipm. for electrical power installations EN 50178/VDE 0160 (PELV) EN 50178/VDE 0160 (PELV) EN 50178/VDE 0160 (PELV) EN
Safe isolation DIN VDE 0100-410, DIN VDE 0106-1010 DIN VDE 0100-410, DIN VDE 0106-1010 DIN VDE 0100-410, DIN VDE 0106-1010 DIN VDE
Medical standard IEC 60601 IEC 60601
UL approvals UL Listed UL 508, UL/C-UL Recognized UL 60950-1,
UL ANSI/ISA-12.12.01 Class I, Division 2, Groups A, B, C, D
(Hazardous Location)
UL Listed UL 508, UL/C-UL Recognized UL 60950-1,
UL ANSI/ISA-12.12.01 Class I, Division 2, Groups A, B, C, D
(Hazardous Location)
Limitation of harmonic line currents EN 61000-3-2 EN 61000-3-2
Ordering data Ordering data
Description Type Order No. Pcs. /
Pkt. Type Order No. Pcs. /
Pkt.
Power supply, primary-switched
QUINT-PS/1AC/12DC/15 2866718 1QUINT-PS/1AC/12DC/20 2866721 1
162
PHOENIX CONTACT
QUINT POWER, 1 AC, 12 and
48VDC
– Quick tripping of the standard circuit
breakers
– Reliable starting of difficult loads
– Preventive function monitoring
– Flexible thanks to input voltage ranges for
AC and DC voltages
– Approved for semiconductor production
according to SEMI F47-0706: 12VDC
and 48VDC, 5A and 10A
– Adjustable output voltage of 5 to
18 V DC, or 30 to 56 V DC
QUINT POWER power supplies –
maximum functionality
Power supplies and UPS
Power supply units
Power supply,
1 AC, 12 V DC, 15 A
Power supply,
1 AC, 12 V DC, 20 A
H
W
D
H
W
D

13
I < I
N
DC OK
14
L (+)
N (-)
active
PFC
13
I < I
N
DC OK
14
L (+)
N (-)
active
PFC
13
I < I
N
DC OK
14
L (+)
N (-)
active
PFC
For further information and full technical data, visit phoenixcontact.net/products
Ex:
Ex:
Ex:
Technical data Technical data Technical data
Nominal input voltage range 100 V AC ... 240 V AC 100 V AC ... 240 V AC 100 V AC ... 240 V AC 100 V AC ... 240 V AC 100 V AC ... 240 V AC
Input voltage range 85 V AC ... 264 V AC / 90 V DC ... 350 V DC 85 V AC ... 264 V AC / 90 V DC ... 350 V DC 85 V AC ... 264 V AC / 90 V DC ... 350 V DC 85 V AC ... 264VAC / 90VDC ... 350VDC 85VAC ... 264VAC / 90VDC ... 300VDC
45 Hz ... 65 Hz / 0 Hz 45 Hz ... 65 Hz / 0 Hz 45 Hz ... 65 Hz / 0 Hz
Current consumption (nominal load) 1.9 A (120 V AC) / 0.9 A (230 V AC) 2.4 A (120 V AC) / 1.4 A (230 V AC) 2.8 A (120 V AC) / 1.2 A (230 V AC) 5.1 A (120 V AC) / 2.3 A (230 V AC) 8.7 A (120 V AC) / 4.5 A (230 V AC)
< 15 A / < 1.5 A
2
s < 20 A / < 3.2 A
2
s < 15 A / < 1.6 A
2
s
, typ.) > 65 ms (120 V AC) / > 65 ms (230 V AC) > 40 ms (120 V AC) / > 40 ms (230 V AC) > 40 ms (120 V AC) / > 40 ms (230 V AC) > 20 ms (120 V AC) / > 20 ms (230 V AC) > 25 ms (120 V AC) / > 25 ms (230 V AC)
48VDC ±1% 48 V DC ±1% 48VDC ±1%
Setting range of the output voltage 5 V DC ... 18 V DC (> 12 V constant capacity) 5 V DC ... 18 V DC (> 12 V constant capacity) 30 V DC ... 56 V DC (> 48 V constant capacity) 30 V DC ... 56 V DC (> 48 V constant capacity) 30 V DC ... 56 V DC (> 48 V constant capacity)
5 A / 7.5 A / 30 A 10 A / 13 A / 60 A 20 A / 22.5 A / 100 A
Magnetic fuse tripping B2 / B4 / B6 / C2 / C4 B2 / B4 / B6 / B10 / C2 / C4 / C6 B2 / B4 / C2 B2 / B4 / B6 / C2 / C4 B2 / B4 / B6 / B10 / C2 / C4 / C6
Yes / Yes Yes / Yes Yes / Yes
7 W / 21 W 16 W / 41 W 12 W / 74 W
Efficiency (typ.) > 89% (for 230 V AC and nominal values) > 90% (for 230 V AC and nominal values) > 92.5% (for 230 V AC and nominal values) > 93% (for 230 V AC and nominal values) > 93% (for 230 V AC and nominal values)
< 50 mV
PP
< 80 mV
PP
< 50 mV
PP
active switching output, relay contact LED, active switching output, relay contact LED, active switching output, relay contact LED, active switching output, relay contact
output LED, active switching output LED, active switching output LED, active switching output
Weight / Dimensions W x H x D 1.1 kg / 60 x 130 x 125 mm 1.5 kg / 90 x 130 x 125 mm 1.1 kg / 60 x 130 x 125 mm 1.7 kg / 90 x 130 x 125 mm 3.3 kg / 180 x 130 x 125 mm
Alignable: 5 mm horizontally, 15 mm next to active components,
50 mm vertically
Alignable: 5 mm horizontally, 15 mm next to active components,
50 mm vertically
Alignable: 5 mm horizontally, 15 mm next to active components,
50 mm vertically
Plug-in screw connection Screw connection Screw connection
Input connection data (solid / stranded / AWG) 0.2 - 2.5 mm² / 0.2 - 2.5 mm² / 16 - 12 0.2 - 6 mm² / 0.2 - 4 mm² / 18 - 10 0.2 - 2.5 mm² / 0.2 - 2.5 mm² / 16 - 12 0.2 - 6 mm² / 0.2 - 4 mm² / 18 - 10 0.2 - 6 mm² / 0.2 - 4 mm² / 14 - 10
Output connection data (solid / stranded / AWG) 0.2 - 2.5 mm² / 0.2 - 2.5 mm² / 16 - 12 0.2 - 6 mm² / 0.2 - 4 mm² / 12 - 10 0.2 - 2.5 mm² / 0.2 - 2.5 mm² / 16 - 12 0.2 - 6 mm² / 0.2 - 4 mm² / 12 - 10 0.5 - 16 mm² / 0.5 - 16 mm² / 8 - 6
Signal connection data (solid / stranded / AWG) 0.2 - 2.5 mm² / 0.2 - 2.5 mm² / 16 - 12 0.2 - 6 mm² / 0.2 - 4 mm² / 18 - 10 0.2 - 2.5 mm² / 0.2 - 2.5 mm² / 16 - 12 0.2 - 6 mm² / 0.2 - 4 mm² / 18 - 10 0.2 - 6 mm² / 0.2 - 4 mm² / 24 - 10
IP20 / I IP20 / I IP20 / I
> 535000 h (40°C) > 630000 h (40°C) > 523000 h (40°C)
-25°C ... 70°C (> 60°C derating: 2.5%/K,
startup at -40°C type-tested)
-25°C ... 70°C (> 60°C derating: 2.5%/K,
startup at -40°C type-tested)
-25°C ... 70°C (> 60°C derating: 2.5%/K,
startup at -40°C type-tested)
ype test) 2 kV AC (routine test) / 4 kV AC (type test) 2 kV AC (routine test) / 4 kV AC (type test) 2 kV AC (routine test) / 4 kV AC (type test) 2 kV AC (routine test) / 4 kV AC (type test)
Electromagnetic compatibility Conformance with EMC Directive 2004/108/EC Conformance with EMC Directive 2004/108/EC Conformance with EMC Directive 2004/108/EC Conformance with EMC Directive 2004/108/EC Conformance with EMC Directive 2004/108/EC
Electrical safety IEC 60950-1/VDE 0805 (SELV) IEC 60950-1/VDE 0805 (SELV) IEC 60950-1/VDE 0805 (SELV) IEC 60950-1/VDE 0805 (SELV) IEC 60950-1/VDE 0805 (SELV)
Electronic equipm. for electrical power installations EN 50178/VDE 0160 (PELV) EN 50178/VDE 0160 (PELV) EN 50178/VDE 0160 (PELV) EN 50178/VDE 0160 (PELV) EN 50178/VDE 0160 (PELV)
10, DIN VDE 0106-1010 DIN VDE 0100-410, DIN VDE 0106-1010 DIN VDE 0100-410, DIN VDE 0106-1010 DIN VDE 0100-410, DIN VDE 0106-1010
IEC 60601 IEC 60601 -
UL Listed UL 508, UL/C-UL Recognized UL 60950-1,
UL ANSI/ISA-12.12.01 Class I, Division 2, Groups A, B, C, D
(Hazardous Location)
UL Listed UL 508, UL/C-UL Recognized UL 60950-1,
UL ANSI/ISA-12.12.01 Class I, Division 2, Groups A, B, C, D
(Hazardous Location)
UL Listed UL 508, UL/C-UL Recognized UL 60950-1,
UL ANSI/ISA-12.12.01 Class I, Division 2, Groups A, B, C, D
(Hazardous Location)
EN 61000-3-2 EN 61000-3-2 EN 61000-3-2
Ordering data Ordering data Ordering data
Type Order No. Pcs. /
Pkt. Type Order No. Pcs. /
Pkt. Type Order No. Pcs. /
Pkt.
QUINT-PS/1AC/48DC/ 5 2866679 1QUINT-PS/1AC/48DC/10 2866682 1QUINT-PS/1AC/48DC/20 2866695 1
163
PHOENIX CONTACT
Power supplies and UPS
Power supply units
H
W
D
Power supply,
1 AC, 48 V DC, 5 A
Power supply,
1 AC, 48 V DC, 10 A
Power supply,
1 AC, 48 V DC, 20 A
H
W
D
H
W
D

L1 (+)
L2
L3 (-)
13
I < I
N
DC OK
14
Ex:
Technical data
Input data
Nominal input voltage range 3x 400 V AC ... 500 V AC
Input voltage range 3x 320 V AC ... 575 V AC / 2x 360 V AC ... 575 V AC /
450 V DC ... 800 V DC
Frequency range 45 Hz ... 65 Hz / 0 Hz
Current consumption (nominal load) 3x 2.1 A (400 V AC) / 3x 1.7 A (500 V AC)
Inrush current limitation at 25°C (typ.) / I
2
t < 20 A / < 1 A
2
s
Mains buffering (I
N
, typ.) > 25 ms (400 V AC) / > 35 ms (500 V AC)
Output data
Nominal output voltage 48 V DC ±1%
Setting range of the output voltage 30 V DC ... 56 V DC (> 48 V constant capacity)
Output current / POWER BOOST / SFB (12 ms) 20 A / 22.5 A / 100 A
Magnetic fuse tripping B2 / B4 / B6 / B10 / C2 / C4 / C6
Can be connected in parallel / series Yes / Yes
Max. power dissipation (no load / nominal load) 24 W / 70 W
Efficiency (typ.) > 93% (at 400 V AC and nominal values)
Residual ripple < 50 mV
PP
Signaling
Signaling DC OK LED, active switching output, relay contact
Boost signaling LED, active switching output
General data
Weight / Dimensions W x H x D 2.5 kg / 96 x 130 x 176 mm
Spacing when mounting Alignable: 5 mm horizontally, 15 mm next to active components,
50 mm vertically
Connection method Screw connection
Input connection data (solid / stranded / AWG) 0.2 - 6 mm² / 0.2 - 4 mm² / 18 - 10
Output connection data (solid / stranded / AWG) 0.5 - 16 mm² / 0.5 - 16 mm² / 8 - 6
Signal connection data (solid / stranded / AWG) 0.2 - 6 mm² / 0.2 - 4 mm² / 18 - 10
Degree of protection / Protection class IP20 / I
MTBF (IEC 61709, SN 29500) > 509000 h (40°C)
Ambient temperature (operation) -25°C ... 70°C (> 60°C derating: 2.5%/K,
startup at -40°C type-tested)
Standards/regulations
Insulation voltage input/output 2 kV AC (routine test) / 4 kV AC (type test)
Electromagnetic compatibility Conformance with EMC Directive 2004/108/EC
Electrical safety IEC 60950-1/VDE 0805 (SELV)
Electronic equipm. for electrical power installations EN 50178/VDE 0160 (PELV)
Safe isolation DIN VDE 0100-410, DIN VDE 0106-1010
UL approvals UL Listed UL 508, UL/C-UL Recognized UL 60950-1
(3-wire + PE, star net), UL ANSI/ISA-12.12.01 Class I, Division 2,
Groups A, B, C, D (Hazardous Location)
Limitation of harmonic line currents EN 61000-3-2
Ordering data
Description Type Order No. Pcs. /
Pkt.
Power supply, primary-switched
QUINT-PS/3AC/48DC/20 2320827 1
164
PHOENIX CONTACT
H
W
D
QUINT POWER, 3 AC, 48 V DC
– High system availability even in the event
of a permanent phase failure
– High surge resistance of up to 6 kV thanks
to integrated gas-filled arresters
– Quick tripping of standard circuit
breakers thanks to the dynamic power
reserve SFB (selective fuse breaking)
technology with up to 6 times the
nominal current for 12 ms
– Reliable starting of difficult loads with the
static POWER BOOST power reserve
with up to 1.5 times the nominal current
permanently
– Preventive function monitoring warns
against critical operating states before
errors occur
– Flexible thanks to input voltage ranges for
AC and DC voltages
– Adjustable output voltage of 30 to
56 V DC
QUINT POWER power supplies –
maximum functionality
Power supplies and UPS
Power supply units
Power supply,
3 AC, 48 V DC, 20 A

DC OK
IN
I<IN
13 DC OK
14 DC OK
+
+
-
-
-
L2
L1
+
-
For further information and full technical data, visit phoenixcontact.net/products
Technical data
Input data of AC
Nominal input voltage range 2x 400 V AC ... 500 V AC
Input voltage range 2x 360 V AC ... 575 V AC / 450 V DC ... 840 V DC
Frequency range 45 Hz ... 65 Hz
Current consumption (nominal load) 2.5 A (400 V AC) / 2.1 A (500 V AC)
Inrush current limitation at 25°C (typ.) / I
2
t < 85 A / < 1.5 A
2
s
Mains buffering (I
N
, typ.) > 20 ms (400 V AC)
Input data of DC
Nominal input voltage 600 V DC
Input voltage range DC 450 V DC ... 840 V DC
Max. current consumption approx. 0.9 A (600 VDC)
Output data
Nominal output voltage 24 V DC ±1%
Setting range of the output voltage 18 V DC ... 29.5 V DC (U
IN
≥ 360 V AC / 480 V DC)
18 V DC ... 26 V DC (< 480 V DC)
Output current / POWER BOOST / SFB (20 ms) 20 A / 26 A / 120 A
Magnetic fuse tripping C6 / B16
Max. power dissipation (no load / nominal load) 11 W / 51 W
Efficiency (typ.) > 92% (600 VDC)
Residual ripple < 50 mV
PP
Signaling
Signaling DC OK LED, relay contact
Boost signaling LED, active switching output
Signaling DC
IN
OK LED, active switching output
General data
Weight / Dimensions W x H x D 2 kg / 120 x 130 x 125 mm
Spacing when mounting Alignable: 5 mm horizontally, 15 mm next to active components,
50 mm vertically
Connection method Screw connection
Input connection data (solid / stranded / AWG) 0.2 - 6 mm² / 0.2 - 4 mm² / 24 - 10
Output connection data (solid / stranded / AWG) 0.2 - 6 mm² / 0.2 - 4 mm² / 12 - 10
Signal connection data (solid / stranded / AWG) 0.2 - 6 mm² / 0.2 - 4 mm² / 24 - 10
Degree of protection / Protection class IP20 / I
MTBF (IEC 61709, SN 29500) > 860000 h (40°C)
Ambient temperature (operation) -25°C ... 70°C (> 60°C derating: 2.5%/K)
Standards/regulations
Insulation voltage input/output 2 kV AC (routine test) / 1.5 kV AC (type test)
Electromagnetic compatibility Conformance with EMC Directive 2004/108/EC
Electrical safety EN 60950-1/VDE 0805 (SELV)
Electronic equipm. for electrical power installations EN 50178/VDE 0160 (PELV)
Safe isolation DIN VDE 0100-410
UL approvals UL/C-UL listed UL 508, UL/C-UL Recognized UL 60950-1
Ordering data
Description Type Order No. Pcs. /
Pkt.
Power supply, primary-switched
QUINT-PS/2AC/1DC/24DC/20 2320830 1
165
PHOENIX CONTACT
H
W
D
QUINT POWER for frequency
inverters
– In the event of mains failure, the DC
intermediate circuit voltage of the
inverter continues to supply all connected
24V loads without interruption
– Maintenance-free buffer solution:
controlled machine stop in the event of
mains failure by using the existing capacity
in the frequency inverter or by using the
kinetic energy of motors
– Compact solution in one housing: parallel
operation on 2-phase AC mains and a DC
intermediate circuit
– Fast tripping of standard circuit breakers
with dynamic power reserve SFB
(selective fuse breaking) technology with
up to 6 times the nominal current for
20 ms
– Reliably start difficult loads with the static
POWERBOOST power reserve
– Preventive function monitoring warns
against critical operating states before
errors occur
QUINT POWER power supplies –
maximum functionality
Power supplies and UPS
Power supply units
Power supply with two separate input circuits
for frequency inverters
2 AC, 1 DC/24 V DC, 20 A

13
I < I
N
DC OK
14
L (+)
N (-)
active
PFC
Ex:
Technical data
Input data
Nominal input voltage range 100 V AC ... 240 V AC 100 V AC ... 240 V AC 100 V AC ... 240 V AC 3x 400 V AC ... 500 V AC
Input voltage range 85 V AC ... 264 V AC / 90 V DC ... 410 V DC 85 V AC ... 264 V AC / 90 V DC ... 410 V DC 85 V AC ... 264 V AC / 90 V DC ... 410 V DC 3x
Frequency range 45 Hz ... 65 Hz / 0 Hz
Current consumption (nominal load) 1.2 A (120 V AC) / 0.6 A (230 V AC) 2.24 A (120 V AC) / 1.33 A (230 V AC) 4.5 A (120 V AC) / 2.5 A (230 V A
Inrush current limitation at 25°C (typ.) / I
2
t < 15 A / < 1 A
2
s
Mains buffering (I
N
, typ.) > 25 ms (120 V AC) / > 25 ms (230 V AC) > 27 ms (120 V AC) / > 31 ms (230 V AC) > 20 ms (120 V AC) / > 20 ms (230 V AC) > 15 ms (400 V AC
Output data
Nominal output voltage 24 V DC ±1%
Setting range of the output voltage 18 V DC ... 29.5 V DC (> 24 V constant capacity) 18 V DC ... 29.5 V DC (> 24 V constant capacity) 18 V D
Output current / POWER BOOST / SFB (12 ms) 5 A / 7.5 A / 30 A
Magnetic fuse tripping B2 / B4 / C2
Can be connected in parallel / series Yes / Yes
Max. power dissipation (no load / nominal load) < 3 W / < 15 W
Efficiency (typ.) > 90% (for 230 V AC and nominal values) > 92.5% (for 230 V AC and nominal values) > 93% (for 230 V AC and nominal valu
Residual ripple < 40 mV
PP
Signaling
Signaling DC OK LED, active switching output, relay contact LED, active switching output, relay contact LED, active switching outp
Boost signaling LED, active switching output LED, active switching
General data
Weight / Dimensions W x H x D 0.7 kg / 40 x 130 x 125 mm 1.1 kg
Spacing when mounting Alignable: 5 mm horizontally, 15 mm next to active components,
50 mm vertically
Connection method Plug-in screw connection Plug-in screw connection Screw connection Screw connection
Input connection data (solid / stranded / AWG) 0.2 - 2.5 mm² / 0.2 - 2.5 mm² / 20 - 12 0.2 - 2.5 mm² / 0.2 - 2.5 mm² / 16 - 12 0.2
Output connection data (solid / stranded / AWG) 0.2 - 2.5 mm² / 0.2 - 2.5 mm² / 20 - 12 0.2 - 2.5 mm² / 0.2 - 2.5 mm² / 16 - 12 0.
Signal connection data (solid / stranded / AWG) 0.2 - 2.5 mm² / 0.2 - 2.5 mm² / 20 - 12 0.2 - 2.5 mm² / 0.2 - 2.5 mm² / 16 - 12 0.
Degree of protection / Protection class IP20 / I
MTBF (IEC 61709, SN 29500) > 635000 h (40°C)
Ambient temperature (operation) -40°C ... 70°C (> 60°C derating: 2.5%/K) -40°C ... 70°C (> 60°C derating: 2.5%/K) -40°C ... 70°C (
Standards/regulations
Insulation voltage input/output 2 kV AC (routine test) / 4 kV AC (type test) 2 kV AC (routine test) / 4 kV AC (type test) 2 kV AC
Electromagnetic compatibility Conformance with EMC Directive 2004/108/EC Conformance with EMC Directive 2004/108/EC Conformance wi
Electrical safety IEC 60950-1/VDE 0805 (SELV) IEC 60950-1/VDE 0805 (SELV) IEC 60950-1/VDE 0805 (SELV) IEC 60950-1/VDE 0805 (SELV)
Electronic equipm. for electrical power installations EN 50178/VDE 0160 (PELV) EN 50178/VDE 0160 (PELV) EN 50178/VDE 0160 (PELV) EN
Safe isolation DIN VDE 0100-410, DIN VDE 0106-1010 DIN VDE 0100-4
Rail applications EN 50121-4 / EN 50155 EN 50121-4 / EN 50155 EN 50121-4 / EN 50155 EN 50121-4 / EN 50155
UL approvals UL/C-UL listed UL 508, UL/C-UL Recognized UL 60950,
UL ANSI/ISA-12.12.01 Class I, Division 2, Groups A, B, C, D
(Hazardous Location)
Limitation of harmonic line currents EN 61000-3-2
Ordering data
Description Type Order No. Pcs. /
Pkt.
Power supply, primary-switched
QUINT-PS/1AC/24DC/ 5/CO 2320908 1
166
PHOENIX CONTACT
Power supplies for extreme
requirements
QUINT POWER with protective
coating
The protective coating protects against
extreme ambient conditions, such as dust,
pollution, corrosive gases, and 100%
humidity
– Devices with ATEX approval conform to
standard EN60079-15 and EN60079-0
and may be installed in a potentially
explosive area (zone 2)
– They are suitable for use in Class I,
Division 2, Groups A, B, C, D
– Conformance with railway standard
EN50155
– OVP (Over Voltage Protection) limits
surge voltages to 32 V
– Wide temperature range from -40°C to
+70°C
– Quick tripping of standard circuit
breakers thanks to the dynamic power
reserve SFB (selective fuse breaking)
technology with up to 6 times the
nominal current for 12 ms
– Reliable starting of difficult loads with the
static POWER BOOST power reserve
with up to 1.5 times the nominal current
permanently
– Preventive function monitoring warns
against critical operating states before
errors occur
– Flexible thanks to input voltage ranges for
AC and DC voltages
Power supplies and UPS
Power supply units
Power supply,
with protective coating,
1 AC, 24 V DC, 5 A

13
I < I
N
DC OK
14
L (+)
N (-)
active
PFC
13
I < I
N
DC OK
14
L (+)
N (-)
active
PFC
L1 (+)
L2
L3 (-)
13
I < I
N
DC OK
14
For further information and full technical data, visit phoenixcontact.net/products
Ex:
Ex:
Ex:
Technical data Technical data Technical data
Nominal input voltage range 100 V AC ... 240 V AC 100 V AC ... 240 V AC 100 V AC ... 240 V AC 3x 400 V AC ... 500 V AC
Input voltage range 85 V AC ... 264 V AC / 90 V DC ... 410 V DC 85 V AC ... 264 V AC / 90 V DC ... 410 V DC 85 V AC ... 264 V AC / 90 V DC ... 410 V DC 3x 320 V AC ... 575 V AC / 450 V DC ... 800 V DC
45 Hz ... 65 Hz / 0 Hz 45 Hz ... 65 Hz / 0 Hz 45 Hz ... 65 Hz / 0 Hz
Current consumption (nominal load) 1.2 A (120 V AC) / 0.6 A (230 V AC) 2.24 A (120 V AC) / 1.33 A (230 V AC) 4.5 A (120 V AC) / 2.5 A (230 V AC) 3x 1.6 A (400 V AC) / 3x 1.3 A (500 V AC)
< 15 A / < 1.5 A
2
s < 20 A / < 3.2 A
2
s < 20 A / < 3.2 A
2
s
, typ.) > 25 ms (120 V AC) / > 25 ms (230 V AC) > 27 ms (120 V AC) / > 31 ms (230 V AC) > 20 ms (120 V AC) / > 20 ms (230 V AC) > 15 ms (400 V AC) / > 25 ms (500 V AC)
24VDC ±1% 24VDC ±1% 24VDC ±1%
Setting range of the output voltage 18 V DC ... 29.5 V DC (> 24 V constant capacity) 18 V DC ... 29.5 V DC (> 24 V constant capacity) 18 V DC ... 29.5 V DC (> 24 V constant capacity) 18 V DC ... 29.5 V DC (> 24 V constant capacity)
10 A / 15 A / 60 A 20 A / 26 A / 120 A 20 A / 26 A / 120 A
B2 / B4 / B6 / C2 / C4 B2 / B4 / B6 / B10 / B16 / C2 / C4 / C6 B2 / B4 / B6 / B10 / B16 / C2 / C4 / C6
Yes / Yes Yes / Yes Yes / Yes
9.1 W / 22 W 8 W / 40 W 11 W / 40 W
Efficiency (typ.) > 90% (for 230 V AC and nominal values) > 92.5% (for 230 V AC and nominal values) > 93% (for 230 V AC and nominal values) > 93% (at 400 V AC and nominal values)
< 50 mV
PP
< 30 mV
PP
< 40 mV
PP
Signaling DC OK LED, active switching output, relay contact LED, active switching output, relay contact LED, active switching output, relay contact LED, active switching output, relay contact
Boost signaling LED, active switching output LED, active switching output LED, active switching output LED, active switching output
Weight / Dimensions W x H x D 0.7 kg / 40 x 130 x 125 mm 1.1 kg / 60 x 130 x 125 mm 1.7 kg / 90 x 130 x 125 mm 1.5 kg / 69 x 130 x 125 mm
Alignable: 5 mm horizontally, 15 mm next to active components,
50 mm vertically
Alignable: 5 mm horizontally, 15 mm next to active components,
50 mm vertically
Alignable: 5 mm horizontally, 15 mm next to active components,
50 mm vertically
Connection method Plug-in screw connection Plug-in screw connection Screw connection Screw connection
Input connection data (solid / stranded / AWG) 0.2 - 2.5 mm² / 0.2 - 2.5 mm² / 20 - 12 0.2 - 2.5 mm² / 0.2 - 2.5 mm² / 16 - 12 0.2 - 6 mm² / 0.2 - 4 mm² / 18 - 10 0.2 - 6 mm² / 0.2 - 4 mm² / 18 - 10
/ 0.2 - 2.5 mm² / 20 - 12 0.2 - 2.5 mm² / 0.2 - 2.5 mm² / 16 - 12 0.2 - 6 mm² / 0.2 - 4 mm² / 12 - 10 0.2 - 6 mm² / 0.2 - 4 mm² / 12 - 10
Signal connection data (solid / stranded / AWG) 0.2 - 2.5 mm² / 0.2 - 2.5 mm² / 20 - 12 0.2 - 2.5 mm² / 0.2 - 2.5 mm² / 16 - 12 0.2 - 6 mm² / 0.2 - 4 mm² / 18 - 10 0.2 - 6 mm² / 0.2 - 4 mm² / 18 - 10
IP20 / I IP20 / I IP20 / I
> 535000 h (40°C) > 520000 h (40°C) > 534000 h (40°C)
Ambient temperature (operation) -40°C ... 70°C (> 60°C derating: 2.5%/K) -40°C ... 70°C (> 60°C derating: 2.5%/K) -40°C ... 70°C (> 60°C derating: 2.5%/K) -40°C ... 70°C (> 60°C derating: 2.5%/K)
ype test) 2 kV AC (routine test) / 4 kV AC (type test) 2 kV AC (routine test) / 4 kV AC (type test) 2 kV AC (routine test) / 4 kV AC (type test)
Electromagnetic compatibility Conformance with EMC Directive 2004/108/EC Conformance with EMC Directive 2004/108/EC Conformance with EMC Directive 2004/108/EC Conformance with EMC Directive 2004/108/EC
Electrical safety IEC 60950-1/VDE 0805 (SELV) IEC 60950-1/VDE 0805 (SELV) IEC 60950-1/VDE 0805 (SELV) IEC 60950-1/VDE 0805 (SELV)
0160 (PELV) EN 50178/VDE 0160 (PELV) EN 50178/VDE 0160 (PELV) EN 50178/VDE 0160 (PELV)
Safe isolation DIN VDE 0100-410, DIN VDE 0106-1010 DIN VDE 0100-410, DIN VDE 0106-1010 DIN VDE 0100-410, DIN VDE 0106-1010 DIN VDE 0100-410, DIN VDE 0106-1010
Rail applications EN 50121-4 / EN 50155 EN 50121-4 / EN 50155 EN 50121-4 / EN 50155 EN 50121-4 / EN 50155
UL/C-UL listed UL 508, UL/C-UL Recognized UL 60950,
UL ANSI/ISA-12.12.01 Class I, Division 2, Groups A, B, C, D
(Hazardous Location)
UL/C-UL listed UL 508, UL/C-UL Recognized UL 60950,
UL ANSI/ISA-12.12.01 Class I, Division 2, Groups A, B, C, D
(Hazardous Location)
UL/C-UL listed UL 508, UL/C-UL Recognized UL 60950-1
(3-wire + PE, star net), UL ANSI/ISA-12.12.01 Class I, Division 2,
Groups A, B, C, D (Hazardous Location)
EN 61000-3-2 EN 61000-3-2 EN 61000-3-2
Ordering data Ordering data Ordering data
Type Order No. Pcs. /
Pkt. Type Order No. Pcs. /
Pkt. Type Order No. Pcs. /
Pkt.
QUINT-PS/1AC/24DC/10/CO 2320911 1QUINT-PS/1AC/24DC/20/CO 2320898 1QUINT-PS/ 3AC/24DC/20/CO 2320924 1
167
PHOENIX CONTACT
Power supplies and UPS
Power supply units
H
W
D
Power supply,
with protective coating,
1 AC, 24 V DC, 10 A
Power supply,
with protective coating,
1 AC, 24 V DC, 20 A
Power supply,
with protective coating,
3 AC, 24 V DC, 20 A

13
14
L/+
N/-
+
+
-
-
-
Technical data
Input data
Nominal input voltage range 100 V AC ... 240 V AC 100 V AC ... 240 V AC 100 V AC ... 240 V AC 100 V AC ... 240 V AC
Input voltage range 85 V AC ... 264 V AC / 99 V DC ... 275 V DC 85 V AC ... 264 V AC / 99 V DC ... 275 V DC 85 V AC ... 264 V AC / 99 V DC ... 275 V DC 85 V
Frequency range 50 Hz ... 60 Hz
Current consumption (nominal load) 1.4 A (100 V AC) / 0.7 A (240 V AC) 2.2 A (100 V AC) / 1.1 A (240 V AC) 3.1 A (100 V AC) / 1.4 A (240 V AC)
Inrush current limitation at 25°C (typ.) / I
2
t≤ 15 A / < 0.26 A
2
s
Mains buffering (I
N
, typ.) > 10 ms (120 V AC) / > 20 ms (230 V AC) > 20 ms (120 V AC) / > 100 ms (230 V AC) > 15 ms (120 V AC) / > 15 ms (230 V AC) > 10 ms (120 V A
Output data
Nominal output voltage 24 V DC ±1%
Setting range of the output voltage 24 V DC ... 28 V DC (> 24 V constant capacity) 24 V DC ... 28 V DC (> 24 V constant capacity) 24 V DC ..
Output current / Dynamic BOOST (5s) 3 A / -
Can be connected in parallel / series Yes, with redundancy module / Yes Yes, with redundancy module / Yes Yes, with redundancy mod
Max. power dissipation (no load / nominal load) < 1 W / < 10 W
Efficiency (typ.) > 89% (for 230 V AC and nominal values) > 90% (for 230 V AC and nominal values) > 91% (for 230 V AC and nominal values
Residual ripple ≤ 50 mV
PP
Signaling
Signaling DC OK LED, floating signal contact LED, floating signal contact LED, floating signal contact LED, floating signal contact
General data
Weight / Dimensions W x H x D 0.35 kg / 30 x 130 x 115 mm 0.45 kg / 35 x 130 x 115 mm 1 kg / 42 x 130 x 160 mm 1.5 kg / 68 x 130 x
Spacing when mounting Alignable: horizontally 0 mm (≤ 40°C) 10 mm (≤ 70°C),
vertically 50 mm
Connection method Push-in connection
Input connection data (solid / stranded / AWG) 0.2 - 4 mm² / 0.2 - 2.5 mm² / 24 - 12 0.2 - 4 mm² / 0.2 - 2.5 mm² / 24 - 12 0.2 - 4
Output connection data (solid / stranded / AWG) 0.2 - 4 mm² / 0.2 - 2.5 mm² / 24 - 12 0.2 - 4 mm² / 0.2 - 2.5 mm² / 24 - 12 0.2 -
Degree of protection / Protection class IP20 / II
MTBF (IEC 61709, SN 29500) > 2000000 h (40°C)
Ambient temperature (operation) -25°C ... 70°C (> 60°C derating: 2.5%/K) -25°C ... 70°C (> 60°C derating: 2.5%/K) -25°C ... 70°C (
Standards/regulations
Insulation voltage input/output 3 kV AC (routine test) / 4 kV AC (type test) 3 kV AC (routine test) / 4 kV AC (type test) 1.5 kV A
Electromagnetic compatibility Conformance with EMC Directive 2004/108/EC Conformance with EMC Directive 2004/108/EC Conformance wi
Electrical safety IEC 60950-1/VDE 0805 (SELV) IEC 60950-1/VDE 0805 (SELV) IEC 60950-1/VDE 0805 (SELV) IEC 60950-1/VDE 0805 (SELV)
Electronic equipm. for electrical power installations EN 50178/VDE 0160 (PELV) EN 50178/VDE 0160 (PELV) EN 50178/VDE 0160 (PELV) EN
Safe isolation DIN VDE 0100-410
UL approvals UL Listed UL 508, UL/C-UL Recognized UL 60950-1 UL Listed UL 508, UL/C-UL Recognized UL 60950-1 UL Listed UL 508, UL/
Limitation of harmonic line currents EN 61000-3-2
Ordering data
Description Type Order No. Pcs. /
Pkt.
Power supply, primary-switched
TRIO-PS-2G/1AC/24DC/3/C2LPS 2903147 1
168
PHOENIX CONTACT
TRIO POWER power supplies –
robust standard functionality
TRIO POWER 1 AC, 24 V DC, with
push-in connection technology
– High operational reliability thanks to the
robust design
– Wide temperature range from -25°C to
+70°C as well as device startup at -40°C
(type-tested)
– Reliable starting of dynamic loads with
the dynamic boost, which supplies up to
1.5 times the nominal current for
5 seconds
– Time savings during installation thanks to
the use of tool-free push-in connection
technology
– Space savings in the control cabinet
thanks to the narrow design
– Active function monitoring with DC OK
LED and relay contact
– Input voltage range for DC voltage of
110 ... 250 V DC
– Third negative terminal block for
grounding on the secondary side
– Maximum availability thanks to high MTBF
(mean time between failure)
– Compensation of voltage drops by means
of output voltage that can be set on the
front
TRIO POWER, NEC Class 2
Output power limited to 100 W
– Specifically for applications that require
certification according to UL 1310/508
Listed Class 2
Power supplies and UPS
Power supply units
H
W
D
new
Power supply,
1 AC, 24 V DC, 3 A
NEC Class 2

13
14
L/+
N/-
+
+
-
-
-
14
13
active
PFC
L/+
N/-
13
14
+
+
-
-
-
14
13
active
PFC
L/+
N/-
13
14
+
+
-
-
-
For further information and full technical data, visit phoenixcontact.net/products
Technical data Technical data Technical data
Nominal input voltage range 100 V AC ... 240 V AC 100 V AC ... 240 V AC 100 V AC ... 240 V AC 100 V AC ... 240 V AC
Input voltage range 85 V AC ... 264 V AC / 99 V DC ... 275 V DC 85 V AC ... 264 V AC / 99 V DC ... 275 V DC 85 V AC ... 264 V AC / 99 V DC ... 275 V DC 85 V AC ... 264 V AC / 99 V DC ... 275 V DC
50 Hz ... 60 Hz 50 Hz ... 60 Hz 50 Hz ... 60 Hz
Current consumption (nominal load) 1.4 A (100 V AC) / 0.7 A (240 V AC) 2.2 A (100 V AC) / 1.1 A (240 V AC) 3.1 A (100 V AC) / 1.4 A (240 V AC) 5.6 A (100 V AC) / 2.4 A (240 V AC)
≤ 16 A / < 0.6 A
2
s≤ 25 A / < 0.5 A
2
s≤ 20 A / < 0.9 A
2
s
, typ.) > 10 ms (120 V AC) / > 20 ms (230 V AC) > 20 ms (120 V AC) / > 100 ms (230 V AC) > 15 ms (120 V AC) / > 15 ms (230 V AC) > 10 ms (120 V AC) / > 15 ms (230 V AC)
24VDC ±1% 24VDC ±1% 24VDC ±1%
Setting range of the output voltage 24 V DC ... 28 V DC (> 24 V constant capacity) 24 V DC ... 28 V DC (> 24 V constant capacity) 24 V DC ... 28 V DC (> 24 V constant capacity) 24 V DC ... 28 V DC (> 24 V constant capacity)
5 A / 7.5 A 10 A / 15 A 20 A / 30 A
Can be connected in parallel / series Yes, with redundancy module / Yes Yes, with redundancy module / Yes Yes, with redundancy module / Yes Yes, with redundancy module / Yes
< 1 W / < 16 W < 5.1 W / < 25 W < 5.7 W / < 44 W
Efficiency (typ.) > 89% (for 230 V AC and nominal values) > 90% (for 230 V AC and nominal values) > 91% (for 230 V AC and nominal values) > 93% (for 230 V AC and nominal values)
≤ 50 mV
PP
≤ 10 mV
PP
≤ 30 mV
PP
Signaling DC OK LED, floating signal contact LED, floating signal contact LED, floating signal contact LED, floating signal contact
Weight / Dimensions W x H x D 0.35 kg / 30 x 130 x 115 mm 0.45 kg / 35 x 130 x 115 mm 1 kg / 42 x 130 x 160 mm 1.5 kg / 68 x 130 x 160 mm
Alignable: horizontally 0 mm (≤ 40°C) 10 mm (≤ 70°C),
vertically 50 mm
Alignable: horizontally 0 mm (≤ 40°C) 10 mm (≤ 70°C),
vertically 50 mm
Alignable: horizontally 0 mm (≤ 40°C) 10 mm (≤ 70°C),
vertically 50 mm
Push-in connection Push-in connection Push-in connection
Input connection data (solid / stranded / AWG) 0.2 - 4 mm² / 0.2 - 2.5 mm² / 24 - 12 0.2 - 4 mm² / 0.2 - 2.5 mm² / 24 - 12 0.2 - 4 mm² / 0.2 - 2.5 mm² / 24 - 12 0.2 - 4 mm² / 0.2 - 2.5 mm² / 24 - 12
2 - 2.5 mm² / 24 - 12 0.2 - 4 mm² / 0.2 - 2.5 mm² / 24 - 12 0.2 - 4 mm² / 0.2 - 2.5 mm² / 24 - 12 0.2 - 10 mm² / 0.2 - 6 mm² / 24 - 8
IP20 / II IP20 / I IP20 / I
> 2000000 h (40°C) > 1000000 h (40°C) > 1000000 h (40°C)
Ambient temperature (operation) -25°C ... 70°C (> 60°C derating: 2.5%/K) -25°C ... 70°C (> 60°C derating: 2.5%/K) -25°C ... 70°C (> 60°C derating: 2.5%/K,
startup at -40°C type-tested)
-25°C ... 70°C (> 60°C derating: 2.5%/K,
startup at -40°C type-tested)
ype test) 3 kV AC (routine test) / 4 kV AC (type test) 1.5 kV AC (routine test) / 4 kV AC (type test) 1.5 kV AC (routine test) / 4 kV AC (type test)
Electromagnetic compatibility Conformance with EMC Directive 2004/108/EC Conformance with EMC Directive 2004/108/EC Conformance with EMC Directive 2004/108/EC Conformance with EMC Directive 2004/108/EC
Electrical safety IEC 60950-1/VDE 0805 (SELV) IEC 60950-1/VDE 0805 (SELV) IEC 60950-1/VDE 0805 (SELV) IEC 60950-1/VDE 0805 (SELV)
0160 (PELV) EN 50178/VDE 0160 (PELV) EN 50178/VDE 0160 (PELV) EN 50178/VDE 0160 (PELV)
DIN VDE 0100-410 DIN VDE 0100-410 DIN VDE 0100-410
UL approvals UL Listed UL 508, UL/C-UL Recognized UL 60950-1 UL Listed UL 508, UL/C-UL Recognized UL 60950-1 UL Listed UL 508, UL/C-UL Recognized UL 60950-1 UL Listed UL 508, UL/C-UL Recognized UL 60950-1
EN 61000-3-2 EN 61000-3-2 EN 61000-3-2
Ordering data Ordering data Ordering data
Type Order No. Pcs. /
Pkt. Type Order No. Pcs. /
Pkt. Type Order No. Pcs. /
Pkt.
TRIO-PS-2G/1AC/24DC/5 2903148 1TRIO-PS-2G/1AC/24DC/10 2903149 1TRIO-PS-2G/1AC/24DC/20 2903151 1
169
PHOENIX CONTACT
Power supplies and UPS
Power supply units
H
W
D
new
H
W
D
new
H
W
D
new
Power supply,
1 AC, 24 V DC, 5 A
Power supply,
1 AC, 24 V DC, 10 A
Power supply,
1 AC, 24 V DC, 20 A

L1
L2
L3
13
14
+
+
-
-
-
Technical data
Input data
Nominal input voltage range 2/3x 400 V AC ... 500 V AC 2/3x 400 V AC ... 500 V AC 2/3x 400 V AC ... 500 V AC 3x 400 V AC ... 500 V AC
Input voltage range 3x 320 V AC ... 575 V AC / 2x 360 V AC ... 575 V AC /
450 V DC ... 780 V DC
Frequency range 50 Hz ... 60 Hz
Current consumption (nominal load) 3x 0.4 A (400 V AC) / 3x 0.3 A (500 V AC) 3x 0.6 A (400 V AC) / 3x 0.6 A (500 V AC) 3x 1.2 A (400 V AC) /
Inrush current limitation at 25°C (typ.) / I
2
t≤ 22 A / ≤0.25 A
2
s
Mains buffering (I
N
, typ.) > 20 ms (400 V AC) / > 20 ms (500 VAC) > 10 ms (400 V AC) / > 20 ms (500 V
Output data
Nominal output voltage 24 V DC ±1%
Setting range of the output voltage 24 V DC ... 28 V DC (> 24 V constant capacity) 24 V DC ... 28 V DC (> 24 V constant capacity) 24 V DC ..
Output current / Dynamic BOOST (5s) 5 A / 7.5 A
Can be connected in parallel / series Yes, with redundancy module / Yes Yes, with redundancy module / Yes Yes, with redundancy mod
Max. power dissipation (no load / nominal load) < 1 W / < 12 W
Efficiency (typ.) > 91% (at 400 V AC and nominal values) > 92% (at 400 V AC and nominal values) > 93% (at 400 V AC and nominal values) >
Residual ripple ≤ 20 mV
PP
Signaling
Signaling DC OK LED, floating signal contact LED, floating signal contact LED, floating signal contact LED
General data
Weight / Dimensions W x H x D 0.4 kg / 35 x 130 x 115 mm 0.9 kg
Spacing when mounting Alignable: horizontally 0 mm (≤ 40°C) 10 mm (≤ 70°C),
vertically 50 mm
Connection method Push-in connection
Input connection data (solid / stranded / AWG) 0.2 - 4 mm² / 0.2 - 2.5 mm² / 24 - 12 0.2 - 4 mm² / 0.2 - 2.5 mm² / 24 - 12 0.2 - 4
Output connection data (solid / stranded / AWG) 0.2 - 4 mm² / 0.2 - 2.5 mm² / 24 - 12 0.2 - 4 mm² / 0.2 - 2.5 mm² / 24 - 12 0.2 -
Degree of protection / Protection class IP20 / II
MTBF (IEC 61709, SN 29500) > 1300000 h (40°C)
Ambient temperature (operation) -25°C ... 70°C (> 60°C derating: 2.5%/K) -25°C ... 70°C (> 60°C derating: 2.5%/K,
Standards/regulations
Insulation voltage input/output 3 kV AC (routine test) / 4 kV AC (type test) 1.5 kV AC (routine test) / 4 kV AC (type test) 1.5 kV
Electromagnetic compatibility Conformance with EMC Directive 2004/108/EC Conformance with EMC Directive 2004/108/EC Conformance wi
Electrical safety IEC 60950-1/VDE 0805 (SELV) IEC 60950-1/VDE 0805 (SELV) IEC 60950-1/VDE 0805 (SELV) EN 60950-1/VDE 0805 (SELV)
Electronic equipm. for electrical power installations EN 50178/VDE 0160 (PELV) EN 50178/VDE 0160 (PELV) EN 50178/VDE 0160 (PELV) EN
Safe isolation DIN VDE 0100-410
UL approvals UL Listed UL 508, UL/C-UL Recognized UL 60950-1 UL Listed UL 508, UL/C-UL Recognized UL 60950-1 UL Listed UL 508, UL/
Limitation of harmonic line currents EN 61000-3-2
Ordering data
Description Type Order No. Pcs. /
Pkt.
Power supply, primary-switched
TRIO-PS-2G/3AC/24DC/5 2903153 1
170
PHOENIX CONTACT
TRIO POWER power supplies –
robust standard functionality
TRIO POWER 3 AC, 24 V DC, 40 A
– Error-free function, even if one phase fails
permanently
– High operational reliability thanks to the
robust design
– Wide temperature range from -25°C to
+70°C
– Third negative terminal block for
grounding on the secondary side
– Maximum availability thanks to high MTBF
(mean time between failure)
– Compensation of voltage drops by means
of output voltage that can be set on the
front
TRIO POWER 3 AC, 24 V DC, with
push-in connection technology
The TRIO POWER power supply range
with push-in connection technology offers
further additional functions:
– Wide temperature range from -25°C to
+70°C as well as device startup at -40°C
(type-tested)
– Reliable starting of difficult loads with the
dynamic BOOST, which supplies up to 1.5
times the nominal current for 5seconds
– Time savings during installation thanks to
the use of tool-free push-in connection
technology
– Space savings in the control cabinet
thanks to the narrow design
– Active function monitoring with DC OK
LED and relay contact
– Input voltage range for DC voltage of
600VDC
Power supplies and UPS
Power supply units
H
W
D
new
Power supply,
3 AC, 24 V DC, 5 A

L1
L2
L3
13
14
+
+
-
-
-
L1
L2
L3
13
14
+
+
-
-
-
L1
L2
L3
PE
For further information and full technical data, visit phoenixcontact.net/products
Technical data Technical data Technical data
Nominal input voltage range 2/3x 400 V AC ... 500 V AC 2/3x 400 V AC ... 500 V AC 2/3x 400 V AC ... 500 V AC 3x 400 V AC ... 500 V AC
3x 320 V AC ... 575 V AC / 2x 360 V AC ... 575 V AC /
450 V DC ... 780 V DC
3x 320 V AC ... 575 V AC / 2x 360 V AC ... 575 V AC /
450 V DC ... 780 V DC
3x 320 V AC ... 575 V AC / 2x 360 V AC ... 575 V AC
50 Hz ... 60 Hz 50 Hz ... 60 Hz 45 Hz ... 65 Hz
Current consumption (nominal load) 3x 0.4 A (400 V AC) / 3x 0.3 A (500 V AC) 3x 0.6 A (400 V AC) / 3x 0.6 A (500 V AC) 3x 1.2 A (400 V AC) / 3x 1 A (500 V AC) 3x 2 A (400 V AC) / 3x 1.6 A (480 V AC)
≤ 26 A / 0.3 A
2
s≤ 22 A / 0.5 A
2
s < 20 A / 1.3 A
2
s
AC) > 10 ms (400 V AC) / > 20 ms (500 VAC) > 10 ms (400 V AC) / > 20 ms (500 VAC) > 16 ms (400 V AC) / > 20 ms (480 V AC)
24VDC ±1% 24VDC ±1% 24VDC ±1%
Setting range of the output voltage 24 V DC ... 28 V DC (> 24 V constant capacity) 24 V DC ... 28 V DC (> 24 V constant capacity) 24 V DC ... 28 V DC (> 24 V constant capacity) 22.5 V DC ... 29.5 V DC (> 24 V constant capacity)
10 A / 15 A 20 A / 30 A 40 A / -
Can be connected in parallel / series Yes, with redundancy module / Yes Yes, with redundancy module / Yes Yes, with redundancy module / Yes Yes / Yes
< 1.1 W / < 22 W < 1.2 W / < 38 W 16 W / 91 W
Efficiency (typ.) > 91% (at 400 V AC and nominal values) > 92% (at 400 V AC and nominal values) > 93% (at 400 V AC and nominal values) > 91.5% (at 400 V AC and nominal values)
≤ 20 mV
PP
≤ 20 mV
PP
< 20 mV
PP
Signaling DC OK LED, floating signal contact LED, floating signal contact LED, floating signal contact LED
Weight / Dimensions W x H x D 0.4 kg / 35 x 130 x 115 mm 0.9 kg / 42 x 130 x 160 mm 1.5 kg / 65 x 130 x 160 mm 2.9 kg / 139 x 130 x 190 mm
Alignable: horizontally 0 mm (≤ 40°C) 10 mm (≤ 70°C),
vertically 50 mm
Alignable: horizontally 0 mm (≤ 40°C) 10 mm (≤ 70°C),
vertically 50 mm
Alignable: horizontally 0 mm,
vertically 50 mm
Push-in connection Push-in connection Screw connection
Input connection data (solid / stranded / AWG) 0.2 - 4 mm² / 0.2 - 2.5 mm² / 24 - 12 0.2 - 4 mm² / 0.2 - 2.5 mm² / 24 - 12 0.2 - 4 mm² / 0.2 - 2.5 mm² / 24 - 12 0.2 - 6 mm² / 0.2 - 4 mm² / 22 - 10
2 - 2.5 mm² / 24 - 12 0.2 - 4 mm² / 0.2 - 2.5 mm² / 24 - 12 0.2 - 10 mm² / 0.2 - 6 mm² / 24 - 8 0.5 - 16 mm² / 0.5 - 10 mm² / 8 - 6
IP20 / I IP20 / I IP20 / I
> 1200000 h (40°C) > 1100000 h (40°C) > 930000 h (40°C)
Ambient temperature (operation) -25°C ... 70°C (> 60°C derating: 2.5%/K) -25°C ... 70°C (> 60°C derating: 2.5%/K,
startup at -40°C type-tested)
-25°C ... 70°C (> 60°C derating: 2.5%/K,
startup at -40°C type-tested)
-25°C ... 70°C (> 55° C derating: 2.5%/K)
(type test) 1.5 kV AC (routine test) / 4 kV AC (type test) 1.5 kV AC (routine test) / 4 kV AC (type test) 2 kV AC (routine test) / 4 kV AC (type test)
Electromagnetic compatibility Conformance with EMC Directive 2004/108/EC Conformance with EMC Directive 2004/108/EC Conformance with EMC Directive 2004/108/EC Conformance with EMC Directive 2004/108/EC
Electrical safety IEC 60950-1/VDE 0805 (SELV) IEC 60950-1/VDE 0805 (SELV) IEC 60950-1/VDE 0805 (SELV) EN 60950-1/VDE 0805 (SELV)
0160 (PELV) EN 50178/VDE 0160 (PELV) EN 50178/VDE 0160 (PELV) EN 50178/VDE 0160 (PELV)
DIN VDE 0100-410 DIN VDE 0100-410 DIN VDE 0100-410, DIN VDE 0106-1010
UL approvals UL Listed UL 508, UL/C-UL Recognized UL 60950-1 UL Listed UL 508, UL/C-UL Recognized UL 60950-1 UL Listed UL 508, UL/C-UL Recognized UL 60950-1 UL/C-UL listed UL 508, UL/C-UL Recognized UL 60950
EN 61000-3-2 EN 61000-3-2 EN 61000-3-2
Ordering data Ordering data Ordering data
Type Order No. Pcs. /
Pkt. Type Order No. Pcs. /
Pkt. Type Order No. Pcs. /
Pkt.
TRIO-PS-2G/3AC/24DC/10 2903154 1TRIO-PS-2G/3AC/24DC/20 2903155 1TRIO-PS/3AC/24DC/40 2866404 1
171
PHOENIX CONTACT
Power supplies and UPS
Power supply units
H
W
D
new
H
W
D
new
H
W
D
Power supply,
3 AC, 24 V DC, 10 A
Power supply,
3 AC, 24 V DC, 20 A
Power supply,
3 AC, 24 V DC, 40 A

PE
L
N
Technical data Technical data
Input data
Nominal input voltage range 600 V DC 100 V AC ... 240 V AC 100 V AC ... 240 V AC 100 V AC ... 240 V AC 100 V AC ... 240 V AC
Input voltage range 450 V DC ... 840 V DC 85 V AC ... 264 V AC
Frequency range - / 0 Hz 45 Hz ... 65 Hz
Current consumption (nominal load) 0.9 A (600 VDC) 1.1 A (100 V AC) / 0.5 A (240 V AC) 1.7 A (120 V AC) / 0.9 A (230 V AC) 2.5 A (120 V AC) / 1.3 A (230 V AC) 4.6 A (120 V AC) / 2.4 A (230 V AC)
Inrush current limitation at 25°C (typ.) / I
2
t < 26 A / 0.8 A
2
s < 15 A / < 0.5 A
2
s
Mains buffering (I
N
, typ.) > 15 ms (600 VDC) > 26 ms (120 V AC) / > 100 ms (230 V AC) > 20 ms (120 V AC) / > 86 ms (230 V AC) > 15 ms (120 V AC) / > 16 ms (230 V AC) > 13 ms (120 V AC) /
Output data
Nominal output voltage 24 V DC ±1% 12 V DC ±1%
Setting range of the output voltage 22.5 V DC ... 29.5 V DC (U
IN
> 475VDC)
22.5 V DC ... 28 V DC (U
IN
≤ 475 V DC)
10 V DC ... 18 V DC (> 12 V constant capacity) 10 V DC ... 18 V DC (> 12 V constant capacity) 30 V DC ... 56 V DC (> 48 V constant capacity) 3
Output current 20 A 5 A
Can be connected in parallel / series Yes / Yes Yes / Yes
Max. power dissipation (no load / nominal load) 3.8 W / 45 W 0.9 W / 11 W
Efficiency (typ.) > 91% (for 600 V DC and nominal values) > 83% (for 230 V AC and nominal values) > 86% (for 230 V AC and nominal values
Residual ripple < 40 mV
PP
< 20 mV
PP
Signaling
Signaling DC OK LED LED
General data
Weight / Dimensions W x H x D 2 kg / 115 x 130 x 152.5 mm 0.5 kg / 32 x 130 x 115 mm 0.6 kg / 40 x 130 x 115 mm 1.4 kg / 60 x 130 x
Spacing when mounting Alignable: horizontally 0 mm, vertically 50 mm Alignable: horizontally 0 mm, vertically 50 mm Alignable: hor
Connection method Screw connection Screw connection
Input connection data (solid / stranded / AWG) 0.2 - 2.5 mm² / 0.2 - 2.5 mm² / 24 - 14 0.2 - 2.5 mm² / 0.2 - 2.5 mm² / 24 - 14 0.2
Output connection data (solid / stranded / AWG) 0.5 - 6 mm² / 0.5 - 4 mm² / 12 - 10 0.2 - 2.5 mm² / 0.2 - 2.5 mm² / 24 - 14 0.2 -
Degree of protection / Protection class IP20 / I IP20 / I
MTBF (IEC 61709, SN 29500) > 701000 h (40°C) > 1853000 h (40°C)
Ambient temperature (operation) -25°C ... 70°C (> 55° C derating: 2.5%/K) -25°C ... 70°C (> 55° C derating: 2.5%/K) -25°C ... 70°C
Standards/regulations
Insulation voltage input/output 2 kV AC (routine test) / 4 kV AC (type test) 2 kV AC (routine test) / 4 kV AC (type test) 2 kV AC
Electromagnetic compatibility Conformance with EMC Directive 2004/108/EC Conformance with EMC Directive 2004/108/EC Conformance wi
Electrical safety EN 60950-1/VDE 0805 (SELV) EN 60950-1/VDE 0805 (SELV) EN 60950-1/VDE 0805 (SELV) EN 60950-1/VDE 0805 (SELV) EN 609
Electronic equipm. for electrical power installations EN 50178/VDE 0160 (PELV) EN 50178/VDE 0160 (PELV) EN 50178/VDE 0160 (PELV) EN
Safe isolation DIN VDE 0100-410, DIN VDE 0106-1010 DIN VDE 0100-410, DIN VDE 0106-1010 DIN VDE 0100-410, DIN VDE 0106-1010 DIN VDE
UL approvals UL/C-UL listed UL 508, UL/C-UL Recognized UL 60950 UL/C-UL listed UL 508, UL/C-UL Recognized UL 60950 UL/C-UL listed
Limitation of harmonic line currents EN 61000-3-2 EN 61000-3-2
Ordering data Ordering data
Description Type Order No. Pcs. /
Pkt. Type Order No. Pcs. /
Pkt.
Power supply, primary-switched
TRIO-PS/600DC/24DC/20 2866530 1TRIO-PS/1AC/12DC/ 5 2866475 1
172
PHOENIX CONTACT
TRIO POWER, 1 AC
– Robust design and wide temperature
range from -25°C to +70°C
– Third negative terminal block for
grounding on the secondary side
– Maximum availability thanks to high MTBF
(mean time between failure)
TRIO POWER, 600 V DC, 24 V DC
– Connection to 600 V DC intermediate
circuits of frequency inverters
TRIO POWER power supplies –
robust standard functionality
Power supplies and UPS
Power supply units
Power supply,
600 V DC, 24 V DC, 20 A
Power supply,
1 AC, 12 V DC, 5 A
H
W
D
H
W
D

L
N
L
N
PE
active
PFC
L
N
PE
active
PFC
For further information and full technical data, visit phoenixcontact.net/products
Technical data Technical data Technical data
Nominal input voltage range 600 V DC 100 V AC ... 240 V AC 100 V AC ... 240 V AC 100 V AC ... 240 V AC 100 V AC ... 240 V AC
85 V AC ... 264 V AC 85 V AC ... 264 V AC 85 V AC ... 264 V AC
45 Hz ... 65 Hz 45 Hz ... 65 Hz 45 Hz ... 65 Hz
DC) 1.1 A (100 V AC) / 0.5 A (240 V AC) 1.7 A (120 V AC) / 0.9 A (230 V AC) 2.5 A (120 V AC) / 1.3 A (230 V AC) 4.6 A (120 V AC) / 2.4 A (230 V AC)
< 15 A / < 1.1 A
2
s < 15 A / < 0.7 A
2
s < 15 A / < 1.4 A
2
s
DC) > 26 ms (120 V AC) / > 100 ms (230 V AC) > 20 ms (120 V AC) / > 86 ms (230 V AC) > 15 ms (120 V AC) / > 16 ms (230 V AC) > 13 ms (120 V AC) / > 18 ms (230 V AC)
12VDC ±1% 48 V DC ±1% 48VDC ±1%
10 V DC ... 18 V DC (> 12 V constant capacity) 10 V DC ... 18 V DC (> 12 V constant capacity) 30 V DC ... 56 V DC (> 48 V constant capacity) 30 V DC ... 56 V DC (> 48 V constant capacity)
10 A 5 A 10 A
Yes / Yes Yes / Yes Yes / Yes
1.1 W / 18 W 7 W / 28 W 8 W / 49 W
Efficiency (typ.) > 91% (for 600 V DC and nominal values) > 83% (for 230 V AC and nominal values) > 86% (for 230 V AC and nominal values) > 89% (for 230 V AC and nominal values) > 91% (for 230 V AC and nominal values)
< 20 mV
PP
< 50 mV
PP
< 50 mV
PP
LED LED LED
Weight / Dimensions W x H x D 2 kg / 115 x 130 x 152.5 mm 0.5 kg / 32 x 130 x 115 mm 0.6 kg / 40 x 130 x 115 mm 1.4 kg / 60 x 130 x 152.5 mm 1.9 kg / 115 x 130 x 152.5 mm
mm Alignable: horizontally 0 mm, vertically 50 mm Alignable: horizontally 0 mm, vertically 50 mm Alignable: horizontally 0 mm, vertically 50 mm Alignable: horizontally 0 mm, vertically 50 mm
Screw connection Screw connection Screw connection
Input connection data (solid / stranded / AWG) 0.2 - 2.5 mm² / 0.2 - 2.5 mm² / 24 - 14 0.2 - 2.5 mm² / 0.2 - 2.5 mm² / 24 - 14 0.2 - 2.5 mm² / 0.2 - 2.5 mm² / 24 - 14 0.2 - 2.5 mm² / 0.2 - 2.5 mm² / 24 - 14 0.2 - 2.5 mm² / 0.2 - 2.5 mm² / 24 - 14
Output connection data (solid / stranded / AWG) 0.5 - 6 mm² / 0.5 - 4 mm² / 12 - 10 0.2 - 2.5 mm² / 0.2 - 2.5 mm² / 24 - 14 0.2 - 2.5 mm² / 0.2 - 2.5 mm² / 24 - 14 0.2 - 2.5 mm² / 0.2 - 2.5 mm² / 24 - 14 0.5 - 6 mm² / 0.5 - 4 mm² / 20 - 10
IP20 / I IP20 / I IP20 / I
> 1871000 h (40°C) > 1337000 h (40°C) > 1168000 h (40°C)
ng: 2.5%/K) -25°C ... 70°C (> 55° C derating: 2.5%/K) -25°C ... 70°C (> 55° C derating: 2.5%/K) -25°C ... 70°C (> 55° C derating: 2.5%/K) -25°C ... 70°C (> 55° C derating: 2.5%/K)
ype test) 2 kV AC (routine test) / 4 kV AC (type test) 2 kV AC (routine test) / 4 kV AC (type test) 2 kV AC (routine test) / 4 kV AC (type test) 2 kV AC (routine test) / 4 kV AC (type test)
Electromagnetic compatibility Conformance with EMC Directive 2004/108/EC Conformance with EMC Directive 2004/108/EC Conformance with EMC Directive 2004/108/EC Conformance with EMC Directive 2004/108/EC Conformance with EMC Directive 2004/108/EC
Electrical safety EN 60950-1/VDE 0805 (SELV) EN 60950-1/VDE 0805 (SELV) EN 60950-1/VDE 0805 (SELV) EN 60950-1/VDE 0805 (SELV) EN 60950-1/VDE 0805 (SELV)
Electronic equipm. for electrical power installations EN 50178/VDE 0160 (PELV) EN 50178/VDE 0160 (PELV) EN 50178/VDE 0160 (PELV) EN 50178/VDE 0160 (PELV) EN 50178/VDE 0160 (PELV)
10, DIN VDE 0106-1010 DIN VDE 0100-410, DIN VDE 0106-1010 DIN VDE 0100-410, DIN VDE 0106-1010 DIN VDE 0100-410, DIN VDE 0106-1010
C-UL listed UL 508, UL/C-UL Recognized UL 60950 UL/C-UL listed UL 508, UL/C-UL Recognized UL 60950 UL/C-UL listed UL 508, UL/C-UL Recognized UL 60950 UL Listed UL 508, UL/C-UL Recognized UL 60950
EN 61000-3-2 EN 61000-3-2 EN 61000-3-2
Ordering data Ordering data Ordering data
Type Order No. Pcs. /
Pkt. Type Order No. Pcs. /
Pkt. Type Order No. Pcs. /
Pkt.
TRIO-PS/1AC/12DC/10 2866488 1TRIO-PS/1AC/48DC/ 5 2866491 1TRIO-PS/1AC/48DC/10 2866501 1
173
PHOENIX CONTACT
Power supplies and UPS
Power supply units
H
W
D
Power supply,
1 AC, 12 V DC, 10 A
Power supply,
1 AC, 48 V DC, 5 A
Power supply,
1 AC, 48 V DC, 10 A
H
W
D
H
W
D

+
-
L
N
N
L
+
+
–
–
Technical data Technical data
Input data
Nominal input voltage range 100 V AC ... 240 V AC 100 V AC ... 240 V AC 100 V AC ... 240 V AC 100 V AC ... 240 V AC 100 V AC ... 240 V AC
Input voltage range 85 V AC ... 264 V AC 85 V AC ... 264 V AC
Frequency range 45 Hz ... 65 Hz 45 Hz ... 65 Hz
Current consumption (nominal load) 0.5 A (120 V AC) / 0.3 A (230 V AC) 1 A (120 V AC) / 0.6 A (230 V AC) 1.7 A (120 V AC) / 1 A (230 V AC) 1.4
Inrush current limitation at 25°C (typ.) / I
2
t < 20 A / < 0.4 A
2
s < 30 A / < 0.5 A
2
s
Mains buffering (I
N
, typ.) > 25 ms (120 V AC) / > 115 ms (230 V AC) > 20 ms (120 V AC) / > 85 ms (230 V AC) > 20 ms (120 V AC) / > 100 ms (230 V AC) > 20 ms (120 V
Output data
Nominal output voltage 24 V DC ±1% 24 V DC ±1%
Output current 1.25 A 2.5 A
Can be connected in parallel / series Yes, with redundancy module / Yes Yes, with redundancy module / Yes Yes, with redundancy mod
Max. power dissipation (no load / nominal load) < 0.3 W / < 5 W < 0.3 W / < 7 W
Efficiency (typ.) > 88% (for 230 V AC and nominal values) > 90% (for 230 V AC and nominal values) > 90% (for 230 V AC and nominal values
Residual ripple < 60 mV
PP
< 30 mV
PP
Signaling
Signaling DC OK LED LED
General data
Weight / Dimensions W x H x D 0.15 kg / 22.5 x 90 x 84 mm 0.2 kg / 35 x 90 x 84 mm 0.34 kg / 55 x 90 x 84 mm 0.5 kg / 37 x 130 x 12
Spacing when mounting Alignable: 0 mm horizontally, 30 mm vertically Alignable: 0 mm horizontally, 30 mm vertically Alignable: 0 m
Connection method Screw connection Screw connection
Connection data solid / stranded / AWG 0.2 - 2.5 mm² / 0.2 - 2.5 mm² / 24 - 14 0.2 - 2.5 mm² / 0.2 - 2.5 mm² / 24 - 14 0.2 - 2.5 m
Degree of protection / Protection class IP20 / II IP20 / II
MTBF (IEC 61709, SN 29500) > 1158000 h (40°C) > 785000 h (40°C)
Ambient temperature (operation) -25°C ... 70°C (> 55° C derating: 2.5%/K) -25°C ... 70°C (> 55° C derating: 2.5%/K) -25°C ... 70°C
Standards/regulations
Insulation voltage input/output 3 kV AC (routine test) / 4 kV AC (type test) 3 kV AC (routine test) / 4 kV AC (type test) 3 kV AC
Electromagnetic compatibility Conformance with EMC Directive 2004/108/EC Conformance with EMC Directive 2004/108/EC Conformance wi
Electrical safety IEC 60950-1/VDE 0805 (SELV) IEC 60950-1/VDE 0805 (SELV) IEC 60950-1/VDE 0805 (SELV) EN 60950-1/VDE 0805 (SELV) EN
Electronic equipm. for electrical power installations EN 50178/VDE 0160 (PELV) EN 50178/VDE 0160 (PELV) EN 50178/VDE 0160 (PELV) EN
Safe isolation DIN VDE 0100-410 DIN VDE 0100-410
UL approvals UL/C-UL listed UL 508, UL/C-UL Recognized UL 60950,
NEC Class 2 as per UL 1310
UL Listed UL 508, UL/C-UL Recognized UL 60950,
NEC Class 2 as per UL 1310
Limitation of harmonic line currents EN 61000-3-2 EN 61000-3-2
Ordering data Ordering data
Description Type Order No. Pcs. /
Pkt. Type Order No. Pcs. /
Pkt.
Power supply, primary-switched
UNO-PS/1AC/24DC/ 30W 2902991 1UNO-PS/1AC/24DC/ 60W 2902992 1
174
PHOENIX CONTACT
UNO POWER, 1 AC, 12 V DC and
24 V DC
– The wide range of products covers all
common voltage levels
– Maximum energy efficiency: save energy
thanks to high efficiency and extremely
low idling losses
– Save space in the control cabinet thanks
to extremely high power density
– Housing height of 84mm, tailored to all
popular 120mm control boxes
– Wide temperature range from -25°C to
+70°C
UNO POWER power supplies –
compact with basic functionality
Power supplies and UPS
Power supply units
Power supply,
1 AC, 24 DC, 30 W
NEC Class 2
Power supply,
1 AC, 24 DC, 60 W
NEC Class 2
H
W
D
H
W
D

N
L
+
+
–
–
+
-
L
N
L
N
active
PFC
PE
For further information and full technical data, visit phoenixcontact.net/products
Technical data Technical data Technical data
Nominal input voltage range 100 V AC ... 240 V AC 100 V AC ... 240 V AC 100 V AC ... 240 V AC 100 V AC ... 240 V AC 100 V AC ... 240 V AC
85 V AC ... 264 V AC 85 V AC ... 264 V AC 85 V AC ... 264 V AC
45 Hz ... 65 Hz 45 Hz ... 65 Hz 45 Hz ... 65 Hz
Current consumption (nominal load) 0.5 A (120 V AC) / 0.3 A (230 V AC) 1 A (120 V AC) / 0.6 A (230 V AC) 1.7 A (120 V AC) / 1 A (230 V AC) 1.4 A (120 V AC) / 0.8 A (230 V AC) 2.3 A (120 V AC) / 1.2 A (230 V AC)
< 40 A / < 1.5 A
2
s < 50 A / < 0.8 A
2
s < 80 A / < 2 A
2
s
, typ.) > 25 ms (120 V AC) / > 115 ms (230 V AC) > 20 ms (120 V AC) / > 85 ms (230 V AC) > 20 ms (120 V AC) / > 100 ms (230 V AC) > 20 ms (120 V AC) / > 20 ms (230 V AC) > 10 ms (120 V AC) / > 10 ms (230 V AC)
24VDC ±1% 24 V DC ±1% 24VDC ±1%
4.2 A 6.25 A 10 A
Can be connected in parallel / series Yes, with redundancy module / Yes Yes, with redundancy module / Yes Yes, with redundancy module / Yes Yes, with redundancy module / No Yes, with redundancy module / No
< 0.5 W / < 11 W < 1.2 W / < 9.7 W < 1.1 W / < 18.8 W
230 V AC and nominal values) > 90% (for 230 V AC and nominal values) > 94% (for 230 V AC and nominal values) > 93% (for 230 V AC and nominal values)
< 30 mV
PP
< 40 mV
PP
< 50 mV
PP
LED LED LED
Weight / Dimensions W x H x D 0.15 kg / 22.5 x 90 x 84 mm 0.2 kg / 35 x 90 x 84 mm 0.34 kg / 55 x 90 x 84 mm 0.5 kg / 37 x 130 x 125 mm 0.66 kg / 45 x 130 x 125 mm
Spacing when mounting Alignable: 0 mm horizontally, 30 mm vertically Alignable: 0 mm horizontally, 30 mm vertically Alignable: 0 mm horizontally, 30 mm vertically Alignable: 0 mm horizontally, 30 mm vertically Alignable: 0 mm horizontally, 30 mm vertically
Screw connection Screw connection Screw connection
Connection data solid / stranded / AWG 0.2 - 2.5 mm² / 0.2 - 2.5 mm² / 24 - 14 0.2 - 2.5 mm² / 0.2 - 2.5 mm² / 24 - 14 0.2 - 2.5 mm² / 0.2 - 2.5 mm² / 24 - 14 0.2 - 2.5 mm² / 0.2 - 2.5 mm² / 24 - 14 0.2 - 2.5 mm² / 0.2 - 2.5 mm² / 24 - 14
IP20 / II IP20 / II IP20 / I
> 738000 h (40°C) > 868000 h (40°C) > 562000 h (40°C)
ng: 2.5%/K) -25°C ... 70°C (> 55° C derating: 2.5%/K) -25°C ... 70°C (> 55° C derating: 2.5%/K) -25°C ... 70°C (> 55°C derating: 2.5%/K) -25°C ... 70°C (> 55°C derating: 2.5%/K)
ype test) 3 kV AC (routine test) / 4 kV AC (type test) 3 kV AC (routine test) / 4 kV AC (type test) 3 kV AC (routine test) / 4 kV AC (type test) 3 kV AC (routine test) / 4 kV AC (type test)
Electromagnetic compatibility Conformance with EMC Directive 2004/108/EC Conformance with EMC Directive 2004/108/EC Conformance with EMC Directive 2004/108/EC Conformance with EMC Directive 2004/108/EC Conformance with EMC Directive 2004/108/EC
Electrical safety IEC 60950-1/VDE 0805 (SELV) IEC 60950-1/VDE 0805 (SELV) IEC 60950-1/VDE 0805 (SELV) EN 60950-1/VDE 0805 (SELV) EN 60950-1/VDE 0805 (SELV)
Electronic equipm. for electrical power installations EN 50178/VDE 0160 (PELV) EN 50178/VDE 0160 (PELV) EN 50178/VDE 0160 (PELV) EN 50178/VDE 0160 (PELV) EN 50178/VDE 0160 (PELV)
DIN VDE 0100-410 DIN VDE 0100-410 DIN VDE 0100-410
UL Listed UL 508, UL/C-UL Recognized UL 60950 UL Listed UL 508, UL/C-UL Recognized UL 60950 UL Listed UL 508, UL/C-UL Recognized UL 60950
EN 61000-3-2 EN 61000-3-2 EN 61000-3-2
Ordering data Ordering data Ordering data
Type Order No. Pcs. /
Pkt. Type Order No. Pcs. /
Pkt. Type Order No. Pcs. /
Pkt.
UNO-PS/1AC/24DC/100W 2902993 1UNO-PS/1AC/24DC/150W 2904376 1UNO-PS/1AC/24DC/240W 2904372 1
175
PHOENIX CONTACT
Power supplies and UPS
Power supply units
H
W
D
new
Power supply,
1 AC, 24 DC, 100 W
Power supply,
1 AC, 24 DC, 150 W
Power supply,
1 AC, 24 DC, 240 W
H
W
D
H
W
D
new

N
L
+
+
–
–
L2/N
L1/L
+
+
–
–
Technical data Technical data
Input data
Nominal input voltage range 100 V AC ... 240 V AC 2x 400 V AC ... 500 V AC 100 V AC ... 240 V AC 100 V AC ... 240 V AC 100 V AC ... 240 V AC
Input voltage range 85 V AC ... 264 V AC 2x 264 V AC ... 575 V AC 85 V AC ... 264 V AC 85 V AC ... 264 V AC 85 V AC ... 264 V AC
Frequency range 45 Hz ... 65 Hz 45 Hz ... 65 Hz
Current consumption (nominal load) 1.5 A (120 V AC) / 1 A (230 V AC) 0.6 A (400 V AC) / 0.5 A (500 V AC) 0.5 A (120 V AC) / 0.3 A (230 V AC) 1
Inrush current limitation at 25°C (typ.) / I
2
t < 40 A / < 1.5 A
2
s < 30 A / < 0.5 A
2
s
Mains buffering (I
N
, typ.) > 25 ms (120 V AC) / > 100 ms (230 V AC) > 65 ms (400 V AC) / > 100 ms (500 V AC) > 20 ms (120 V AC) / > 120 ms (230 V AC) > 20 ms (120
Output data
Nominal output voltage 24 V DC ±1% 24 V DC ±1%
Output current 3.75 A 3.75 A / 3.38 A
Can be connected in parallel / series No / No No / No
Max. power dissipation (no load / nominal load) < 0.5 W / < 12 W < 0.7 W / < 12 W
Efficiency (typ.) > 88.5% (for 230 V AC and nominal values) > 89.5%
Residual ripple < 45 mV
PP
< 50 mV
PP
Signaling
Signaling DC OK LED LED
General data
Weight / Dimensions W x H x D 0.34 kg / 55 x 90 x 84 mm 0.32 kg / 55 x 90 x 84 mm 0.15 kg / 22.5 x 90 x 84 mm 0.2 kg / 35 x 90 x 84
Spacing when mounting Alignable: 0 mm horizontally, 30 mm vertically Alignable: 0 mm horizontally, 30 mm vertically Alignable: 0 m
Connection method Screw connection Screw connection
Connection data solid / stranded / AWG 0.2 - 2.5 mm² / 0.2 - 2.5 mm² / 24 - 14 0.2 - 2.5 mm² / 0.2 - 2.5 mm² / 24 - 14 0.2 - 2.5 m
Degree of protection / Protection class IP20 / II IP20 / II
MTBF (IEC 61709, SN 29500) > 1159000 h (40°C) > 828000 h (40°C)
Ambient temperature (operation) -25°C ... 70°C (> 55° C derating: 2.5%/K) -25°C ... 70°C (> 55° C derating: 2.5%/K) -25°C ... 70°C
Standards/regulations
Insulation voltage input/output 3 kV AC (routine test) / 4 kV AC (type test) 3 kV AC (routine test) / 4 kV AC (type test) 3 kV AC
Electromagnetic compatibility Conformance with EMC Directive 2004/108/EC Conformance with EMC Directive 2004/108/EC Conformance wi
Electrical safety IEC 60950-1/VDE 0805 (SELV) IEC 60950-1/VDE 0805 (SELV) IEC 60950-1/VDE 0805 (SELV) IEC 60950-1/VDE 0805 (SELV) IE
Electronic equipm. for electrical power installations EN 50178/VDE 0160 (PELV) EN 50178/VDE 0160 (PELV) EN 50178/VDE 0160 (PELV) EN
Safe isolation DIN VDE 0100-410 DIN VDE 0100-410
UL approvals UL/C-UL listed UL 508, UL/C-UL Recognized UL 60950,
NEC Class 2 as per UL 1310
UL/C-UL listed UL 508, UL/C-UL Recognized UL 60950,
NEC Class 2 as per UL 1310
Limitation of harmonic line currents EN 61000-3-2 EN 61000-3-2
Ordering data Ordering data
Description Type Order No. Pcs. /
Pkt. Type Order No. Pcs. /
Pkt.
Power supply, primary-switched
UNO-PS/1AC/24DC/90W/C2LPS 2902994 1UNO-PS/2AC/24DC/90W/C2LPS 2904371 1
176
PHOENIX CONTACT
UNO POWER, 1 AC, 5 V DC,
12 V DC, and 24 V DC
– The wide range of products covers all
common voltage levels
– Maximum energy efficiency: save energy
thanks to high efficiency and extremely
low idling losses
– Save space in the control cabinet thanks
to extremely high power density
– Housing height of 84mm, tailored to all
popular 120mm control boxes
– Wide temperature range from -25°C to
+70°C
UNO POWER, NEC Class 2
Output power limited to 100 W
– Specifically for applications that require
certification according to UL 1310/508
Listed Class 2
UNO POWER power supplies –
compact with basic functionality
Power supplies and UPS
Power supply units
Power supply,
1 AC, 24 DC, 90 W
NEC Class 2
Power supply,
2 AC, 24 DC, 90 W
NEC Class 2
H
W
D
H
W
D

+
-
L
N
N
L
+
+
–
–
N
L
+
+
–
–
For further information and full technical data, visit phoenixcontact.net/products
Technical data Technical data Technical data
Nominal input voltage range 100 V AC ... 240 V AC 2x 400 V AC ... 500 V AC 100 V AC ... 240 V AC 100 V AC ... 240 V AC 100 V AC ... 240 V AC
Input voltage range 85 V AC ... 264 V AC 2x 264 V AC ... 575 V AC 85 V AC ... 264 V AC 85 V AC ... 264 V AC 85 V AC ... 264 V AC
45 Hz ... 65 Hz 45 Hz ... 65 Hz 45 Hz ... 65 Hz
Current consumption (nominal load) 1.5 A (120 V AC) / 1 A (230 V AC) 0.6 A (400 V AC) / 0.5 A (500 V AC) 0.5 A (120 V AC) / 0.3 A (230 V AC) 1 A (120 V AC) / 0.6 A (230 V AC) 1.7 A (120 V AC) / 1 A (230 V AC)
< 25 A / < 0.3 A
2
s < 30 A / < 0.5 A
2
s < 30 A / < 1.5 A
2
s
, typ.) > 25 ms (120 V AC) / > 100 ms (230 V AC) > 65 ms (400 V AC) / > 100 ms (500 V AC) > 20 ms (120 V AC) / > 120 ms (230 V AC) > 20 ms (120 V AC) / > 90 ms (230 V AC) > 20 ms (120 V AC) / > 85 ms (230 V AC)
12VDC ±1% 12 V DC ±1% 12VDC ±1%
2.5 A 4.6 A 8.3 A
Yes, with redundancy module / Yes Yes, with redundancy module / Yes Yes, with redundancy module / Yes
< 0.3 W / < 4.6 W < 0.3 W / < 8 W < 0.4 W / < 12 W
> 87% (for 230 V AC and nominal values) > 89% (for 230 V AC and nominal values) > 89.5%
< 30 mV
PP
< 30 mV
PP
< 75 mV
PP
LED LED LED
Weight / Dimensions W x H x D 0.34 kg / 55 x 90 x 84 mm 0.32 kg / 55 x 90 x 84 mm 0.15 kg / 22.5 x 90 x 84 mm 0.2 kg / 35 x 90 x 84 mm 0.34 kg / 55 x 90 x 84 mm
Spacing when mounting Alignable: 0 mm horizontally, 30 mm vertically Alignable: 0 mm horizontally, 30 mm vertically Alignable: 0 mm horizontally, 30 mm vertically Alignable: 0 mm horizontally, 30 mm vertically Alignable: 0 mm horizontally, 30 mm vertically
Screw connection Screw connection Screw connection
Connection data solid / stranded / AWG 0.2 - 2.5 mm² / 0.2 - 2.5 mm² / 24 - 14 0.2 - 2.5 mm² / 0.2 - 2.5 mm² / 24 - 14 0.2 - 2.5 mm² / 0.2 - 2.5 mm² / 24 - 14 0.2 - 2.5 mm² / 0.2 - 2.5 mm² / 24 - 14 0.2 - 2.5 mm² / 0.2 - 2.5 mm² / 24 - 14
IP20 / II IP20 / II IP20 / II
> 953000 h (40°C) > 865000 h (40°C) > 500000 h (40°C)
ng: 2.5%/K) -25°C ... 70°C (> 55° C derating: 2.5%/K) -25°C ... 70°C (> 55° C derating: 2.5%/K) -25°C ... 70°C (> 55° C derating: 2.5%/K) -25°C ... 70°C (> 55° C derating: 2.5%/K)
ype test) 3 kV AC (routine test) / 4 kV AC (type test) 3 kV AC (routine test) / 4 kV AC (type test) 3 kV AC (routine test) / 4 kV AC (type test) 3 kV AC (routine test) / 4 kV AC (type test)
Electromagnetic compatibility Conformance with EMC Directive 2004/108/EC Conformance with EMC Directive 2004/108/EC Conformance with EMC Directive 2004/108/EC Conformance with EMC Directive 2004/108/EC Conformance with EMC Directive 2004/108/EC
Electrical safety IEC 60950-1/VDE 0805 (SELV) IEC 60950-1/VDE 0805 (SELV) IEC 60950-1/VDE 0805 (SELV) IEC 60950-1/VDE 0805 (SELV) IEC 60950-1/VDE 0805 (SELV)
Electronic equipm. for electrical power installations EN 50178/VDE 0160 (PELV) EN 50178/VDE 0160 (PELV) EN 50178/VDE 0160 (PELV) EN 50178/VDE 0160 (PELV) EN 50178/VDE 0160 (PELV)
DIN VDE 0100-410 DIN VDE 0100-410 DIN VDE 0100-410
UL Listed UL 508, UL/C-UL Recognized UL 60950 UL Listed UL 508, UL/C-UL Recognized UL 60950 UL/C-UL listed UL 508, UL/C-UL Recognized UL 60950
EN 61000-3-2 EN 61000-3-2 EN 61000-3-2
Ordering data Ordering data Ordering data
Type Order No. Pcs. /
Pkt. Type Order No. Pcs. /
Pkt. Type Order No. Pcs. /
Pkt.
UNO-PS/1AC/12DC/ 30W 2902998 1UNO-PS/1AC/12DC/ 55W 2902999 1UNO-PS/1AC/12DC/100W 2902997 1
177
PHOENIX CONTACT
Power supplies and UPS
Power supply units
H
W
D
Power supply,
1 AC, 12 DC, 30 W
Power supply,
1 AC, 12 DC, 55 W
Power supply,
1 AC, 12 DC, 100 W
H
W
D
H
W
D

+
-
L
N
N
L
+
+
–
–
Technical data Technical data
Input data
Nominal input voltage range 100 V AC ... 240 V AC 100 V AC ... 240 V AC 100 V AC ... 240 V AC 100 V AC ... 240 V AC 100 V AC ... 240 V AC
Input voltage range 85 V AC ... 264 V AC 85 V AC ... 264 V AC
Frequency range 45 Hz ... 65 Hz 45 Hz ... 65 Hz
Current consumption (nominal load) 0.5 A (120 V AC) / 0.3 A (230 V AC) 0.7 A (120 V AC) / 0.5 A (230 V AC) 0.6 A (120 V AC) / 0.4 A (230 V AC)
Inrush current limitation at 25°C (typ.) / I
2
t < 30 A / < 0.5 A
2
s < 30 A / < 0.5 A
2
s
Mains buffering (I
N
, typ.) > 35 ms (120 V AC) / > 135 ms (230 V AC) > 30 ms (120 V AC) / > 120 ms (230 V AC) > 20 ms (120 V AC) / > 115 ms (230 V AC) > 25 ms (120
Output data
Nominal output voltage 5 V DC ±1% 5VDC ±1%
Output current 5 A 8 A
Can be connected in parallel / series Yes, with redundancy module / Yes Yes, with redundancy module / Yes Yes, with redundancy mod
Max. power dissipation (no load / nominal load) < 0.3 W / < 4.5 W < 0.3 W / < 7.5 W
Efficiency (typ.) > 84% > 85% (for 230 V AC and nominal values) > 87%
Residual ripple < 40 mV
PP
< 100 mV
PP
Signaling
Signaling DC OK LED LED
General data
Weight / Dimensions W x H x D 0.15 kg / 22.5 x 90 x 84 mm 0.21 kg / 35 x 90 x 84 mm 0.15 kg / 22.5 x 90 x 84 mm 0.21 kg / 35 x 90 x
Spacing when mounting Alignable: 0 mm horizontally, 30 mm vertically Alignable: 0 mm horizontally, 30 mm vertically Alignable: 0 m
Connection method Screw connection Screw connection
Connection data solid / stranded / AWG 0.2 - 2.5 mm² / 0.2 - 2.5 mm² / 24 - 14 0.2 - 2.5 mm² / 0.2 - 2.5 mm² / 24 - 14 0.2 - 2.5 m
Degree of protection / Protection class IP20 / II IP20 / II
MTBF (IEC 61709, SN 29500) > 2174000 h (40°C) > 1201000 h (40°C)
Ambient temperature (operation) -25°C ... 70°C (> 55° C derating: 2.5%/K) -25°C ... 70°C (> 55° C derating: 2.5%/K) -25°C ... 70°C
Standards/regulations
Insulation voltage input/output 3 kV AC (routine test) / 4 kV AC (type test) 3 kV AC (routine test) / 4 kV AC (type test) 3 kV AC
Electromagnetic compatibility Conformance with EMC Directive 2004/108/EC Conformance with EMC Directive 2004/108/EC Conformance wi
Electrical safety IEC 60950-1/VDE 0805 (SELV) IEC 60950-1/VDE 0805 (SELV) IEC 60950-1/VDE 0805 (SELV) IEC 60950-1/VDE 0805 (SELV) IE
Electronic equipm. for electrical power installations EN 50178/VDE 0160 (PELV) EN 50178/VDE 0160 (PELV) EN 50178/VDE 0160 (PELV) EN
Safe isolation DIN VDE 0100-410 DIN VDE 0100-410
UL approvals UL/C-UL listed UL 508, UL/C-UL Recognized UL 60950 UL/C-UL listed UL 508, UL/C-UL Recognized UL 60950 UL/C-UL listed
Limitation of harmonic line currents EN 61000-3-2 EN 61000-3-2
Ordering data Ordering data
Description Type Order No. Pcs. /
Pkt. Type Order No. Pcs. /
Pkt.
Power supply, primary-switched
UNO-PS/1AC/ 5DC/ 25W 2904374 1UNO-PS/1AC/ 5DC/ 40W 2904375 1
178
PHOENIX CONTACT
UNO POWER, 1 AC, 15 V DC,
24 V DC, and 48 V DC
– The wide range of products covers all
common voltage levels
– Maximum energy efficiency: save energy
thanks to high efficiency and extremely
low idling losses
– Save space in the control cabinet thanks
to extremely high power density
– Housing height of 84mm, tailored to all
popular 120mm control boxes
– Wide temperature range from -25°C to
+70°C
UNO POWER power supplies –
compact with basic functionality
Power supplies and UPS
Power supply units
Power supply,
1 AC, 5 DC, 25 W
Power supply,
1 AC, 5 DC, 40 W
H
W
D
H
W
D

+
-
L
N
N
L
+
+
–
–
N
L
+
+
–
–
For further information and full technical data, visit phoenixcontact.net/products
Technical data Technical data Technical data
Nominal input voltage range 100 V AC ... 240 V AC 100 V AC ... 240 V AC 100 V AC ... 240 V AC 100 V AC ... 240 V AC 100 V AC ... 240 V AC
85 V AC ... 264 V AC 85 V AC ... 264 V AC 85 V AC ... 264 V AC
45 Hz ... 65 Hz 45 Hz ... 65 Hz 45 Hz ... 65 Hz
Current consumption (nominal load) 0.5 A (120 V AC) / 0.3 A (230 V AC) 0.7 A (120 V AC) / 0.5 A (230 V AC) 0.6 A (120 V AC) / 0.4 A (230 V AC) 1 A (120 V AC) / 0.6 A (230 V AC) 1.7 A (120 V AC) / 1 A (230 V AC)
< 30 A / < 0.3 A
2
s < 25 A / < 0.5 A
2
s < 30 A / < 1.5 A
2
s
, typ.) > 35 ms (120 V AC) / > 135 ms (230 V AC) > 30 ms (120 V AC) / > 120 ms (230 V AC) > 20 ms (120 V AC) / > 115 ms (230 V AC) > 25 ms (120 V AC) / > 90 ms (230 V AC) > 20 ms (120 V AC) / > 85 ms (230 V AC)
15VDC ±1% 15 V DC ±1% 15VDC ±1%
2 A 3.7 A 6.67 A
Can be connected in parallel / series Yes, with redundancy module / Yes Yes, with redundancy module / Yes Yes, with redundancy module / Yes Yes, with redundancy module / Yes Yes, with redundancy module / Yes
< 0.3 W / < 4.6 W < 0.3 W / < 7 W < 0.4 W / < 12 W
Efficiency (typ.) > 84% > 85% (for 230 V AC and nominal values) > 87% (for 230 V AC and nominal values) > 88.5% (for 230 V AC and nominal values) > 89% (for 230 V AC and nominal values)
< 40 mV
PP
< 50 mV
PP
< 75 mV
PP
LED LED LED
Weight / Dimensions W x H x D 0.15 kg / 22.5 x 90 x 84 mm 0.21 kg / 35 x 90 x 84 mm 0.15 kg / 22.5 x 90 x 84 mm 0.21 kg / 35 x 90 x 84 mm 0.34 kg / 55 x 90 x 84 mm
Spacing when mounting Alignable: 0 mm horizontally, 30 mm vertically Alignable: 0 mm horizontally, 30 mm vertically Alignable: 0 mm horizontally, 30 mm vertically Alignable: 0 mm horizontally, 30 mm vertically Alignable: 0 mm horizontally, 30 mm vertically
Screw connection Screw connection Screw connection
Connection data solid / stranded / AWG 0.2 - 2.5 mm² / 0.2 - 2.5 mm² / 24 - 14 0.2 - 2.5 mm² / 0.2 - 2.5 mm² / 24 - 14 0.2 - 2.5 mm² / 0.2 - 2.5 mm² / 24 - 14 0.2 - 2.5 mm² / 0.2 - 2.5 mm² / 24 - 14 0.2 - 2.5 mm² / 0.2 - 2.5 mm² / 24 - 14
IP20 / II IP20 / II IP20 / II
> 911000 h (40°C) > 647000 h (40°C) > 727000 h (40°C)
ng: 2.5%/K) -25°C ... 70°C (> 55° C derating: 2.5%/K) -25°C ... 70°C (> 55° C derating: 2.5%/K) -25°C ... 70°C (> 55° C derating: 2.5%/K) -25°C ... 70°C (> 55° C derating: 2.5%/K)
ype test) 3 kV AC (routine test) / 4 kV AC (type test) 3 kV AC (routine test) / 4 kV AC (type test) 3 kV AC (routine test) / 4 kV AC (type test) 3 kV AC (routine test) / 4 kV AC (type test)
Electromagnetic compatibility Conformance with EMC Directive 2004/108/EC Conformance with EMC Directive 2004/108/EC Conformance with EMC Directive 2004/108/EC Conformance with EMC Directive 2004/108/EC Conformance with EMC Directive 2004/108/EC
Electrical safety IEC 60950-1/VDE 0805 (SELV) IEC 60950-1/VDE 0805 (SELV) IEC 60950-1/VDE 0805 (SELV) IEC 60950-1/VDE 0805 (SELV) IEC 60950-1/VDE 0805 (SELV)
Electronic equipm. for electrical power installations EN 50178/VDE 0160 (PELV) EN 50178/VDE 0160 (PELV) EN 50178/VDE 0160 (PELV) EN 50178/VDE 0160 (PELV) EN 50178/VDE 0160 (PELV)
DIN VDE 0100-410 DIN VDE 0100-410 DIN VDE 0100-410
C-UL listed UL 508, UL/C-UL Recognized UL 60950 UL/C-UL listed UL 508, UL/C-UL Recognized UL 60950 UL/C-UL listed UL 508, UL/C-UL Recognized UL 60950 UL/C-UL listed UL 508, UL/C-UL Recognized UL 60950
EN 61000-3-2 EN 61000-3-2 EN 61000-3-2
Ordering data Ordering data Ordering data
Type Order No. Pcs. /
Pkt. Type Order No. Pcs. /
Pkt. Type Order No. Pcs. /
Pkt.
UNO-PS/1AC/15DC/30W 2903000 1UNO-PS/1AC/15DC/ 55W 2903001 1UNO-PS/1AC/15DC/100W 2903002 1
179
PHOENIX CONTACT
Power supplies and UPS
Power supply units
H
W
D
Power supply,
1 AC, 15 DC, 30 W
Power supply,
1 AC, 15 DC, 55 W
Power supply,
1 AC, 15 DC, 100 W
H
W
D
H
W
D

N
L
+
+
–
–
N
L
+
+
–
–
Technical data Technical data
Input data
Nominal input voltage range 100 V AC ... 240 V AC 100 V AC ... 240 V AC
Input voltage range 85 V AC ... 264 V AC 85 V AC ... 264 V AC
Frequency range 45 Hz ... 65 Hz 45 Hz ... 65 Hz
Current consumption (nominal load) 1 A (120 V AC) / 0.6 A (230 V AC) 1.7 A (120 V AC) / 1 A (230 V AC)
Inrush current limitation at 25°C (typ.) / I
2
t < 30 A / < 0.5 A
2
s < 40 A / < 1.4 A
2
s
Mains buffering (I
N
, typ.) > 20 ms (120 V AC) / > 90 ms (230 V AC) > 25 ms (120 V AC) / > 90 ms (230 V AC)
Output data
Nominal output voltage 48 V DC ±1% 48 V DC ±1%
Output current 1.25 A 2.1 A
Can be connected in parallel / series Yes, with redundancy module / Yes Yes, with redundancy module / Yes
Max. power dissipation (no load / nominal load) < 0.4 W / < 7 W < 0.4 W / < 11 W
Efficiency (typ.) > 90% (for 230 V AC and nominal values) > 90% (for 230 V AC and nominal values)
Residual ripple < 35 mV
PP
< 40 mV
PP
Signaling
Signaling DC OK LED LED
General data
Weight / Dimensions W x H x D 0.21 kg / 35 x 90 x 84 mm 0.34 kg / 55 x 90 x 84 mm
Spacing when mounting Alignable: 0 mm horizontally, 30 mm vertically Alignable: 0 mm horizontally, 30 mm vertically
Connection method Screw connection Screw connection
Connection data solid / stranded / AWG 0.2 - 2.5 mm² / 0.2 - 2.5 mm² / 24 - 14 0.2 - 2.5 mm² / 0.2 - 2.5 mm² / 24 - 14
Degree of protection / Protection class IP20 / II IP20 / II
MTBF (IEC 61709, SN 29500) > 1138000 h (40°C) > 1010000 h (40°C)
Ambient temperature (operation) -25°C ... 70°C (> 55° C derating: 2.5%/K) -25°C ... 70°C (> 55° C derating: 2.5%/K)
Standards/regulations
Insulation voltage input/output 3 kV AC (routine test) / 4 kV AC (type test) 3 kV AC (routine test) / 4 kV AC (type test)
Electromagnetic compatibility Conformance with EMC Directive 2004/108/EC Conformance with EMC Directive 2004/108/EC
Electrical safety IEC 60950-1/VDE 0805 (SELV) IEC 60950-1/VDE 0805 (SELV)
Electronic equipm. for electrical power installations EN 50178/VDE 0160 (PELV) EN 50178/VDE 0160 (PELV)
Safe isolation DIN VDE 0100-410 DIN VDE 0100-410
UL approvals UL/C-UL listed UL 508, UL/C-UL Recognized UL 60950 UL/C-UL listed UL 508, UL/C-UL Recognized UL 60950
Limitation of harmonic line currents EN 61000-3-2 EN 61000-3-2
Ordering data Ordering data
Description Type Order No. Pcs. /
Pkt. Type Order No. Pcs. /
Pkt.
Power supply, primary-switched
UNO-PS/1AC/48DC/ 60W 2902995 1UNO-PS/1AC/48DC/100W 2902996 1
180
PHOENIX CONTACT
UNO POWER, 1 AC, 24 V DC
– The wide range of products covers all
common voltage levels
– Maximum energy efficiency: save energy
thanks to high efficiency and extremely
low idling losses
– Save space in the control cabinet thanks
to extremely high power density
– Wide temperature range from -25°C to
+70°C
UNO POWER power supplies –
compact with basic functionality
Power supplies and UPS
Power supply units
Power supply,
1 AC, 48 DC, 60 W
Power supply,
1 AC, 48 DC, 100 W
H
W
D
H
W
D

For further information and full technical data, visit phoenixcontact.net/products
181
PHOENIX CONTACT
Power supplies and UPS
Power supply units

N (-)
NC
NC
L (+)
DC OK
L
N
NC
13
24V
24V
14
0V
0V
Ex:
Ex:
Technical data Technical data
Input data
Nominal input voltage range 100 V AC ... 240 V AC 100 V AC ... 240 V AC 100 V AC ... 240 V AC 100 V AC ... 240 V AC 100 V AC ... 240 V AC
Input voltage range 85 V AC ... 264 V AC / 90 V DC ... 350 V DC 85 V AC ... 264 V AC
Frequency range 45 Hz ... 65 Hz 45 Hz ... 65 Hz
Current consumption (nominal load) 0.65 A (120 V AC) / 0.25 A (230 V AC) 0.75 A (120 V AC) / 0.45 A (230 V AC) 0.7 A (120 V AC) / 0.4 A (230
Inrush current limitation at 25°C (typ.) / I
2
t < 15 A / 0.6 A
2
s < 15 A / 0.6 A
2
s
Mains buffering (I
N
, typ.) > 20 ms (120 V AC) / > 110 ms (230 V AC) > 35 ms (120 V AC) / > 150 ms (230 V AC) > 35 ms (120 V AC) / > 170 ms (230 V AC) > 20 ms (120
Output data
Nominal output voltage 24 V DC ±1% 24 V DC ±1%
Setting range of the output voltage 22.5 V DC ... 28.5 V DC (> 24 V constant capacity) -
Output current / POWER BOOST 1.3 A / 1.6 A 1.5 A / 2 A
Can be connected in parallel / series Yes / Yes Yes / No
Max. power dissipation (no load / nominal load) 0.9 W / 4.5 W 1.5 W / 6.5 W
Efficiency (typ.) > 85% (for 230 V AC and nominal values) > 84% (for 230 V AC and nominal values) > 88% (for 230 V AC and nominal values
Residual ripple < 20 mV
PP
< 40 mV
PP
Signaling
Signaling DC OK LED, active switching output LED, relay contact
General data
Weight / Dimensions W x H x D 0.2 kg / 22.5 x 99 x 107 mm 0.25 kg / 35 x 99 x 95 mm 0.25 kg / 45 x 99 x 107 mm 0.4 kg / 67.5 x 99 x
Spacing when mounting Alignable: horizontally 0 mm, vertically 50 mm Alignable: horizontally 0 mm, vertically 50 mm Alignable: hor
Connection method Plug-in screw connection Plug-in screw connection Plug-in screw connection Plug-in screw connection Plug-in screw
Connection data solid / stranded / AWG 0.2 - 2.5 mm² / 0.2 - 2.5 mm² / 24 - 12 0.2 - 2.5 mm² / 0.2 - 2.5 mm² / 24 - 12 0.2 - 2.5 m
Degree of protection / Protection class IP20 / II IP20 / II
MTBF (IEC 61709, SN 29500) > 1104000 h (40°C) > 2789000 h (40°C)
Ambient temperature (operation) -25°C ... 70°C (> 60°C derating: 2.5%/K) -25°C ... 70°C (> 60°C derating: 2.5%/K) -25°C ... 70°C (
Standards/regulations
Insulation voltage input/output 3 kV (routine test) / 4 kV (type test) 3 kV (routine test) / 4 kV (type test) 3 kV (routine test)
Electromagnetic compatibility Conformance with EMC Directive 2004/108/EC Conformance with EMC Directive 2004/108/EC Conformance wi
Electrical safety EN 60950-1/VDE 0805 (SELV) EN 60950-1/VDE 0805 (SELV) EN 60950-1/VDE 0805 (SELV) EN 60950-1/VDE 0805 (SELV) EN 609
Electronic equipm. for electrical power installations EN 50178/VDE 0160 (PELV) EN 50178/VDE 0160 (PELV) EN 50178/VDE 0160 (PELV) EN
Safe isolation DIN VDE 0100-410 DIN VDE 0100-410
UL approvals UL/C-UL listed UL 508, UL/C-UL Recognized UL 60950,
UL ANSI/ISA-12.12.01 Class I, Division 2, Groups A, B, C, D
(Hazardous Location), NEC Class 2 as per UL 1310
UL/C-UL listed UL 508, UL/C-UL Recognized UL 60950,
UL ANSI/ISA-12.12.01 Class I, Division 2, Groups A, B, C, D
(Hazardous Location)
Limitation of harmonic line currents EN 61000-3-2 EN 61000-3-2
Ordering data Ordering data
Description Type Order No. Pcs. /
Pkt. Type Order No. Pcs. /
Pkt.
Power supply, primary-switched
MINI-PS-100-240AC/24DC/1.3 2866446 1MINI-SYS-PS-100-240AC/24DC/1.5 2866983 1
Accessories Accessories
DIN rail connector (optional), for routing through the supply
voltage and data signal, two pieces are required per device
ME 17,5 TBUS 1,5/ 5-ST-3,81 GN 2709561 10
182
PHOENIX CONTACT
MINI POWER, 1 AC, 24 V DC
– Easy-to-maintain connection method
thanks to keyed COMBICON connector
– Remote monitoring of output voltage via
switching output
MINI POWER, NEC Class 2
– Output power limited to 100 W:
Specifically for applications that require
certification according to UL 1310/508
Listed Class 2
MINI POWER power supply units - for
measurement and control technology
Power supplies and UPS
Power supply units
Power supply,
1 AC, 24 V DC, 1.3 A
NEC Class 2
Power supply,
1 AC, 24 V DC, 1.5 A,
DIN rail connector optional
H
W
D
H
W
D

N (-)
NC
NC
L (+)
DC OK
L (+)
N (-)
DC OK
L (+)
N (-)
DC OK
For further information and full technical data, visit phoenixcontact.net/products
Ex:
Ex:
Ex:
Technical data Technical data Technical data
Nominal input voltage range 100 V AC ... 240 V AC 100 V AC ... 240 V AC 100 V AC ... 240 V AC 100 V AC ... 240 V AC 100 V AC ... 240 V AC
85 V AC ... 264 V AC / 90 V DC ... 350 V DC 85 V AC ... 264 V AC / 90 V DC ... 350 V DC 85 V AC ... 264 V AC / 90 V DC ... 350 V DC
45 Hz ... 65 Hz 45 Hz ... 65 Hz 45 Hz ... 65 Hz
Current consumption (nominal load) 0.65 A (120 V AC) / 0.25 A (230 V AC) 0.75 A (120 V AC) / 0.45 A (230 V AC) 0.7 A (120 V AC) / 0.4 A (230 V AC) 1.3 A (120 V AC) / 0.8 A (230 V AC) 1.3 A (120 V AC) / 0.8 A (230 V AC)
< 15 A / 4.1 A
2
s < 15 A / 2.1 A
2
s < 15 A / 2.1 A
2
s
, typ.) > 20 ms (120 V AC) / > 110 ms (230 V AC) > 35 ms (120 V AC) / > 150 ms (230 V AC) > 35 ms (120 V AC) / > 170 ms (230 V AC) > 20 ms (120 V AC) / > 100 ms (230 V AC) > 20 ms (120 V AC) / > 100 ms (230 V AC)
24VDC ±1% 24 V DC ±1% 24VDC ±1%
22.5 V DC ... 28.5 V DC (> 24 V constant capacity) 22.5 V DC ... 26 V DC (> 24 V constant capacity) 22.5 V DC ... 28.5 V DC (> 24 V constant capacity)
2 A / 2.9 A 3.8 A 4 A / 5 A
Yes / Yes Yes / Yes Yes / Yes
2 W / 7 W 2.5 W / 12 W 2.5 W / 12 W
230 V AC and nominal values) > 88% (for 230 V AC and nominal values) > 88% (for 230 V AC and nominal values) > 88% (for 230 V AC and nominal values)
< 20 mV
PP
< 40 mV
PP
< 20 mV
PP
LED, active switching output LED, active switching output LED, active switching output
/ 35 x 99 x 95 mm 0.25 kg / 45 x 99 x 107 mm 0.4 kg / 67.5 x 99 x 107 mm 0.4 kg / 67.5 x 99 x 107 mm
mm Alignable: horizontally 0 mm, vertically 50 mm Alignable: horizontally 0 mm, vertically 50 mm Alignable: horizontally 0 mm, vertically 50 mm Alignable: horizontally 0 mm, vertically 50 mm
Connection method Plug-in screw connection Plug-in screw connection Plug-in screw connection Plug-in screw connection Plug-in screw connection
Connection data solid / stranded / AWG 0.2 - 2.5 mm² / 0.2 - 2.5 mm² / 24 - 12 0.2 - 2.5 mm² / 0.2 - 2.5 mm² / 24 - 12 0.2 - 2.5 mm² / 0.2 - 2.5 mm² / 24 - 12 0.2 - 2.5 mm² / 0.2 - 2.5 mm² / 24 - 12 0.2 - 2.5 mm² / 0.2 - 2.5 mm² / 24 - 12
IP20 / II IP20 / II IP20 / II
> 507000 h (40°C) > 815000 h (40°C) > 815000 h (40°C)
ng: 2.5%/K) -25°C ... 70°C (> 60°C derating: 2.5%/K) -25°C ... 70°C (> 60°C derating: 2.5%/K) -25°C ... 70°C (> 60°C derating: 2.5%/K) -25°C ... 70°C (> 60°C derating: 2.5%/K)
st) 3 kV (routine test) / 4 kV (type test) 3 kV (routine test) / 4 kV (type test) 3 kV (routine test) / 3 kV (type test) 3 kV (routine test) / 3 kV (type test)
Electromagnetic compatibility Conformance with EMC Directive 2004/108/EC Conformance with EMC Directive 2004/108/EC Conformance with EMC Directive 2004/108/EC Conformance with EMC Directive 2004/108/EC Conformance with EMC Directive 2004/108/EC
Electrical safety EN 60950-1/VDE 0805 (SELV) EN 60950-1/VDE 0805 (SELV) EN 60950-1/VDE 0805 (SELV) EN 60950-1/VDE 0805 (SELV) EN 60950-1/VDE 0805 (SELV)
Electronic equipm. for electrical power installations EN 50178/VDE 0160 (PELV) EN 50178/VDE 0160 (PELV) EN 50178/VDE 0160 (PELV) EN 50178/VDE 0160 (PELV) EN 50178/VDE 0160 (PELV)
DIN VDE 0100-410 DIN VDE 0100-410 DIN VDE 0100-410
UL/C-UL listed UL 508, UL/C-UL Recognized UL 60950,
UL ANSI/ISA-12.12.01 Class I, Division 2, Groups A, B, C, D
(Hazardous Location), NEC Class 2 as per UL 1310
UL/C-UL listed UL 508, UL/C-UL Recognized UL 60950,
UL ANSI/ISA-12.12.01 Class I, Division 2, Groups A, B, C, D
(Hazardous Location), NEC Class 2 as per UL 1310
UL/C-UL listed UL 508, UL/C-UL Recognized UL 60950,
UL ANSI/ISA-12.12.01 Class I, Division 2, Groups A, B, C, D
(Hazardous Location)
EN 61000-3-2 EN 61000-3-2 EN 61000-3-2
Ordering data Ordering data Ordering data
Type Order No. Pcs. /
Pkt. Type Order No. Pcs. /
Pkt. Type Order No. Pcs. /
Pkt.
MINI-PS-100-240AC/24DC/2 2938730 1MINI-PS-100-240AC/24DC/C2LPS 2866336 1MINI-PS-100-240AC/24DC/4 2938837 1
Accessories Accessories Accessories
183
PHOENIX CONTACT
Power supplies and UPS
Power supply units
H
W
D
Power supply,
1 AC, 24 V DC, 2 A
NEC Class 2
Power supply,
1 AC, 24 V DC, 100 W
NEC Class 2
Power supply,
1 AC, 24 V DC, 4 A
H
W
D
H
W
D

N (-)
NC
NC
L (+)
N (-)
NC
NC
L (+)
Ex:
Ex:
Technical data Technical data
Input data
Nominal input voltage range 100 V AC ... 240 V AC 100 V AC ... 240 V AC 100 V AC ... 240 V AC 100 V AC ... 240 V AC 100 V AC ... 240 V AC
Input voltage range 85 V AC ... 264 V AC / 90 V DC ... 350 V DC 85 V AC ... 264 V AC / 90 V DC ... 350 V DC 85 V AC ... 264 V AC / 90 V DC ... 350 V DC 85 V
Frequency range 45 Hz ... 65 Hz 45 Hz ... 65 Hz
Current consumption (nominal load) 0.4 A (120 V AC) / 0.2 A (230 V AC) 0.4 A (120 V AC) / 0.2 A (230 V AC) 1.3 A (120 V AC) / 0.8 A (230 V AC)
Inrush current limitation at 25°C (typ.) / I
2
t < 15 A / 1.5 A
2
s < 15 A / 1.7 A
2
s
Mains buffering (I
N
, typ.) > 30 ms (120 V AC) / > 140 ms (230 V AC) > 20 ms (120 V AC) / > 120 ms (230 V AC) > 20 ms (120 V AC) / > 20 ms (230 V AC) > 30 ms (120 V
Output data
Nominal output voltage 5 V DC ±1% 12 V DC ±1%
Setting range of the output voltage 4.5 V DC ... 5.5 V DC (> 5 V constant capacity) 10 V DC ... 15 V DC (> 12 V constant capacity) 10 V DC .
Output current / POWER BOOST 3 A / 5 A 2 A / 2.3 A
Can be connected in parallel / series Yes / Yes Yes / Yes
Max. power dissipation (no load / nominal load) 1 W / 5 W < 1 W / < 7 W
Efficiency (typ.) > 73% (for 230 V AC and nominal values) > 86% (for 230 V AC and nominal values) > 88% (for 230 V AC and nominal values
Residual ripple < 40 mV
PP
< 20 mV
PP
Signaling
Signaling DC OK LED LED
General data
Weight / Dimensions W x H x D 0.17 kg / 22.5 x 99 x 107 mm 0.25 kg / 45 x 99 x 107 mm 0.4 kg / 67.5 x 99 x 107 mm 0.25 kg / 45 x 99
Spacing when mounting Alignable: horizontally 0 mm, vertically 50 mm Alignable: horizontally 0 mm, vertically 50 mm Alignable: hor
Connection method Plug-in screw connection Plug-in screw connection Plug-in screw connection Plug-in screw connection Plug-in screw
Connection data solid / stranded / AWG 0.2 - 2.5 mm² / 0.2 - 2.5 mm² / 24 - 12 0.2 - 2.5 mm² / 0.2 - 2.5 mm² / 24 - 12 0.2 - 2.5 m
Degree of protection / Protection class IP20 / II IP20 / II
MTBF (IEC 61709, SN 29500) > 766000 h (40°C) > 507000 h (40°C)
Ambient temperature (operation) -25°C ... 70°C (> 60°C derating: 2.5%/K) -25°C ... 70°C (> 60°C derating: 2.5%/K) -25°C ... 70°C (
Standards/regulations
Insulation voltage input/output 3 kV (routine test) / 4 kV (type test) 3 kV (routine test) / 4 kV (type test) 3 kV (routine test)
Electromagnetic compatibility Conformance with EMC Directive 2004/108/EC Conformance with EMC Directive 2004/108/EC Conformance wi
Electrical safety EN 60950-1/VDE 0805 (SELV) EN 60950-1/VDE 0805 (SELV) EN 60950-1/VDE 0805 (SELV) EN 60950-1/VDE 0805 (SELV) EN 609
Electronic equipm. for electrical power installations EN 50178/VDE 0160 (PELV) EN 50178/VDE 0160 (PELV) EN 50178/VDE 0160 (PELV) EN
Safe isolation DIN VDE 0100-410 DIN VDE 0100-410
UL approvals UL/C-UL listed UL 508, UL/C-UL Recognized UL 60950,
UL ANSI/ISA-12.12.01 Class I, Division 2, Groups A, B, C, D
(Hazardous Location)
UL/C-UL listed UL 508, UL/C-UL Recognized UL 60950,
UL ANSI/ISA-12.12.01 Class I, Division 2, Groups A, B, C, D
(Hazardous Location)
Limitation of harmonic line currents EN 61000-3-2 EN 61000-3-2
Ordering data Ordering data
Description Type Order No. Pcs. /
Pkt. Type Order No. Pcs. /
Pkt.
Power supply, primary-switched
MINI-PS-100-240AC/ 5DC/3 2938714 1MINI-PS-100-240AC/10-15DC/2 2938756 1
Accessories Accessories
DIN rail connector (optional), for routing through the supply
voltage and data signal, two pieces are required per device
184
PHOENIX CONTACT
MINI POWER, 1 AC, 5 to 15 V DC
– Easy-to-maintain connection method
thanks to keyed COMBICON connector
– Remote monitoring of output voltage via
switching output
MINI POWER, ±15 V DC
– For supplying operational amplifiers
MINI POWER EX
Corresponds to standard EN 60079-15
– Installation in a potentially explosive area
in which category 3G equipment is
required (zone 2).
MINI POWER power supply units - for
measurement and control technology
Power supplies and UPS
Power supply units
Power supply,
1 AC, 5 V DC, 3 A
Power supply,
1 AC, 10 - 15 V DC, 2 A
H
W
D
H
W
D

L (+)
N (-)
DC OK
NC
NC
L (+)
N (-)
OV
OV
L
N
NC
13
24V
24V
14
0V
0V
For further information and full technical data, visit phoenixcontact.net/products
Ex:
Ex:
Ex:
Technical data Technical data Technical data
Nominal input voltage range 100 V AC ... 240 V AC 100 V AC ... 240 V AC 100 V AC ... 240 V AC 100 V AC ... 240 V AC 100 V AC ... 240 V AC
Input voltage range 85 V AC ... 264 V AC / 90 V DC ... 350 V DC 85 V AC ... 264 V AC / 90 V DC ... 350 V DC 85 V AC ... 264 V AC / 90 V DC ... 350 V DC 85 V AC ... 264 V AC / 90 V DC ... 350 V DC 85 V AC ... 264 V AC / -
45 Hz ... 65 Hz 45 Hz ... 65 Hz 45 Hz ... 65 Hz
Current consumption (nominal load) 0.4 A (120 V AC) / 0.2 A (230 V AC) 0.4 A (120 V AC) / 0.2 A (230 V AC) 1.3 A (120 V AC) / 0.8 A (230 V AC) 0.6 A (120 V AC) / 0.4 A (230 V AC) 0.75 A (120 V AC) / 0.45 A (230 V AC)
< 15 A / 2.1 A
2
s < 35 A / 4 A
2
s < 15 A / 0.6 A
2
s
, typ.) > 30 ms (120 V AC) / > 140 ms (230 V AC) > 20 ms (120 V AC) / > 120 ms (230 V AC) > 20 ms (120 V AC) / > 20 ms (230 V AC) > 30 ms (120 V AC) / > 150 ms (230 V AC) > 35 ms (120 V AC) / > 150 ms (230 V AC)
12VDC ±1% ± 15 V DC ±1% 24VDC ±1%
Setting range of the output voltage 4.5 V DC ... 5.5 V DC (> 5 V constant capacity) 10 V DC ... 15 V DC (> 12 V constant capacity) 10 V DC ... 15 V DC (> 12 V constant capacity) - -
8 A / 6.6 A 1 A / 1.5 A 1.5 A / 2 A
Yes / Yes Yes / Yes Yes / Yes
< 2.5 W / < 12 W 2 W / 8 W 1.5 W / 6.5 W
230 V AC and nominal values) > 88% (for 230 V AC and nominal values) > 80% (for 230 V AC and nominal values) > 84% (for 230 V AC and nominal values)
< 40 mV
PP
< 30 mV
PP
< 40 mV
PP
LED, active switching output LED LED, relay contact
Weight / Dimensions W x H x D 0.17 kg / 22.5 x 99 x 107 mm 0.25 kg / 45 x 99 x 107 mm 0.4 kg / 67.5 x 99 x 107 mm 0.25 kg / 45 x 99 x 107 mm 0.25 kg / 35 x 99 x 95 mm
mm Alignable: horizontally 0 mm, vertically 50 mm Alignable: horizontally 0 mm, vertically 50 mm Alignable: horizontally 0 mm, vertically 50 mm Alignable: horizontally 0 mm, vertically 50 mm
Connection method Plug-in screw connection Plug-in screw connection Plug-in screw connection Plug-in screw connection Plug-in screw connection
Connection data solid / stranded / AWG 0.2 - 2.5 mm² / 0.2 - 2.5 mm² / 24 - 12 0.2 - 2.5 mm² / 0.2 - 2.5 mm² / 24 - 12 0.2 - 2.5 mm² / 0.2 - 2.5 mm² / 24 - 12 0.2 - 2.5 mm² / 0.2 - 2.5 mm² / 24 - 12 0.2 - 2.5 mm² / 0.2 - 2.5 mm² / 24 - 12
IP20 / II IP20 / II IP20 / II
> 984000 h (40°C) > 500000 h (40°C) > 2789000 h (40°C)
ng: 2.5%/K) -25°C ... 70°C (> 60°C derating: 2.5%/K) -25°C ... 70°C (> 60°C derating: 2.5%/K) -25°C ... 70°C (> 60°C derating: 2.5%/K) -25°C ... 70°C (> 60°C derating: 2.5%/K)
st) 3 kV (routine test) / 4 kV (type test) 3 kV (routine test) / 3 kV (type test) 3 kV (routine test) / 4 kV (type test) 3 kV AC (routine test) / 4 kV AC (type test)
Electromagnetic compatibility Conformance with EMC Directive 2004/108/EC Conformance with EMC Directive 2004/108/EC Conformance with EMC Directive 2004/108/EC Conformance with EMC Directive 2004/108/EC Conformance with EMC Directive 2004/108/EC
Electrical safety EN 60950-1/VDE 0805 (SELV) EN 60950-1/VDE 0805 (SELV) EN 60950-1/VDE 0805 (SELV) EN 60950-1/VDE 0805 (SELV) EN 60950-1/VDE 0805 (SELV)
Electronic equipm. for electrical power installations EN 50178/VDE 0160 (PELV) EN 50178/VDE 0160 (PELV) EN 50178/VDE 0160 (PELV) EN 50178/VDE 0160 (PELV) EN 50178/VDE 0160 (PELV)
DIN VDE 0100-410 DIN VDE 0100-410 DIN VDE 0100-410
UL/C-UL listed UL 508, UL/C-UL Recognized UL 60950,
UL ANSI/ISA-12.12.01 Class I, Division 2, Groups A, B, C, D
(Hazardous Location)
UL/C-UL listed UL 508, UL/C-UL Recognized UL 60950,
UL ANSI/ISA-12.12.01 Class I, Division 2, Groups A, B, C, D
(Hazardous Location), NEC Class 2 as per UL 1310
UL/C-UL listed UL 508, UL/C-UL Recognized UL 60950,
UL ANSI/ISA-12.12.01 Class I, Division 2, Groups A, B, C, D
(Hazardous Location)
EN 61000-3-2 EN 61000-3-2 EN 61000-3-2
Ordering data Ordering data Ordering data
Type Order No. Pcs. /
Pkt. Type Order No. Pcs. /
Pkt. Type Order No. Pcs. /
Pkt.
MINI-PS-100-240AC/10-15DC/8 2866297 1MINI-PS-100-240AC/2X15DC/1 2938743 1MINI-PS-100-240AC/24DC/1.5/EX 2866653 1
Accessories Accessories Accessories
ME 17,5 TBUS 1,5/ 5-ST-3,81 GN 2709561 10
185
PHOENIX CONTACT
Power supplies and UPS
Power supply units
H
W
D
Power supply,
1 AC, 10 - 15 V DC, 8 A
Power supply,
1 AC, ±15 V DC, 1 A
NEC Class 2
Power supply
1 AC, 24 DC, 1.5 A
DIN rail connector optional
H
W
D
H
W
D

+
-
L
N(-)
(+)
Ex:
Technical data
Input data
Nominal input voltage range 100 V AC ... 240 V AC 100 V AC ... 240 V AC 100 V AC ... 240 V AC 48 V AC
Input voltage range 85 V AC ... 264 V AC / 95 V DC ... 250 V DC 85 V AC ... 264 V AC / 95 V DC ... 250 V DC 85 V AC ... 264 V AC / 95 V DC ... 250 V DC 43 V
Frequency range 45 Hz ... 65 Hz / 0 Hz
Current consumption (nominal load) 0.28 A (120 V AC) / 0.13 A (230 V AC) 0.3 A (120 V AC) / 0.25 A (230 V AC) 0.3 A (120 V AC) / 0.2 A (230 V
Inrush current limitation at 25°C (typ.) / I
2
t < 15 A / < 0.1 A
2
s
Mains buffering (I
N
, typ.) > 15 ms (120 V AC) / > 90 ms (230 V AC) > 15 ms (120 V AC) / > 70 ms (230 V AC) > 15 ms (120 V AC) / > 70 ms (230 V AC) > 15 ms (48 V
Output data
Nominal output voltage 24 V DC ±1%
Output current 0.5 A
Can be connected in parallel / series Yes / Yes
Max. power dissipation (no load / nominal load) < 0.3 W / < 2.2 W
Efficiency (typ.) > 84% (for 230 V AC and nominal values) > 84% (for 230 V AC and nominal values) > 84% (for 230 V AC and nominal values
Residual ripple < 20 mV
PP
Signaling
Signaling DC OK LED
General data
Weight / Dimensions W x H x D 0.07 kg / 18 x 90 x 61 mm 0.11 kg /
Spacing when mounting Alignable: 0 mm horizontally, 30 mm vertically Alignable: 0 mm horizontally, 30 mm vertically Alignable: 0 m
Connection method Screw connection
Connection data solid / stranded / AWG 0.2 - 2.5 mm² / 0.2 - 2.5 mm² / 24 - 12 0.2 - 2.5 mm² / 0.2 - 2.5 mm² / 24 - 12 0.2 - 2.5 m
Degree of protection / Protection class IP20 / II
MTBF (IEC 61709, SN 29500) > 1567000 h (40°C)
Ambient temperature (operation) -25°C ... 70°C (> 55° C derating: 2.5%/K) -25°C ... 70°C (> 55° C derating: 2.5%/K) -25°C ... 70°C
Standards/regulations
Insulation voltage input/output 3.75 kV AC (routine test) / 4 kV AC (type test) 3.75 kV AC (routine test) / 4 kV AC (type test) 3.
Electromagnetic compatibility Conformance with EMC Directive 2004/108/EC Conformance with EMC Directive 2004/108/EC Conformance wi
Electrical safety IEC 60950-1/VDE 0805 (SELV) IEC 60950-1/VDE 0805 (SELV) IEC 60950-1/VDE 0805 (SELV) IEC 60950-1/VDE 0805 (SELV)
Electronic equipm. for electrical power installations EN 50178/VDE 0160 (PELV) EN 50178/VDE 0160 (PELV) EN 50178/VDE 0160 (PELV) EN
Safe isolation DIN VDE 0100-410, DIN VDE 0106-1010 DIN VDE 0100-4
Budgetary standard -
UL approvals UL/C-UL listed UL 508, UL/C-UL Recognized UL 60950,
UL ANSI/ISA-12.12.01 Class I, Division 2, Groups A, B, C, D
(Hazardous Location), NEC Class 2 as per UL 1310
Limitation of harmonic line currents EN 61000-3-2
Ordering data
Description Type Order No. Pcs. /
Pkt.
Power supply, primary-switched
STEP-PS/ 1AC/24DC/0.5 2868596 1
186
PHOENIX CONTACT
STEP POWER - power supply units
for distributor boards and flat control
panels
STEP POWER, 1 AC, 24 V DC
– Flexible assembly by simply snapping the
product onto the DIN rail or screwing it
onto an even surface
– Energy savings thanks to maximum
energy efficiency and incredibly low no-
load losses
– Wide temperature range from -25°C to
+70°C
– Reliable supply thanks to the high MTBF
(mean time between failure)
STEP POWER, 24 V DC, 0.5 A
– Slim design with an overall width of just
18 mm (1 pitch)
STEP POWER, 24 V DC, 0.75 A
– Meets standard EN 60335-1 for
household appliances, suitable for
installation in ventilation systems,
forexample
– Flat design with a depth of just 43 mm
STEP POWER, 48 V AC, 0.5 A
– Connection to 48 V AC operating
networks
– Slim design with an overall width of just
18 mm (1 pitch)
Power supplies and UPS
Power supply units
H
W
D
Power supply,
1 AC, 24 V DC, 0.5 A
NEC Class 2

N (-)
L (+)
+
+
–
–
N (-)
L (+)
+
+
–
–
+
-
L
N(-)
(+)
For further information and full technical data, visit phoenixcontact.net/products
Ex:
BSH
Ex:
Technical data Technical data Technical data
Nominal input voltage range 100 V AC ... 240 V AC 100 V AC ... 240 V AC 100 V AC ... 240 V AC 48 V AC
Input voltage range 85 V AC ... 264 V AC / 95 V DC ... 250 V DC 85 V AC ... 264 V AC / 95 V DC ... 250 V DC 85 V AC ... 264 V AC / 95 V DC ... 250 V DC 43 V AC ... 52 V AC / 60 V DC ... 80 V DC
45 Hz ... 65 Hz / 0 Hz 45 Hz ... 65 Hz / 0 Hz 45 Hz ... 65 Hz / 0 Hz
Current consumption (nominal load) 0.28 A (120 V AC) / 0.13 A (230 V AC) 0.3 A (120 V AC) / 0.25 A (230 V AC) 0.3 A (120 V AC) / 0.2 A (230 V AC) 0.5 A (43 V AC) / 0.45 A (48 V AC)
< 15 A / < 0.1 A
2
s < 15 A / < 0.1 A
2
s < 10 A / < 0.1 A
2
s
, typ.) > 15 ms (120 V AC) / > 90 ms (230 V AC) > 15 ms (120 V AC) / > 70 ms (230 V AC) > 15 ms (120 V AC) / > 70 ms (230 V AC) > 15 ms (48 V AC) / > 20 ms (52 V AC)
24VDC ±1% 24VDC ±1% 24VDC ±1%
0.75 A 0.75 A 0.5 A
Yes / Yes Yes / Yes Yes / Yes
< 0.5 W / < 3.6 W < 0.5 W / 3.6 W < 0.3 W / < 3.4 W
Efficiency (typ.) > 84% (for 230 V AC and nominal values) > 84% (for 230 V AC and nominal values) > 84% (for 230 V AC and nominal values) > 81% (for 48 VAC and nominal values)
< 75 mV
PP
< 75 mV
PP
< 30 mV
PP
LED LED LED
Weight / Dimensions W x H x D 0.07 kg / 18 x 90 x 61 mm 0.11 kg / 36 x 90 x 43 mm 0.11 kg / 36 x 90 x 61 mm 0.07 kg / 18 x 90 x 61 mm
Spacing when mounting Alignable: 0 mm horizontally, 30 mm vertically Alignable: 0 mm horizontally, 30 mm vertically Alignable: 0 mm horizontally, 30 mm vertically Alignable: 0 mm horizontally, 30 mm vertically
Screw connection Screw connection Screw connection
Connection data solid / stranded / AWG 0.2 - 2.5 mm² / 0.2 - 2.5 mm² / 24 - 12 0.2 - 2.5 mm² / 0.2 - 2.5 mm² / 24 - 12 0.2 - 2.5 mm² / 0.2 - 2.5 mm² / 24 - 12 0.2 - 2.5 mm² / 0.2 - 2.5 mm² / 24 - 12
IP20 / II IP20 / II IP20 / II
> 926000 h (40°C) > 926000 h (40°C) > 1860000 h (40°C)
: 2.5%/K) -25°C ... 70°C (> 55° C derating: 2.5%/K) -25°C ... 70°C (> 55° C derating: 2.5%/K) -25°C ... 70°C (> 55°C derating: 2.5%/K)
AC (type test) 3.75 kV AC (routine test) / 4 kV AC (type test) 3.75 kV AC (routine test) / 4 kV AC (type test) 3.75 kV AC (routine test) / 4 kV AC (type test)
Electromagnetic compatibility Conformance with EMC Directive 2004/108/EC Conformance with EMC Directive 2004/108/EC Conformance with EMC Directive 2004/108/EC Conformance with EMC Directive 2004/108/EC
Electrical safety IEC 60950-1/VDE 0805 (SELV) IEC 60950-1/VDE 0805 (SELV) IEC 60950-1/VDE 0805 (SELV) IEC 60950-1/VDE 0805 (SELV)
0160 (PELV) EN 50178/VDE 0160 (PELV) EN 50178/VDE 0160 (PELV) EN 50178/VDE 0160 (PELV)
Safe isolation DIN VDE 0100-410, DIN VDE 0106-1010 DIN VDE 0100-410, DIN VDE 0106-1010 DIN VDE 0100-410, DIN VDE 0106-1010 DIN VDE 0100-410
IEC 60335-1 IEC 60335-1 -
UL/C-UL listed UL 508, UL/C-UL Recognized UL 60950,
NEC Class 2 as per UL 1310, UL ANSI/ISA-12.12.01 Class I,
Division 2, Groups A, B, C, D (Hazardous Location)
UL/C-UL listed UL 508, UL/C-UL Recognized UL 60950,
NEC Class 2 as per UL 1310, UL ANSI/ISA-12.12.01 Class I,
Division 2, Groups A, B, C, D (Hazardous Location)
UL/C-UL listed UL 508, UL/C-UL Recognized UL 60950,
NEC Class 2 as per UL 1310
EN 61000-3-2 EN 61000-3-2 EN 61000-3-2
Ordering data Ordering data Ordering data
Type Order No. Pcs. /
Pkt. Type Order No. Pcs. /
Pkt. Type Order No. Pcs. /
Pkt.
STEP-PS/ 1AC/24DC/0.75/FL 2868622 1STEP-PS/ 1AC/24DC/0.75 2868635 1STEP-PS/48AC/24DC/0.5 2868716 1
187
PHOENIX CONTACT
Power supplies and UPS
Power supply units
H
W
D
H
W
D
H
W
D
Power supply,
1 AC, 24 V DC, 0.75 A
flat design, NEC Class 2
Power supply,
1 AC, 24 V DC, 0.75 A
NEC Class 2
Power supply,
48 V AC, 24 V DC, 0.5 A
NEC Class 2

N (-)
L (+)
+
+
–
–
N (-)
L (+)
+
+
–
–
BSH
Ex:
BSH
Ex:
Technical data Technical data
Input data
Nominal input voltage range 100 V AC ... 240 V AC 100 V AC ... 240 V AC 100 V AC ... 240 V AC 100 V AC ... 240 V AC 100 V AC ... 277 V AC
Input voltage range 85 V AC ... 264 V AC / 95 V DC ... 250 V DC 85 V AC ... 264 V AC / 95 V DC ... 250 V DC 85 V AC ... 264 V AC / 95 V DC ... 250 V DC 85 V
Frequency range 45 Hz ... 65 Hz / 0 Hz 45 Hz ... 65 Hz / 0 Hz
Current consumption (nominal load) 0.6 A (120 V AC) / 0.3 A (230 V AC) 0.8 A (120 V AC) / 0.4 A (230 V AC) 1.3 A (120 V AC) / 0.8 A (230 V AC)
Inrush current limitation at 25°C (typ.) / I
2
t < 15 A / < 0.6 A
2
s < 15 A / < 0.6 A
2
s
Mains buffering (I
N
, typ.) > 25 ms (120 V AC) / > 150 ms (230 V AC) > 20 ms (120 V AC) / > 100 ms (230 V AC) > 25 ms (120 V AC) / > 120 ms (230 V AC) > 20 ms (120
Output data
Nominal output voltage 24 V DC ±1% 24 V DC ±1%
Setting range of the output voltage 22.5 V DC ... 29.5 V DC (> 24 V constant capacity) 22.5 V DC ... 29.5 V DC (> 24 V constant capacity)
Output current 1.75 A 2.5 A
Can be connected in parallel / series Yes / Yes Yes / Yes
Max. power dissipation (no load / nominal load) < 0.7 W / 5 W < 0.7 W / 9.9 W
Efficiency (typ.) > 89% (for 230 V AC and nominal values) > 86% (for 230 V AC and nominal values) > 88% (for 230 V AC and nominal values
Residual ripple < 60 mV
PP
< 80 mV
PP
Signaling
Signaling DC OK LED LED
General data
Weight / Dimensions W x H x D 0.19 kg / 54 x 90 x 61 mm 0.27 kg / 72 x 90 x 61 mm 0.33 kg / 90 x 90 x 61 mm 0.33 kg / 90 x 90 x 61
Spacing when mounting Alignable: 0 mm horizontally, 30 mm vertically Alignable: 0 mm horizontally, 30 mm vertically Alignable: 0 m
Connection method Screw connection Screw connection
Connection data solid / stranded / AWG 0.2 - 2.5 mm² / 0.2 - 2.5 mm² / 24 - 12 0.2 - 2.5 mm² / 0.2 - 2.5 mm² / 24 - 12 0.2 - 2.5 m
Degree of protection / Protection class IP20 / II IP20 / II
MTBF (IEC 61709, SN 29500) > 1569000 h (40°C) > 1061000 h (40°C)
Ambient temperature (operation) -25°C ... 70°C (> 55° C derating: 2.5%/K) -25°C ... 70°C (> 55° C derating: 2.5%/K) -25°C ... 70°C
Standards/regulations
Insulation voltage input/output 3.75 kV AC (routine test) / 4 kV AC (type test) 3.75 kV AC (routine test) / 4 kV AC (type test) 3.
Electromagnetic compatibility Conformance with EMC Directive 2004/108/EC Conformance with EMC Directive 2004/108/EC Conformance wi
Electrical safety IEC 60950-1/VDE 0805 (SELV) IEC 60950-1/VDE 0805 (SELV) IEC 60950-1/VDE 0805 (SELV) IEC 60950-1/VDE 0805 (SELV) IE
Electronic equipm. for electrical power installations EN 50178/VDE 0160 (PELV) EN 50178/VDE 0160 (PELV) EN 50178/VDE 0160 (PELV) EN
Safe isolation DIN VDE 0100-410, DIN VDE 0106-1010 DIN VDE 0100-410, DIN VDE 0106-1010 DIN VDE 0100-410, DIN VDE 0106-1010 DIN VDE
UL approvals UL/C-UL listed UL 508, UL/C-UL Recognized UL 60950,
NEC Class 2 as per UL 1310, UL ANSI/ISA-12.12.01 Class I,
Division 2, Groups A, B, C, D (Hazardous Location)
UL/C-UL listed UL 508, UL/C-UL Recognized UL 60950,
NEC Class 2 as per UL 1310, UL ANSI/ISA-12.12.01 Class I,
Division 2, Groups A, B, C, D (Hazardous Location)
Limitation of harmonic line currents EN 61000-3-2 EN 61000-3-2
Ordering data Ordering data
Description Type Order No. Pcs. /
Pkt. Type Order No. Pcs. /
Pkt.
Power supply, primary-switched
STEP-PS/ 1AC/24DC/1.75 2868648 1STEP-PS/ 1AC/24DC/2.5 2868651 1
188
PHOENIX CONTACT
STEP POWER, 1 AC, 24 V DC
– Flexible assembly by simply snapping the
product onto the DIN rail or screwing it
onto an even surface
– Energy savings thanks to maximum
energy efficiency and incredibly low no-
load losses
– Wide temperature range from -25°C to
+70°C
– Reliable supply thanks to the high MTBF
(mean time between failure)
STEP POWER, NEC Class 2
– Output power limited to 100 W:
Specifically for applications that require
certification according to UL 1310/508
Listed Class 2
STEP POWER - power supply units
for distributor boards and flat control
panels
Power supplies and UPS
Power supply units
Power supply,
1 AC, 24 V DC, 1.75 A
NEC Class 2
Power supply,
1 AC, 24 V DC, 2.5 A
NEC Class 2
H
W
D
H
W
D

N (-)
L (+)
+
+
–
–
N (-)
L (+)
+
+
–
–
N (-)
L (+)
+
+
–
–
For further information and full technical data, visit phoenixcontact.net/products
Ex:
BSH
Ex:
Technical data Technical data Technical data
Nominal input voltage range 100 V AC ... 240 V AC 100 V AC ... 240 V AC 100 V AC ... 240 V AC 100 V AC ... 240 V AC 100 V AC ... 277 V AC
Input voltage range 85 V AC ... 264 V AC / 95 V DC ... 250 V DC 85 V AC ... 264 V AC / 95 V DC ... 250 V DC 85 V AC ... 264 V AC / 95 V DC ... 250 V DC 85 V AC ... 264VAC / 95VDC ... 250VDC 85VAC ... 305VAC / 95VDC ... 250VDC
45 Hz ... 65 Hz 45 Hz ... 65 Hz / 0 Hz 45 Hz ... 65 Hz / 0 Hz
Current consumption (nominal load) 0.6 A (120 V AC) / 0.3 A (230 V AC) 0.8 A (120 V AC) / 0.4 A (230 V AC) 1.3 A (120 V AC) / 0.8 A (230 V AC) 1.3 A (120 V AC) / 0.8 A (230 V AC) 1.43 A (120 V AC) / 0.75 A (277 V AC)
< 15 A / < 1 A
2
s < 15 A / < 1 A
2
s < 40 A / < 2.8 A
2
s
, typ.) > 25 ms (120 V AC) / > 150 ms (230 V AC) > 20 ms (120 V AC) / > 100 ms (230 V AC) > 25 ms (120 V AC) / > 120 ms (230 V AC) > 20 ms (120 V AC) / > 100 ms (230 V AC) > 25 ms (120 V AC) / > 160 ms (277 V AC)
24VDC ±1% 24 V DC ±1% 24VDC ±1%
22.5 V DC ... 25 V DC (> 24 V constant capacity) 22.5 V DC ... 29.5 V DC (> 24 V constant capacity) 22.5 V DC ... 25 V DC (> 24 V constant capacity)
3.8 A 4.2 A 3.5 A
No / No Yes / Yes Yes / Yes
< 0.7 W / 11.8 W < 0.7 W / 13.2 W < 0.6 W / 11.5 W
230 V AC and nominal values) > 88% (for 230 V AC and nominal values) > 88% (for 230 V AC and nominal values) > 88% (for 277 V AC and nominal values)
< 80 mV
PP
< 40 mV
PP
< 10 mV
PP
LED LED LED
Weight / Dimensions W x H x D 0.19 kg / 54 x 90 x 61 mm 0.27 kg / 72 x 90 x 61 mm 0.33 kg / 90 x 90 x 61 mm 0.33 kg / 90 x 90 x 61 mm 0.3 kg / 90 x 90 x 61 mm
Spacing when mounting Alignable: 0 mm horizontally, 30 mm vertically Alignable: 0 mm horizontally, 30 mm vertically Alignable: 0 mm horizontally, 30 mm vertically Alignable: 0 mm horizontally, 30 mm vertically Alignable: 0 mm horizontally, 30 mm vertically
Screw connection Screw connection Screw connection
Connection data solid / stranded / AWG 0.2 - 2.5 mm² / 0.2 - 2.5 mm² / 24 - 12 0.2 - 2.5 mm² / 0.2 - 2.5 mm² / 24 - 12 0.2 - 2.5 mm² / 0.2 - 2.5 mm² / 24 - 12 0.2 - 2.5 mm² / 0.2 - 2.5 mm² / 24 - 12 0.2 - 2.5 mm² / 0.2 - 2.5 mm² / 24 - 12
IP20 / II IP20 / II IP20 / II
> 897000 h (40°C) > 897000 h (40°C) > 1094000 h (40°C)
ng: 2.5%/K) -25°C ... 70°C (> 55° C derating: 2.5%/K) -25°C ... 70°C (> 55° C derating: 2.5%/K) -25°C ... 70°C (> 55° C derating: 2.5%/K) -25°C ... 70°C (> 55° C derating: 2.5%/K)
AC (type test) 3.75 kV AC (routine test) / 4 kV AC (type test) 3.75 kV AC (routine test) / 4 kV AC (type test) 3.75 kV AC (routine test) / 4 kV AC (type test) 3.75 kV AC (routine test) / 4 kV AC (type test)
Electromagnetic compatibility Conformance with EMC Directive 2004/108/EC Conformance with EMC Directive 2004/108/EC Conformance with EMC Directive 2004/108/EC Conformance with EMC Directive 2004/108/EC Conformance with EMC Directive 2004/108/EC
Electrical safety IEC 60950-1/VDE 0805 (SELV) IEC 60950-1/VDE 0805 (SELV) IEC 60950-1/VDE 0805 (SELV) IEC 60950-1/VDE 0805 (SELV) IEC 60950-1/VDE 0805 (SELV)
Electronic equipm. for electrical power installations EN 50178/VDE 0160 (PELV) EN 50178/VDE 0160 (PELV) EN 50178/VDE 0160 (PELV) EN 50178/VDE 0160 (PELV) EN 50178/VDE 0160 (PELV)
10, DIN VDE 0106-1010 DIN VDE 0100-410, DIN VDE 0106-1010 DIN VDE 0100-410, DIN VDE 0106-1010 DIN VDE 0100-410, DIN VDE 0106-1010
UL/C-UL listed UL 508, UL/C-UL Recognized UL 60950,
NEC Class 2 as per UL 1310, UL ANSI/ISA-12.12.01 Class I,
Division 2, Groups A, B, C, D (Hazardous Location)
UL/C-UL listed UL 508, UL/C-UL Recognized UL 60950,
UL ANSI/ISA-12.12.01 Class I, Division 2, Groups A, B, C, D
(Hazardous Location)
UL/C-UL listed UL 508, UL/C-UL Recognized UL 60950,
NEC Class 2 as per UL 1310
EN 61000-3-2 EN 61000-3-2 EN 61000-3-2
Ordering data Ordering data Ordering data
Type Order No. Pcs. /
Pkt. Type Order No. Pcs. /
Pkt. Type Order No. Pcs. /
Pkt.
STEP-PS/ 1AC/24DC/3.8/C2LPS 2868677 1STEP-PS/ 1AC/24DC/4.2 2868664 1STEP-PS/277AC/24DC/3.5 2904945 1
189
PHOENIX CONTACT
Power supplies and UPS
Power supply units
H
W
D
new
Power supply,
1 AC, 24 V DC, 100 W
NEC Class 2
Power supply,
1 AC, 24 V DC, 4.2 A
Power supply,
1 AC, 24 V DC, 3.5 A
Input up to 277 V AC, NEC Class 2
H
W
D
H
W
D

+
-
L
N(-)
(+)
Technical data
Input data
Nominal input voltage range 100 V AC ... 240 V AC 100 V AC ... 240 V AC 100 V AC ... 240 V AC 100 V AC ... 240 V AC
Input voltage range 85 V AC ... 264 V AC / 95 V DC ... 250 V DC 85 V AC ... 264 V AC / 95 V DC ... 250 V DC 85 V AC ... 264 V AC / 95 V DC ... 250 V DC 85 V
Frequency range 45 Hz ... 65 Hz / 0 Hz
Current consumption (nominal load) 0.2 A (120 V AC) / 0.13 A (230 V AC) 0.5 A (120 V AC) / 0.3 A (230 V AC) 0.8 A (120 V AC) / 0.5 A (230 V AC
Inrush current limitation at 25°C (typ.) / I
2
t < 15 A / < 0.1 A
2
s
Mains buffering (I
N
, typ.) > 25 ms (120 V AC) / > 110 ms (230 V AC) > 25 ms (120 V AC) / > 140 ms (230 V AC) > 27 ms (120 V AC) / > 120 ms (230 V AC) > 20 ms (120
Output data
Nominal output voltage 5 V DC ±1%
Setting range of the output voltage -
Output current 2 A
Can be connected in parallel / series Yes / Yes
Max. power dissipation (no load / nominal load) < 0.4 W / < 2.6 W
Efficiency (typ.) > 81% (for 230 V AC and nominal values) > 80% (for 230 V AC and nominal values) > 87% (for 230 V AC and nominal values
Residual ripple < 50 mV
PP
Signaling
Signaling DC OK LED
General data
Weight / Dimensions W x H x D 0.1 kg / 18 x 90 x 61 mm 0.27 kg /
Spacing when mounting Alignable: 0 mm horizontally, 30 mm vertically Alignable: 0 mm horizontally, 30 mm vertically Alignable: 0 m
Connection method Screw connection
Connection data solid / stranded / AWG 0.2 - 2.5 mm² / 0.2 - 2.5 mm² / 24 - 12 0.2 - 2.5 mm² / 0.2 - 2.5 mm² / 24 - 12 0.2 - 2.5 m
Degree of protection / Protection class IP20 / II
MTBF (IEC 61709, SN 29500) > 1812000 h (40°C)
Ambient temperature (operation) -25°C ... 70°C (> 55° C derating: 2.5%/K) -25°C ... 70°C (> 55° C derating: 2.5%/K) -25°C ... 70°C
Standards/regulations
Insulation voltage input/output 3.75 kV AC (routine test) / 4 kV AC (type test) 3.75 kV AC (routine test) / 4 kV AC (type test) 3.
Electromagnetic compatibility Conformance with EMC Directive 2004/108/EC Conformance with EMC Directive 2004/108/EC Conformance wi
Electrical safety IEC 60950-1/VDE 0805 (SELV) IEC 60950-1/VDE 0805 (SELV) IEC 60950-1/VDE 0805 (SELV) IEC 60950-1/VDE 0805 (SELV)
Electronic equipm. for electrical power installations EN 50178/VDE 0160 (PELV) EN 50178/VDE 0160 (PELV) EN 50178/VDE 0160 (PELV) EN
Safe isolation DIN VDE 0100-410, DIN VDE 0106-1010 DIN VDE 0100-4
UL approvals UL/C-UL listed UL 508, UL/C-UL Recognized UL 60950,
NEC Class 2 as per UL 1310
Limitation of harmonic line currents EN 61000-3-2
Ordering data
Description Type Order No. Pcs. /
Pkt.
Power supply, primary-switched, 1-phase
STEP-PS/ 1AC/ 5DC/2 2320513 1
190
PHOENIX CONTACT
STEP POWER - power supply units
for distributor boards and flat control
panels
STEP POWER, 1 AC, 5 to 48 V DC
– Flexible assembly by simply snapping the
product onto the DIN rail or screwing it
onto an even surface
– Energy savings thanks to maximum
energy efficiency and incredibly low no-
load losses
– Wide temperature range from -25°C to
+70°C
– Reliable supply thanks to the high MTBF
(mean time between failure)
STEP POWER, 5 V DC, 2 A
– Slim design with an overall width of just
18 mm (1 pitch)
STEP POWER, 5 V DC, 6.5 A
– Adjustable output voltage of 4 to
6.5 V DC
STEP POWER, 15 V DC, 4 A
– Adjustable output voltage of 10 to
16.5 V DC
STEP POWER, 48 V DC, 2 A
– Adjustable output voltage of 30 to
56 V DC
Power supplies and UPS
Power supply units
H
W
D
Power supply,
1 AC, 5 V DC, 2 A
NEC Class 2

N (-)
L (+)
+
+
–
–
N (-)
L (+)
+
+
–
–
N (-)
L (+)
+
+
–
–
For further information and full technical data, visit phoenixcontact.net/products
Ex:
Ex:
Ex:
Technical data Technical data Technical data
Nominal input voltage range 100 V AC ... 240 V AC 100 V AC ... 240 V AC 100 V AC ... 240 V AC 100 V AC ... 240 V AC
Input voltage range 85 V AC ... 264 V AC / 95 V DC ... 250 V DC 85 V AC ... 264 V AC / 95 V DC ... 250 V DC 85 V AC ... 264 V AC / 95 V DC ... 250 V DC 85 V AC ... 264 V AC / 95 V DC ... 250 V DC
45 Hz ... 65 Hz / 0 Hz 45 Hz ... 65 Hz / 0 Hz 45 Hz ... 65 Hz / 0 Hz
Current consumption (nominal load) 0.2 A (120 V AC) / 0.13 A (230 V AC) 0.5 A (120 V AC) / 0.3 A (230 V AC) 0.8 A (120 V AC) / 0.5 A (230 V AC) 1.3 A (120 V AC) / 0.8 A (230 V AC)
< 15 A / < 0.6 A
2
s < 15 A / < 0.6 A
2
s < 15 A / < 1.4 A
2
s
, typ.) > 25 ms (120 V AC) / > 110 ms (230 V AC) > 25 ms (120 V AC) / > 140 ms (230 V AC) > 27 ms (120 V AC) / > 120 ms (230 V AC) > 20 ms (120 V AC) / > 120 ms (230 V AC)
5VDC ±1% 15VDC ±1% 48VDC ±1%
4 V DC ... 6.5 V DC (> 5 V constant capacity) 10 V DC ... 16.5 V DC (> 15 V constant capacity) 30 V DC ... 56 V DC (> 48 V constant capacity)
6.5 A 4 A 2 A
Yes / Yes Yes / Yes Yes / Yes
< 0.4 W / 8.1 W < 0.5 W / 8.6 W < 0.9 W / 9.6 W
Efficiency (typ.) > 81% (for 230 V AC and nominal values) > 80% (for 230 V AC and nominal values) > 87% (for 230 V AC and nominal values) > 90% (for 230 V AC and nominal values)
< 50 mV
PP
< 55 mV
PP
< 30 mV
PP
LED LED LED
Weight / Dimensions W x H x D 0.1 kg / 18 x 90 x 61 mm 0.27 kg / 72 x 90 x 61 mm 0.27 kg / 72 x 90 x 61 mm 0.33 kg / 90 x 90 x 61 mm
Spacing when mounting Alignable: 0 mm horizontally, 30 mm vertically Alignable: 0 mm horizontally, 30 mm vertically Alignable: 0 mm horizontally, 30 mm vertically Alignable: 0 mm horizontally, 30 mm vertically
Screw connection Screw connection Screw connection
Connection data solid / stranded / AWG 0.2 - 2.5 mm² / 0.2 - 2.5 mm² / 24 - 12 0.2 - 2.5 mm² / 0.2 - 2.5 mm² / 24 - 12 0.2 - 2.5 mm² / 0.2 - 2.5 mm² / 24 - 12 0.2 - 2.5 mm² / 0.2 - 2.5 mm² / 24 - 12
IP20 / II IP20 / II IP20 / II
> 1111000 h (40°C) > 1134000 h (40°C) > 1048000 h (40°C)
: 2.5%/K) -25°C ... 70°C (> 55° C derating: 2.5%/K) -25°C ... 70°C (> 55° C derating: 2.5%/K) -25°C ... 70°C (> 55° C derating: 2.5%/K)
AC (type test) 3.75 kV AC (routine test) / 4 kV AC (type test) 3.75 kV AC (routine test) / 4 kV AC (type test) 3.75 kV AC (routine test) / 4 kV AC (type test)
Electromagnetic compatibility Conformance with EMC Directive 2004/108/EC Conformance with EMC Directive 2004/108/EC Conformance with EMC Directive 2004/108/EC Conformance with EMC Directive 2004/108/EC
Electrical safety IEC 60950-1/VDE 0805 (SELV) IEC 60950-1/VDE 0805 (SELV) IEC 60950-1/VDE 0805 (SELV) IEC 60950-1/VDE 0805 (SELV)
0160 (PELV) EN 50178/VDE 0160 (PELV) EN 50178/VDE 0160 (PELV) EN 50178/VDE 0160 (PELV)
Safe isolation DIN VDE 0100-410, DIN VDE 0106-1010 DIN VDE 0100-410, DIN VDE 0106-1010 DIN VDE 0100-410, DIN VDE 0106-1010 DIN VDE 0100-410, DIN VDE 0106-1010
UL/C-UL listed UL 508, UL/C-UL Recognized UL 60950,
UL ANSI/ISA-12.12.01 Class I, Division 2, Groups A, B, C, D
(Hazardous Location)
UL/C-UL listed UL 508, UL/C-UL Recognized UL 60950,
UL ANSI/ISA-12.12.01 Class I, Division 2, Groups A, B, C, D
(Hazardous Location)
UL/C-UL listed UL 508, UL/C-UL Recognized UL 60950,
UL ANSI/ISA-12.12.01 Class I, Division 2, Groups A, B, C, D
(Hazardous Location)
EN 61000-3-2 EN 61000-3-2 EN 61000-3-2
Ordering data Ordering data Ordering data
Type Order No. Pcs. /
Pkt. Type Order No. Pcs. /
Pkt. Type Order No. Pcs. /
Pkt.
STEP-PS/ 1AC/ 5DC/6.5 2868541 1STEP-PS/ 1AC/15DC/4 2868619 1STEP-PS/ 1AC/48DC/2 2868680 1
191
PHOENIX CONTACT
Power supplies and UPS
Power supply units
H
W
D
H
W
D
H
W
D
Power supply,
1 AC, 5 V DC, 6.5 A
Power supply,
1 AC, 15 V DC, 4 A
Power supply,
1 AC, 48 V DC, 2 A

+
-
L
N(-)
(+)
N (-)
L (+)
+
+
–
–
Ex:
Ex:
Technical data Technical data
Input data
Nominal input voltage range 100 V AC ... 240 V AC 100 V AC ... 240 V AC 100 V AC ... 240 V AC 100 V AC ... 240 V AC 100 V AC ... 240 V AC
Input voltage range 85 V AC ... 264 V AC / 95 V DC ... 250 V DC 85 V AC ... 264 V AC / 95 V DC ... 250 V DC 85 V AC ... 264 V AC / 95 V DC ... 250 V DC 85 V
Frequency range 45 Hz ... 65 Hz / 0 Hz 45 Hz ... 65 Hz / 0 Hz
Current consumption (nominal load) 0.26 A (120 V AC) / 0.13 A (230 V AC) 0.33 A (120 V AC) / 0.18 A (230 V AC) 0.3 A (120 V AC) / 0.2 A (230
Inrush current limitation at 25°C (typ.) / I
2
t < 15 A / < 0.1 A
2
s < 15 A / < 0.1 A
2
s
Mains buffering (I
N
, typ.) > 15 ms (120 V AC) / > 90 ms (230 V AC) > 15 ms (120 V AC) / > 70 ms (230 V AC) > 15 ms (120 V AC) / > 70 ms (230 V AC) > 26 ms (120 V AC
Output data
Nominal output voltage 12 V DC ±1% 12 V DC ±1%
Setting range of the output voltage - -
Output current 1 A 1.5 A
Can be connected in parallel / series Yes / Yes Yes / Yes
Max. power dissipation (no load / nominal load) < 0.4 W / < 2.8 W < 0.4 W / < 3.2 W
Efficiency (typ.) > 83% (for 230 V AC and nominal values) > 84% (for 230 V AC and nominal values) > 84% (for 230 V AC and nominal values
Residual ripple < 20 mV
PP
< 75 mV
PP
Signaling
Signaling DC OK LED LED
General data
Weight / Dimensions W x H x D 0.07 kg / 18 x 90 x 61 mm 0.07 kg / 36 x 90 x 43 mm 0.11 kg / 36 x 90 x 61 mm 0.19 kg / 54 x 90 x 61
Spacing when mounting Alignable: 0 mm horizontally, 30 mm vertically Alignable: 0 mm horizontally, 30 mm vertically Alignable: 0 m
Connection method Screw connection Screw connection
Connection data solid / stranded / AWG 0.2 - 2.5 mm² / 0.2 - 2.5 mm² / 24 - 12 0.2 - 2.5 mm² / 0.2 - 2.5 mm² / 24 - 12 0.2 - 2.5 m
Degree of protection / Protection class IP20 / II IP20 / II
MTBF (IEC 61709, SN 29500) > 1478000 h (40°C) > 1800000 h (40°C)
Ambient temperature (operation) -25°C ... 70°C (> 55° C derating: 2.5%/K) -25°C ... 70°C (> 55° C derating: 2.5%/K) -25°C ... 70°C
Standards/regulations
Insulation voltage input/output 3.75 kV AC (routine test) / 4 kV AC (type test) 3.75 kV AC (routine test) / 4 kV AC (type test) 3.
Electromagnetic compatibility Conformance with EMC Directive 2004/108/EC Conformance with EMC Directive 2004/108/EC Conformance wi
Electrical safety IEC 60950-1/VDE 0805 (SELV) IEC 60950-1/VDE 0805 (SELV) IEC 60950-1/VDE 0805 (SELV) IEC 60950-1/VDE 0805 (SELV) IE
Electronic equipm. for electrical power installations EN 50178/VDE 0160 (PELV) EN 50178/VDE 0160 (PELV) EN 50178/VDE 0160 (PELV) EN
Safe isolation DIN VDE 0100-410, DIN VDE 0106-1010 DIN VDE 0100-410, DIN VDE 0106-1010 DIN VDE 0100-410, DIN VDE 0106-1010 DIN VDE
Budgetary standard - IEC 60335-1
UL approvals UL/C-UL listed UL 508, UL/C-UL Recognized UL 60950,
NEC Class 2 as per UL 1310, UL ANSI/ISA-12.12.01 Class I,
Division 2, Groups A, B, C, D (Hazardous Location)
UL/C-UL listed UL 508, UL/C-UL Recognized UL 60950,
NEC Class 2 as per UL 1310, UL ANSI/ISA-12.12.01 Class I,
Division 2, Groups A, B, C, D (Hazardous Location)
Limitation of harmonic line currents EN 61000-3-2 EN 61000-3-2
Ordering data Ordering data
Description Type Order No. Pcs. /
Pkt. Type Order No. Pcs. /
Pkt.
Power supply, primary-switched
STEP-PS/ 1AC/12DC/1 2868538 1STEP-PS/ 1AC/12DC/1.5/FL 2868554 1
192
PHOENIX CONTACT
STEP POWER, 1 AC, 12 V DC
– Flexible assembly by simply snapping the
product onto the DIN rail or screwing it
onto an even surface
– Energy savings thanks to maximum
energy efficiency and incredibly low no-
load losses
– Wide temperature range from -25°C to
+70°C
– Reliable supply thanks to the high MTBF
(mean time between failure)
UNO POWER, 12 V DC, 1.5 A
– Meets standard EN 60335-1 for
household appliances, suitable for
installation in ventilation systems,
forexample
STEP POWER - power supply units
for distributor boards and flat control
panels
Power supplies and UPS
Power supply units
Power supply,
1 AC, 12 V DC, 1 A
NEC Class 2
Power supply,
1 AC, 12 V DC, 1.5 A
Flat design, NEC Class 2
H
W
D
H
W
D

N (-)
L (+)
+
+
–
–
N (-)
L (+)
+
+
–
–
N (-)
L (+)
+
+
–
–
For further information and full technical data, visit phoenixcontact.net/products
Ex:
Ex:
Ex:
Technical data Technical data Technical data
Nominal input voltage range 100 V AC ... 240 V AC 100 V AC ... 240 V AC 100 V AC ... 240 V AC 100 V AC ... 240 V AC 100 V AC ... 240 V AC
Input voltage range 85 V AC ... 264 V AC / 95 V DC ... 250 V DC 85 V AC ... 264 V AC / 95 V DC ... 250 V DC 85 V AC ... 264 V AC / 95 V DC ... 250 V DC 85 V AC ... 264VAC / 95VDC ... 250VDC 85VAC ... 264VAC / 95VDC ... 250VDC
45 Hz ... 65 Hz / 0 Hz 45 Hz ... 65 Hz / 0 Hz 45 Hz ... 65 Hz / 0 Hz
Current consumption (nominal load) 0.26 A (120 V AC) / 0.13 A (230 V AC) 0.33 A (120 V AC) / 0.18 A (230 V AC) 0.3 A (120 V AC) / 0.2 A (230 V AC) 0.6 A (120 V AC) / 0.3 A (230 V AC) 0.8 A (120 V AC) / 0.5 A (230 V AC)
< 15 A / < 0.1 A
2
s < 15 A / < 0.6 A
2
s < 15 A / < 0.6 A
2
s
, typ.) > 15 ms (120 V AC) / > 90 ms (230 V AC) > 15 ms (120 V AC) / > 70 ms (230 V AC) > 15 ms (120 V AC) / > 70 ms (230 V AC) > 26 ms (120 V AC) / > 160 ms (230 V AC) > 27 ms (120 V AC) / > 120 ms (230 V AC)
12VDC ±1% 12 V DC ±1% 12VDC ±1%
- 10 V DC ... 16.5 V DC (> 12 V constant capacity) 10 V DC ... 16.5 V DC (> 12 V constant capacity)
1.5 A 3 A 5 A
Yes / Yes Yes / Yes Yes / Yes
< 0.4 W / < 3.2 W < 0.5 W / 6.4 W < 0.5 W / 8.6 W
230 V AC and nominal values) > 84% (for 230 V AC and nominal values) > 85% (for 230 V AC and nominal values) > 87% (for 230 V AC and nominal values)
< 75 mV
PP
< 40 mV
PP
< 55 mV
PP
LED LED LED
Weight / Dimensions W x H x D 0.07 kg / 18 x 90 x 61 mm 0.07 kg / 36 x 90 x 43 mm 0.11 kg / 36 x 90 x 61 mm 0.19 kg / 54 x 90 x 61 mm 0.27 kg / 72 x 90 x 61 mm
Spacing when mounting Alignable: 0 mm horizontally, 30 mm vertically Alignable: 0 mm horizontally, 30 mm vertically Alignable: 0 mm horizontally, 30 mm vertically Alignable: 0 mm horizontally, 30 mm vertically Alignable: 0 mm horizontally, 30 mm vertically
Screw connection Screw connection Screw connection
Connection data solid / stranded / AWG 0.2 - 2.5 mm² / 0.2 - 2.5 mm² / 24 - 12 0.2 - 2.5 mm² / 0.2 - 2.5 mm² / 24 - 12 0.2 - 2.5 mm² / 0.2 - 2.5 mm² / 24 - 12 0.2 - 2.5 mm² / 0.2 - 2.5 mm² / 24 - 12 0.2 - 2.5 mm² / 0.2 - 2.5 mm² / 24 - 12
IP20 / II IP20 / II IP20 / II
> 1800000 h (40°C) > 1689000 h (40°C) > 1134000 h (40°C)
ng: 2.5%/K) -25°C ... 70°C (> 55° C derating: 2.5%/K) -25°C ... 70°C (> 55° C derating: 2.5%/K) -25°C ... 70°C (> 55° C derating: 2.5%/K) -25°C ... 70°C (> 55° C derating: 2.5%/K)
AC (type test) 3.75 kV AC (routine test) / 4 kV AC (type test) 3.75 kV AC (routine test) / 4 kV AC (type test) 3.75 kV AC (routine test) / 4 kV AC (type test) 3.75 kV AC (routine test) / 4 kV AC (type test)
Electromagnetic compatibility Conformance with EMC Directive 2004/108/EC Conformance with EMC Directive 2004/108/EC Conformance with EMC Directive 2004/108/EC Conformance with EMC Directive 2004/108/EC Conformance with EMC Directive 2004/108/EC
Electrical safety IEC 60950-1/VDE 0805 (SELV) IEC 60950-1/VDE 0805 (SELV) IEC 60950-1/VDE 0805 (SELV) IEC 60950-1/VDE 0805 (SELV) IEC 60950-1/VDE 0805 (SELV)
Electronic equipm. for electrical power installations EN 50178/VDE 0160 (PELV) EN 50178/VDE 0160 (PELV) EN 50178/VDE 0160 (PELV) EN 50178/VDE 0160 (PELV) EN 50178/VDE 0160 (PELV)
10, DIN VDE 0106-1010 DIN VDE 0100-410, DIN VDE 0106-1010 DIN VDE 0100-410, DIN VDE 0106-1010 DIN VDE 0100-410, DIN VDE 0106-1010
IEC 60335-1 - -
UL/C-UL listed UL 508, UL/C-UL Recognized UL 60950,
NEC Class 2 as per UL 1310, UL ANSI/ISA-12.12.01 Class I,
Division 2, Groups A, B, C, D (Hazardous Location)
UL/C-UL listed UL 508, UL/C-UL Recognized UL 60950,
NEC Class 2 as per UL 1310, UL ANSI/ISA-12.12.01 Class I,
Division 2, Groups A, B, C, D (Hazardous Location)
UL/C-UL listed UL 508, UL/C-UL Recognized UL 60950,
UL ANSI/ISA-12.12.01 Class I, Division 2, Groups A, B, C, D
(Hazardous Location)
EN 61000-3-2 EN 61000-3-2 EN 61000-3-2
Ordering data Ordering data Ordering data
Type Order No. Pcs. /
Pkt. Type Order No. Pcs. /
Pkt. Type Order No. Pcs. /
Pkt.
STEP-PS/ 1AC/12DC/1.5 2868567 1STEP-PS/ 1AC/12DC/3 2868570 1STEP-PS/ 1AC/12DC/5 2868583 1
193
PHOENIX CONTACT
Power supplies and UPS
Power supply units
H
W
D
Power supply,
1 AC, 12 V DC, 1.5 A
NEC Class 2
Power supply,
1 AC, 12 V DC, 3 A
NEC Class 2
Power supply,
1 AC, 12 V DC, 5 A
H
W
D
H
W
D

194
PHOENIX CONTACT
Power supplies and UPS
DC/DC converters
QUINT and MINI DC/DC converters
alter the voltage level, regenerate the
voltage at the end of long cables, or
enable the creation of independent
supply systems by means of electrical
isolation.
There are numerous fields of application
for DC/DC converters. As the name
suggests, they convert voltages in order to
match different voltage levels to one
another. On long supply lines, they raise the
voltage to compensate for voltage drops.
DC/DC converters separate circuits from
each other by means of electrical isolation
and protect the sensitive loads by
decoupling them. The primary-switched
switching devices have an internal
intermediate circuit. This acts as a filter. This
means, for example, that grounded and non-
grounded circuits can be kept separate.
Another advantage is the protection of
critical loads from disruptive voltage
fluctuations: if, for example, a motor is
switched on that requires a high current for
the starting torque, there is a brief voltage
dip and sensitive loads shut down. The same
occurs when loads with high input capacities
are switched on. Troubleshooting these
temporary faults is often difficult and time-
consuming.
DC/DC converters are also ideal in
battery-supported power supply networks
or solutions with unregulated transformers,
when sensitive loads require a stable DC.
QUINT POWER – maximum
functionality
Cost-effective selective fuse protection
with SFB technology:
In order to trip standard circuit breakers
magnetically and quickly, power supply units
must be able to supply several times the
nominal current for a short period. With
SFB (selective fuse breaking) technology,
which supplies up to 6 times the nominal
current for 12ms, a dynamic power reserve
is available. Faulty current paths are
selectively switched off, the fault is isolated,
and important system components remain
operational.
Preventive function monitoring:
Comprehensive diagnostics are provided
through constant monitoring of the input
voltage, output voltage, and output current.
This preventive monitoring visualizes critical
operating states, before errors can occur.
Remote monitoring is provided by means of
active switching outputs and floating relay
contacts.
Power reserve POWER BOOST:
The static power reserve offers up to 1.25
times the nominal current permanently. At
ambient temperatures of up to +40°C the
POWER BOOST is continuously available
and at higher temperatures, it is available for
a few minutes. This ensures that both high
inrush currents of capacitive loads, as well as
loads with DC/DC converters in the
primary circuit, can be reliably supplied.
Your web code: #0152

For further information and full technical data, visit phoenixcontact.net/products
195
PHOENIX CONTACT
Power supplies and UPS
DC/DC converters
QUINT POWER
The unique SFB technology and
preventive function monitoring maximize
the availability of your application.
– Quick tripping of standard circuit
breakers with SFB technology
– Preventive function monitoring
– Reliable starting of difficult loads with
POWERBOOST
QUINT POWER CO with protective
coating for extreme requirements
The protective coating on these DC/DC
converters protects against dust, corrosive
gases, and 100%humidity as well as failure
caused by corrosion-related creepage
currents and electrochemical migration.
– OVP (Over Voltage Protection) limits
surge voltages to 32 V
– Wide temperature range from -40°C to
+70°C
MINI DC/DC converters - for control
technology
MINI DC/DC converters come into their
own in fields where modular electronics
housing has become the standard.
– Service-friendly connection technology
with coded COMBICON connectors
– Active function monitoring with switching
output for remote monitoring of the
output voltage
Voltage levels of QUINT DC/DC
converters with 12 to 48VDC
The QUINT DC/DC converters alter the
voltage level:
– Input voltages:
12VDC (9 ... 18VDC),
24VDC (18 ... 32VDC),
48VDC (30 ... 60VDC)
– Output voltages:
12VDC (5 ... 18VDC),
24VDC (18 ... 29.5VDC),
48VDC (30 ... 56VDC)
Voltage levels of QUINT DC/DC
converters with 60 to 110 V DC
The QUINT DC/DC converters alter the
voltage level:
– Input voltages:
60 to 72VDC (42 ... 96VDC),
96 to 110VDC (67 ... 154VDC)
– Output voltages:
24VDC (18 ... 29.5VDC)
Voltage levels of MINI DC/DC
converters
The MINI DC/DC converters alter the
voltage level:
– Input voltages:
12VDC (10 ... 32VDC),
24VDC (10 ... 32VDC),
48VDC (36 ... 75VDC)
– Output voltages:
5 ... 15VDC (5 ... 15VDC),
24VDC (22.5 ... 28.5VDC),
48VDC (30 ... 56VDC)

DC OK
U >19,2 V
IN
I<IN
++
+
--
-
-
DCOK
U>19,2V
IN
I<IN
13
14
++
+
--
-
-
Ex:
Ex:
Technical data Technical data
Input data
Nominal input voltage range 24 V DC 24 V DC
Input voltage range 18 V DC ... 32 V DC 18 V DC ... 32 V DC
Current consumption (POWERBOOST) 7 A (24 V, I
BOOST
) 14 A (24 V, I
BOOST
)
Inrush current limitation at 25°C (typ.) / I
2
t < 15 A / < 0.5 A
2
s < 15 A / < 2.7 A
2
s
Mains buffering (I
N
, typ.) > 10 ms (24 V DC) > 12 ms (24 V DC)
Output data
Nominal output voltage 24 V DC ±1% 24 V DC ±1%
Setting range of the output voltage 18 V DC ... 29.5 V DC (> 24 V constant capacity) 18 V DC ... 29.5 V DC (> 24 V constant capacity) 18 V D
Output current / POWER BOOST / SFB (12 ms) 5 A / 6.25 A / 30 A 10 A / 12.5 A / 60 A
Magnetic fuse tripping B2 / B4 / C2 B2 / B4 / B6 / C2 / C4
Can be connected in parallel / series Yes / Yes Yes / Yes
Max. power dissipation (no load / nominal load) 2.4 W / 11.4 W 1.6 W / 24 W
Efficiency (typ.) > 92% > 92%
Residual ripple < 20 mV
PP
< 20 mV
PP
Signaling
Signaling DC OK LED, active switching output LED, active switching output, relay contact LED, active switching output, relay conta
Boost signaling LED, active switching output LED, active switching output LED, active switching outp
U
IN
signaling LED, active switching output LED, active switching output LED, active switching output LE
General data
Weight / Dimensions W x H x D 0.7 kg / 32 x 130 x 125 mm 0.9 kg / 48 x 130 x 125 mm 1.7 kg / 82 x 130 x 125 mm 0.7 kg / 32 x 130 x
Spacing when mounting Alignable: 5 mm horizontally, 15 mm next to active components,
50 mm vertically
Alignable: 5 mm horizontally, 15 mm next to active components,
50 mm vertically
Connection method Plug-in screw connection Plug-in screw connection Screw connection Plug-in screw connection Plug-in screw connecti
Input connection data (solid / stranded / AWG) 0.2 - 2.5 mm² / 0.2 - 2.5 mm² / 24 - 12 0.2 - 2.5 mm² / 0.2 - 2.5 mm² / 24 - 12 0.5
Output connection data (solid / stranded / AWG) 0.2 - 2.5 mm² / 0.2 - 2.5 mm² / 24 - 12 0.2 - 2.5 mm² / 0.2 - 2.5 mm² / 24 - 12 0.
Signal connection data (solid / stranded / AWG) 0.2 - 2.5 mm² / 0.2 - 2.5 mm² / 24 - 12 0.2 - 2.5 mm² / 0.2 - 2.5 mm² / 24 - 12 0.
Degree of protection / Protection class IP20 / III IP20 / III
MTBF (IEC 61709, SN 29500) > 890000 h (40°C) > 763000 h (40°C)
Ambient temperature (operation) -25°C ... 70°C (> 60°C derating: 2.5%/K,
startup at -40°C type-tested)
-25°C ... 70°C (> 60°C derating: 2.5%/K,
startup at -40°C type-tested)
Max. permissible relative humidity (operation) ≤ 95% (at 25°C, non-condensing) ≤ 95% (at 25°C, non-condensing)
Standards/regulations
Insulation voltage input/output 1 kV (routine test) / 1.5 kV (type test) 1 kV (routine test) / 1.5 kV (type test) 1 kV (routine te
Electromagnetic compatibility Conformance with EMC Directive 2004/108/EC Conformance with EMC Directive 2004/108/EC Conformance wi
Electrical safety EN 60950-1/VDE 0805 (SELV) EN 60950-1/VDE 0805 (SELV) EN 60950-1/VDE 0805 (SELV) EN 60950-1/VDE 0805 (SELV) EN 609
Electronic equipm. for electrical power installations EN 50178/VDE 0160 (PELV) EN 50178/VDE 0160 (PELV) EN 50178/VDE 0160 (PELV) EN
Safe isolation DIN VDE 0100-410 DIN VDE 0100-410
UL approvals UL/C-UL listed UL 508, UL/C-UL Recognized UL 60950,
UL ANSI/ISA-12.12.01 Class I, Division 2, Groups A, B, C, D
(Hazardous Location)
UL/C-UL listed UL 508, UL/C-UL Recognized UL 60950,
UL ANSI/ISA-12.12.01 Class I, Division 2, Groups A, B, C, D
(Hazardous Location)
Ordering data Ordering data
Description Type Order No. Pcs. /
Pkt. Type Order No. Pcs. /
Pkt.
DC/DC converter, primary-switched
QUINT-PS/24DC/24DC/ 5 2320034 1QUINT-PS/24DC/24DC/10 2320092 1
196
PHOENIX CONTACT
QUINTPOWER, 24VDC input
– Support conversion to various voltage
levels
– Constant voltage: output voltage
regenerated even at the end of long
cables
– Electrical isolation: for setting up
independent supply systems
– SFB technology: fast tripping of standard
circuit breakers, thanks to the dynamic
power reserve with up to 6 times the
nominal current for 12 ms
– Reliable starting of difficult loads thanks
to the static POWER BOOST power
reserve with up to 125% of the nominal
current permanently
– Preventive function monitoring warns
against critical operating states before
errors occur
QUINT DC/DC converters
Power supplies and UPS
DC/DC converters
DC/DC converter,
24 V DC / 24 V DC, 5 A
DC/DC converter,
24 V DC / 24 V DC, 10 A
H
W
D
H
W
D

DCOK
U>19,2V
IN
I<IN
13
14
++
+
--
-
-
DC OK
U >19,2 V
IN
I<IN
++
+
--
-
-
DCOK
U>19,2V
IN
I<IN
13
14
++
+
--
-
-
For further information and full technical data, visit phoenixcontact.net/products
Ex:
Ex:
Ex:
Technical data Technical data Technical data
24VDC 24VDC 24VDC
18 V DC ... 32 V DC 18 V DC ... 32 V DC 18 V DC ... 32 V DC
28 A (24 V, I
BOOST
) 6 A (24 V, I
BOOST
) 14 A (24 V, I
BOOST
)
< 26 A / < 11 A
2
s < 15 A / < 0.5 A
2
s < 15 A / 3 A
2
s
> 10 ms (24 V DC) > 10 ms (24 V DC) > 12 ms (24 V DC)
24VDC ±1% 12 V DC ±1% 48VDC ±1%
Setting range of the output voltage 18 V DC ... 29.5 V DC (> 24 V constant capacity) 18 V DC ... 29.5 V DC (> 24 V constant capacity) 18 V DC ... 29.5 V DC (> 24 V constant capacity) 5 V DC ... 18 V DC (> 12 V constant capacity) 30 V DC ... 56 V DC (> 48 V constant capacity)
20 A / 25 A / 120 A 8 A / 10 A / 48 A 5 A / 6.25 A / 30 A
B2 / B4 / B6 / B10 / B16 / C2 / C4 / C6 B2 / B4 / C2 B2 / B4 / C2
Yes / Yes Yes / Yes Yes / Yes
2.2 W / 39 W 2 W / 10.5 W 5.2 W / 21 W
> 93% > 90% > 92.5%
< 20 mV
PP
< 20 mV
PP
< 20 mV
PP
g output, relay contact LED, active switching output, relay contact LED, active switching output LED, active switching output, relay contact
output LED, active switching output LED, active switching output LED, active switching output
ut LED, active switching output LED, active switching output LED, active switching output
Weight / Dimensions W x H x D 0.7 kg / 32 x 130 x 125 mm 0.9 kg / 48 x 130 x 125 mm 1.7 kg / 82 x 130 x 125 mm 0.7 kg / 32 x 130 x 125 mm 0.9 kg / 48 x 130 x 125 mm
Alignable: 5 mm horizontally, 15 mm next to active components,
50 mm vertically
Alignable: 5 mm horizontally, 15 mm next to active components,
50 mm vertically
Alignable: 5 mm horizontally, 15 mm next to active components,
50 mm vertically
Connection method Plug-in screw connection Plug-in screw connection Screw connection Plug-in screw connection Plug-in screw connection
Input connection data (solid / stranded / AWG) 0.2 - 2.5 mm² / 0.2 - 2.5 mm² / 24 - 12 0.2 - 2.5 mm² / 0.2 - 2.5 mm² / 24 - 12 0.5 - 16 mm² / 0.5 - 16 mm² / 8 - 6 0.2 - 2.5 mm² / 0.2 - 2.5 mm² / 24 - 12 0.2 - 2.5 mm² / 0.2 - 2.5 mm² / 24 - 12
Output connection data (solid / stranded / AWG) 0.2 - 2.5 mm² / 0.2 - 2.5 mm² / 24 - 12 0.2 - 2.5 mm² / 0.2 - 2.5 mm² / 24 - 12 0.2 - 6 mm² / 0.2 - 4 mm² / 12 - 10 0.2 - 2.5 mm² / 0.2 - 2.5 mm² / 24 - 12 0.2 - 2.5 mm² / 0.2 - 2.5 mm² / 24 - 12
Signal connection data (solid / stranded / AWG) 0.2 - 2.5 mm² / 0.2 - 2.5 mm² / 24 - 12 0.2 - 2.5 mm² / 0.2 - 2.5 mm² / 24 - 12 0.2 - 2.5 mm² / 0.2 - 2.5 mm² / 24 - 12 0.2 - 2.5 mm² / 0.2 - 2.5 mm² / 24 - 12 0.2 - 2.5 mm² / 0.2 - 2.5 mm² / 24 - 12
IP20 / III IP20 / III IP20 / III
> 554000 h (40°C) > 843000 h (40°C) > 761000 h (40°C)
-25°C ... 70°C (> 60°C derating: 2.5%/K,
startup at -40°C type-tested)
-25°C ... 70°C (> 60°C derating: 2.5%/K,
startup at -40°C type-tested)
-25°C ... 70°C (> 60°C derating: 2.5%/K,
startup at -40°C type-tested)
≤ 95% (at 25°C, non-condensing) ≤ 95% (at 25°C, non-condensing) ≤ 95% (at 25°C, non-condensing)
test) 1 kV (routine test) / 1.5 kV (type test) 1 kV (routine test) / 1.5 kV (type test) 1 kV (routine test) / 1.5 kV (type test) 1 kV (routine test) / 1.5 kV (type test)
Electromagnetic compatibility Conformance with EMC Directive 2004/108/EC Conformance with EMC Directive 2004/108/EC Conformance with EMC Directive 2004/108/EC Conformance with EMC Directive 2004/108/EC Conformance with EMC Directive 2004/108/EC
Electrical safety EN 60950-1/VDE 0805 (SELV) EN 60950-1/VDE 0805 (SELV) EN 60950-1/VDE 0805 (SELV) EN 60950-1/VDE 0805 (SELV) EN 60950-1/VDE 0805 (SELV)
Electronic equipm. for electrical power installations EN 50178/VDE 0160 (PELV) EN 50178/VDE 0160 (PELV) EN 50178/VDE 0160 (PELV) EN 50178/VDE 0160 (PELV) EN 50178/VDE 0160 (PELV)
DIN VDE 0100-410 DIN VDE 0100-410 DIN VDE 0100-410
UL/C-UL listed UL 508, UL/C-UL Recognized UL 60950,
UL ANSI/ISA-12.12.01 Class I, Division 2, Groups A, B, C, D
(Hazardous Location)
UL/C-UL listed UL 508, UL/C-UL Recognized UL 60950,
UL ANSI/ISA-12.12.01 Class I, Division 2, Groups A, B, C, D
(Hazardous Location)
UL/C-UL listed UL 508, UL/C-UL Recognized UL 60950,
UL ANSI/ISA-12.12.01 Class I, Division 2, Groups A, B, C, D
(Hazardous Location)
Ordering data Ordering data Ordering data
Type Order No. Pcs. /
Pkt. Type Order No. Pcs. /
Pkt. Type Order No. Pcs. /
Pkt.
QUINT-PS/24DC/24DC/20 2320102 1QUINT-PS/24DC/12DC/ 8 2320115 1QUINT-PS/24DC/48DC/ 5 2320128 1
197
PHOENIX CONTACT
Power supplies and UPS
DC/DC converters
H
W
D
DC/DC converter,
24 V DC / 24 V DC, 20 A
DC/DC converter,
24 V DC / 12 V DC, 8 A
DC/DC converter,
24 V DC / 48 V DC, 5 A
H
W
D
H
W
D

DC OK
U >9,6V
IN
I<I
N
Ex:
Technical data
Input data
Nominal input voltage range 12 V DC
Input voltage range 9 V DC ... 18 V DC
Current consumption (POWERBOOST) 15 A (12 V, I
BOOST
)
Inrush current limitation at 25°C (typ.) / I
2
t < 15 A / < 0.3 A
2
s
Mains buffering (I
N
, typ.) > 3 ms (12 V DC)
Output data
Nominal output voltage 24 V DC ±1%
Setting range of the output voltage 18 V DC ... 29.5 V DC (> 24 V constant capacity) 5 V DC ... 18 V DC (> 12 V constant capacity)
Output current / POWER BOOST / SFB (12 ms) 5 A / 6.25 A / 30 A
Magnetic fuse tripping B2 / B4 / C2
Can be connected in parallel / series Yes / Yes
Max. power dissipation (no load / nominal load) 2 W / 13.5 W
Efficiency (typ.) > 90%
Residual ripple < 75 mV
PP
Signaling
Signaling DC OK LED, active switching output LED, active switching output
Boost signaling LED, active switching output LED, active switching output
U
IN
signaling LED, active switching output LED, active switching output
General data
Weight / Dimensions W x H x D 0.7 kg / 32 x 130 x 125 mm 0.8 kg / 32 x 130 x 125 mm
Spacing when mounting Alignable: 5 mm horizontally, 15 mm next to active components,
50 mm vertically
Connection method Plug-in screw connection Plug-in screw connection
Input connection data (solid / stranded / AWG) 0.2 - 2.5 mm² / 0.2 - 2.5 mm² / 24 - 12 0.2 - 2.5 mm² / 0.2 - 2.5 mm² / 24 - 12
Output connection data (solid / stranded / AWG) 0.2 - 2.5 mm² / 0.2 - 2.5 mm² / 24 - 12 0.2 - 2.5 mm² / 0.2 - 2.5 mm² / 24 - 12
Signal connection data (solid / stranded / AWG) 0.2 - 2.5 mm² / 0.2 - 2.5 mm² / 24 - 12 0.2 - 2.5 mm² / 0.2 - 2.5 mm² / 24 - 12
Degree of protection / Protection class IP20 / III
MTBF (IEC 61709, SN 29500) > 1005000 h (40°C)
Ambient temperature (operation) -25°C ... 70°C (> 60°C derating: 2.5%/K,
startup at -40°C type-tested)
Max. permissible relative humidity (operation) ≤ 95% (at 25°C, non-condensing)
Standards/regulations
Insulation voltage input/output 1 kV (routine test) / 1.5 kV (type test) 1 kV (routine test) / 1.5 kV (type test)
Electromagnetic compatibility Conformance with EMC Directive 2004/108/EC Conformance with EMC Directive 2004/108/EC
Electrical safety EN 60950-1/VDE 0805 (SELV) EN 60950-1/VDE 0805 (SELV)
Electronic equipm. for electrical power installations EN 50178/VDE 0160 (PELV) EN 50178/VDE 0160 (PELV)
Safe isolation DIN VDE 0100-410
UL approvals UL/C-UL listed UL 508, UL/C-UL Recognized UL 60950,
UL ANSI/ISA-12.12.01 Class I, Division 2, Groups A, B, C, D
(Hazardous Location)
Ordering data
Description Type Order No. Pcs. /
Pkt.
DC/DC converter, primary-switched
QUINT-PS/12DC/24DC/ 5 2320131 1
198
PHOENIX CONTACT
QUINT DC/DC converters
QUINT POWER, 12VDC input
– Support conversion to various voltage
levels
– Constant voltage: output voltage
regenerated even at the end of long
cables
– Electrical isolation: for setting up
independent supply systems
– SFB technology: quick tripping of
standard circuit breakers, thanks to the
dynamic power reserve with up to
6 times the nominal current for 12 ms
– Reliable starting of difficult loads thanks
to the static POWER BOOST power
reserve with up to 125% of the nominal
current permanently
– Preventive function monitoring warns
against critical operating states before
errors occur
Power supplies and UPS
DC/DC converters
H
W
D
DC/DC converter,
12 V DC/24 V DC, 5 A

DC OK
U >9,6V
IN
I<I
N
For further information and full technical data, visit phoenixcontact.net/products
Technical data
12VDC
9VDC ... 18VDC
12 A (12 V, I
BOOST
)
< 6 A / < 0.6 A
2
s
> 3 ms (12 V DC)
12VDC ±1%
Setting range of the output voltage 18 V DC ... 29.5 V DC (> 24 V constant capacity) 5 V DC ... 18 V DC (> 12 V constant capacity)
8 A / 10 A / 48 A
B2 / B4 / C2
Yes / Yes
1.5 W / 11.8 W
> 89%
< 20 mV
PP
Signaling DC OK LED, active switching output LED, active switching output
Boost signaling LED, active switching output LED, active switching output
signaling LED, active switching output LED, active switching output
Weight / Dimensions W x H x D 0.7 kg / 32 x 130 x 125 mm 0.8 kg / 32 x 130 x 125 mm
Alignable: 5 mm horizontally, 15 mm next to active components,
50 mm vertically
Connection method Plug-in screw connection Plug-in screw connection
Input connection data (solid / stranded / AWG) 0.2 - 2.5 mm² / 0.2 - 2.5 mm² / 24 - 12 0.2 - 2.5 mm² / 0.2 - 2.5 mm² / 24 - 12
/ 0.2 - 2.5 mm² / 24 - 12 0.2 - 2.5 mm² / 0.2 - 2.5 mm² / 24 - 12
Signal connection data (solid / stranded / AWG) 0.2 - 2.5 mm² / 0.2 - 2.5 mm² / 24 - 12 0.2 - 2.5 mm² / 0.2 - 2.5 mm² / 24 - 12
IP20 / III
> 920000 h (40°C)
-25°C ... 70°C (> 60°C derating: 2.5%/K,
startup at -40°C type-tested)
≤ 95% (at 25°C, non-condensing)
kV (type test) 1 kV (routine test) / 1.5 kV (type test)
Electromagnetic compatibility Conformance with EMC Directive 2004/108/EC Conformance with EMC Directive 2004/108/EC
Electrical safety EN 60950-1/VDE 0805 (SELV) EN 60950-1/VDE 0805 (SELV)
s EN 50178/VDE 0160 (PELV) EN 50178/VDE 0160 (PELV)
DIN VDE 0100-410
UL/C-UL listed UL 508, UL/C-UL Recognized UL 60950
Ordering data
Type Order No. Pcs. /
Pkt.
QUINT-PS/12DC/12DC/8 2905007 1
199
PHOENIX CONTACT
Power supplies and UPS
DC/DC converters
H
W
D
new
DC/DC converter,
12 V DC/12 V DC, 8 A

DC OK
U>38,4 V
IN
I<IN
13
14
++
+
--
-
-
Ex:
Technical data
Input data
Nominal input voltage range 48 V DC
Input voltage range 30 V DC ... 60 V DC
Current consumption (POWERBOOST) 3.5 A (48 V DC)
Inrush current limitation at 25°C (typ.) / I
2
t < 5 A / < 0.2 A
2
s
Mains buffering (I
N
, typ.) > 14 ms (48 V DC)
Output data
Nominal output voltage 24 V DC ±1%
Setting range of the output voltage 18 V DC ... 29.5 V DC (> 24 V constant capacity) 30 V DC ... 56 V DC (> 48 V constant capacity) 18 V DC
Output current / POWER BOOST / SFB (12 ms) 5 A / 6.25 A / 30 A
Magnetic fuse tripping B2 / B4 / C2
Can be connected in parallel / series Yes / Yes
Max. power dissipation (no load / nominal load) 2.7 W / 11 W
Efficiency (typ.) > 91.5%
Residual ripple < 25 mV
PP
Signaling
Signaling DC OK LED, active switching output LED, active switchin
Boost signaling LED, active switching output LED, active switching
U
IN
signaling LED, active switching output LED, active switching ou
General data
Weight / Dimensions W x H x D 0.7 kg / 32 x 130 x 125 mm 0.9 kg /
Spacing when mounting Alignable: 5 mm horizontally, 15 mm next to active components,
50 mm vertically
Connection method Plug-in screw connection Plug-in screw connection Plug-in screw connection Plug-in screw connection
Input connection data (solid / stranded / AWG) 0.2 - 2.5 mm² / 0.2 - 2.5 mm² / 24 - 12 0.2 - 2.5 mm² / 0.2 - 2.5 mm² / 24 - 12 0.2
Output connection data (solid / stranded / AWG) 0.2 - 2.5 mm² / 0.2 - 2.5 mm² / 24 - 12 0.2 - 2.5 mm² / 0.2 - 2.5 mm² / 24 - 12 0.
Signal connection data (solid / stranded / AWG) 0.2 - 2.5 mm² / 0.2 - 2.5 mm² / 24 - 12 0.2 - 2.5 mm² / 0.2 - 2.5 mm² / 24 - 12 0.
Degree of protection / Protection class IP20 / III
MTBF (IEC 61709, SN 29500) > 995000 h (40°C)
Ambient temperature (operation) -25°C ... 70°C (> 60°C derating: 2.5%/K,
startup at -40°C type-tested)
Max. permissible relative humidity (operation) ≤ 95% (at 25°C, non-condensing)
Standards/regulations
Insulation voltage input/output 1 kV (routine test) / 1.5 kV (type test) 1 kV (routine test) / 1.5 kV (type test) 1 kV (routine te
Electromagnetic compatibility Conformance with EMC Directive 2004/108/EC Conformance with EMC Directive 2004/108/EC Conformance wi
Electrical safety EN 60950-1/VDE 0805 (SELV) EN 60950-1/VDE 0805 (SELV) EN 60950-1/VDE 0805 (SELV) EN 60950-1/VDE 0805 (SELV)
Electronic equipm. for electrical power installations EN 50178/VDE 0160 (PELV) EN 50178/VDE 0160 (PELV) EN 50178/VDE 0160 (PELV) EN
Safe isolation DIN VDE 0100-410
UL approvals UL/C-UL listed UL 508, UL/C-UL Recognized UL 60950,
UL ANSI/ISA-12.12.01 Class I, Division 2, Groups A, B, C, D
(Hazardous Location)
Ordering data
Description Type Order No. Pcs. /
Pkt.
DC/DC converter, primary-switched
QUINT-PS/48DC/24DC/ 5 2320144 1
200
PHOENIX CONTACT
QUINT DC/DC converters
QUINT POWER, 48VDC to
110VDC input
– Support conversion to various voltage
levels
– Constant voltage: output voltage
regenerated even at the end of long
cables
– Electrical isolation: for setting up
independent supply systems
– SFB technology: quick tripping of
standard circuit breakers, thanks to the
dynamic power reserve with up to
6 times the nominal current for 12 ms
– Reliable starting of difficult loads thanks
to the static POWER BOOST power
reserve with up to 125% of the nominal
current permanently
– Preventive function monitoring warns
against critical operating states before
errors occur
Power supplies and UPS
DC/DC converters
H
W
D
DC/DC converter,
48 V DC/24 V DC, 5 A

DC OK
U>38,4 V
IN
I<IN
13
14
++
+
--
-
-
DC OK
U> 0.8 x U
INN
I<IN
13
14
++
+
--
-
-
DC OK
U> 0.8 x U
INN
I<IN
13
14
++
+
--
-
-
For further information and full technical data, visit phoenixcontact.net/products
Technical data Technical data Technical data
48 V DC 60 V DC ... 72 V DC 96 V DC ... 110 V DC
30 V DC ... 60 V DC 42 V DC ... 96 V DC 67,2 V DC ... 154 V DC
7 A (48 V, I
BOOST
) 5.6 A (60 V DC) / 4.7 A (72 V DC) 3.5 A (96 V DC) / 3.1 A (110 V DC)
< 6 A / 0.3 A
2
s < 9 A / 0.64 A
2
s < 10 A / 0.37 A
2
s
> 10 ms (48 V DC) > 10 ms (60 V DC) > 10 ms (96 V DC)
48VDC ±1% 24VDC ±1% 24VDC ±1%
Setting range of the output voltage 18 V DC ... 29.5 V DC (> 24 V constant capacity) 30 V DC ... 56 V DC (> 48 V constant capacity) 18 V DC ... 29.5 V DC (> 24 V constant capacity) 18 V DC ... 29.5 V DC (> 24 V constant capacity)
5 A / 6.25 A / 30 A 10 A / 12.5 A / 60 A 10 A / 12.5 A / 60 A
B2 / B4 / C2 B2 / B4 / B6 B2 / B4 / B6
Yes / Yes Yes / Yes Yes / Yes
2.7 W / 20 W 4 W (U
IN
60 V DC) / 24 W (U
IN
60 V DC) 4 W (U
IN
110 V DC) / 22 W (U
IN
110 V DC)
> 93% > 91% (U
IN
60 V DC / U
OUT
24 V DC) > 92% (U
IN
96 V DC / U
OUT
24VDC)
< 20 mV
PP
< 20 mV
PP
< 20 mV
PP
Signaling DC OK LED, active switching output LED, active switching output LED, active switching output, relay contact LED, active switching output, relay contact
Boost signaling LED, active switching output LED, active switching output LED, active switching output LED, active switching output
signaling LED, active switching output LED, active switching output LED, active switching output LED, active switching output
Weight / Dimensions W x H x D 0.7 kg / 32 x 130 x 125 mm 0.9 kg / 48 x 130 x 125 mm 1 kg / 48 x 130 x 125 mm 0.9 kg / 48 x 130 x 125 mm
Alignable: 5 mm horizontally, 15 mm next to active components,
50 mm vertically
Alignable: 5 mm horizontally, 15 mm next to active components,
50 mm vertically
Alignable: 5 mm horizontally, 15 mm next to active components,
50 mm vertically
Connection method Plug-in screw connection Plug-in screw connection Plug-in screw connection Plug-in screw connection
Input connection data (solid / stranded / AWG) 0.2 - 2.5 mm² / 0.2 - 2.5 mm² / 24 - 12 0.2 - 2.5 mm² / 0.2 - 2.5 mm² / 24 - 12 0.2 - 2.5 mm² / 0.2 - 2.5 mm² / 24 - 12 0.2 - 2.5 mm² / 0.2 - 2.5 mm² / 24 - 12
/ 0.2 - 2.5 mm² / 24 - 12 0.2 - 2.5 mm² / 0.2 - 2.5 mm² / 24 - 12 0.2 - 2.5 mm² / 0.2 - 2.5 mm² / 24 - 12 0.2 - 2.5 mm² / 0.2 - 2.5 mm² / 24 - 12
Signal connection data (solid / stranded / AWG) 0.2 - 2.5 mm² / 0.2 - 2.5 mm² / 24 - 12 0.2 - 2.5 mm² / 0.2 - 2.5 mm² / 24 - 12 0.2 - 2.5 mm² / 0.2 - 2.5 mm² / 24 - 12 0.2 - 2.5 mm² / 0.2 - 2.5 mm² / 24 - 12
IP20 / III IP20 / I IP20 / I
> 872000 h (40°C) > 765000 h (40°C) > 772000 h (40°C)
-25°C ... 70°C (> 60°C derating: 2.5%/K,
startup at -40°C type-tested)
-25°C ... 70°C (> 60°C derating: 2.5%/K,
startup at -40°C type-tested)
-25°C ... 70°C (> 60°C derating: 2.5%/K,
startup at -40°C type-tested)
≤ 95% (at 25°C, non-condensing) ≤ 95% (at 25°C, non-condensing) ≤ 95% (at 25°C, non-condensing)
test) 1 kV (routine test) / 1.5 kV (type test) 1 kV (routine test) / 1.5 kV (type test) 1 kV (routine test) / 1.5 kV (type test)
Electromagnetic compatibility Conformance with EMC Directive 2004/108/EC Conformance with EMC Directive 2004/108/EC Conformance with EMC Directive 2004/108/EC Conformance with EMC Directive 2004/108/EC
Electrical safety EN 60950-1/VDE 0805 (SELV) EN 60950-1/VDE 0805 (SELV) EN 60950-1/VDE 0805 (SELV) EN 60950-1/VDE 0805 (SELV)
0160 (PELV) EN 50178/VDE 0160 (PELV) EN 50178/VDE 0160 (PELV) EN 50178/VDE 0160 (PELV)
DIN VDE 0100-410 DIN VDE 0100-410 DIN VDE 0100-410
UL/C-UL listed UL 508, UL/C-UL Recognized UL 60950 UL/C-UL listed UL 508, UL/C-UL Recognized UL 60950 UL/C-UL listed UL 508, UL/C-UL Recognized UL 60950
Ordering data Ordering data Ordering data
Type Order No. Pcs. /
Pkt. Type Order No. Pcs. /
Pkt. Type Order No. Pcs. /
Pkt.
QUINT-PS/48DC/48DC/5 2905008 1QUINT-PS/60-72DC/24DC/10 2905009 1QUINT-PS/96-110DC/24DC/10 2905010 1
201
PHOENIX CONTACT
Power supplies and UPS
DC/DC converters
H
W
D
new
H
W
D
new
H
W
D
new
DC/DC converter,
48 V DC/48 V DC, 5 A
DC/DC converter,
60 - 72 V DC/24 V DC, 10 A
DC/DC converter,
96 - 110 V DC/24 V DC, 10 A

DC OK
U >19,2 V
IN
I<IN
++
+
--
-
-
DCOK
U>19,2V
IN
I<IN
13
14
++
+
--
-
-
Ex:
Ex:
Technical data Technical data
Input data
Nominal input voltage range 24 V DC 24 V DC
Input voltage range 18 V DC ... 32 V DC 18 V DC ... 32 V DC
Current consumption (POWERBOOST) 7 A (24 V, I
BOOST
) 14 A (24 V, I
BOOST
)
Inrush current limitation at 25°C (typ.) / I
2
t < 15 A / < 0.5 A
2
s < 15 A / < 2.7 A
2
s
Mains buffering (I
N
, typ.) > 10 ms (24 V DC) > 12 ms (24 V DC)
Output data
Nominal output voltage 24 V DC ±1% 24 V DC ±1%
Setting range of the output voltage 18 V DC ... 29.5 V DC (> 24 V constant capacity) 18 V DC ... 29.5 V DC (> 24 V constant capacity) 18 V D
Output current / POWER BOOST / SFB (12 ms) 5 A / 6.25 A / 30 A 10 A / 12.5 A / 60 A
Magnetic fuse tripping B2 / B4 / C2 B2 / B4 / B6 / C2 / C4
Can be connected in parallel / series Yes / Yes Yes / Yes
Max. power dissipation (no load / nominal load) 2.4 W / 11.4 W 1.6 W / 24 W
Efficiency (typ.) > 92% > 92%
Residual ripple < 20 mV
PP
< 20 mV
PP
Signaling
Signaling DC OK LED, active switching output LED, active switching output, relay contact LED, active switching output, relay conta
Boost signaling LED, active switching output LED, active switching output LED, active switching outp
U
IN
signaling LED, active switching output LED, active switching output LED, active switching output LE
General data
Weight / Dimensions W x H x D 0.7 kg / 32 x 130 x 125 mm 0.9 kg / 48 x 130 x 125 mm 1.7 kg / 82 x 130 x 125 mm 1 kg / 48 x 130 x 12
Spacing when mounting Alignable: 5 mm horizontally, 15 mm next to active components,
50 mm vertically
Alignable: 5 mm horizontally, 15 mm next to active components,
50 mm vertically
Connection method Plug-in screw connection Plug-in screw connection Screw connection Plug-in screw connection Plug-in screw connecti
Input connection data (solid / stranded / AWG) 0.2 - 2.5 mm² / 0.2 - 2.5 mm² / 24 - 12 0.2 - 2.5 mm² / 0.2 - 2.5 mm² / 24 - 12 0.5
Output connection data (solid / stranded / AWG) 0.2 - 2.5 mm² / 0.2 - 2.5 mm² / 24 - 12 0.2 - 2.5 mm² / 0.2 - 2.5 mm² / 24 - 12 0.
Signal connection data (solid / stranded / AWG) 0.2 - 2.5 mm² / 0.2 - 2.5 mm² / 24 - 12 0.2 - 2.5 mm² / 0.2 - 2.5 mm² / 24 - 12 0.
Degree of protection / Protection class IP20 / III IP20 / III
MTBF (IEC 61709, SN 29500) > 890000 h (40°C) > 763000 h (40°C)
Ambient temperature (operation) -25°C ... 70°C (> 60°C derating: 2.5%/K,
startup at -40°C type-tested)
-25°C ... 70°C (> 60°C derating: 2.5%/K,
startup at -40°C type-tested)
Max. permissible relative humidity (operation) 100% (at 25°C, non-condensing) 100% (at 25°C, non-condensing) 100% (at 25°C, non-co
Standards/regulations
Insulation voltage input/output 1 kV (routine test) / 1.5 kV (type test) 1 kV (routine test) / 1.5 kV (type test) 1 kV (routine te
Electromagnetic compatibility Conformance with EMC Directive 2004/108/EC Conformance with EMC Directive 2004/108/EC Conformance wi
Electrical safety EN 60950-1/VDE 0805 (SELV) EN 60950-1/VDE 0805 (SELV) EN 60950-1/VDE 0805 (SELV) EN 60950-1/VDE 0805 (SELV) EN 609
Electronic equipm. for electrical power installations EN 50178/VDE 0160 (PELV) EN 50178/VDE 0160 (PELV) EN 50178/VDE 0160 (PELV) EN
Safe isolation DIN VDE 0100-410 DIN VDE 0100-410
Rail applications EN 50121-4 / EN 50155 EN 50121-4 / EN 50155 EN 50121-4 / EN 50155 EN 50121-4 / EN 50155 EN 50121-4 / EN 50155
UL approvals UL/C-UL listed UL 508, UL/C-UL Recognized UL 60950,
UL ANSI/ISA-12.12.01 Class I, Division 2, Groups A, B, C, D
(Hazardous Location)
UL/C-UL listed UL 508, UL/C-UL Recognized UL 60950,
UL ANSI/ISA-12.12.01 Class I, Division 2, Groups A, B, C, D
(Hazardous Location)
Ordering data Ordering data
Description Type Order No. Pcs. /
Pkt. Type Order No. Pcs. /
Pkt.
DC/DC converter, primary-switched, dip-coated
QUINT-PS/24DC/24DC/ 5/CO 2320542 1QUINT-PS/24DC/24DC/10/CO 2320555 1
202
PHOENIX CONTACT
QUINT POWER with protective
coating
With ATEX approval for superior system
availability under extreme ambient
conditions, such as dust, dirt, corrosive
gases, and 100% humidity
– Complies with standard EN 60079-15 and
may be installed in a potentially explosive
area
– Suitable for use in Class I, Division 2
– OVP (Over Voltage Protection) limits
surge voltages to 32 V
– Temperature range from -40°C to +70°C,
Groups A, B, C, D
QUINT DC/DC converters for
extreme requirements
Power supplies and UPS
DC/DC converters
DC/DC converter,
with protective coating,
24 V DC/24 V DC, 5 A
DC/DC converter,
with protective coating,
24 V DC/24 V DC, 10 A
H
W
D
H
W
D

DCOK
U>19,2V
IN
I<IN
13
14
++
+
--
-
-
DC OK
U> 0.8 x U
INN
I<IN
13
14
++
+
--
-
-
DC OK
U> 0.8 x U
INN
I<IN
13
14
++
+
--
-
-
For further information and full technical data, visit phoenixcontact.net/products
Ex:
Technical data Technical data Technical data
24 V DC 60 V DC ... 72 V DC 96 V DC ... 110 V DC
18 V DC ... 32 V DC 42 V DC ... 96 V DC 67,2 V DC ... 154 V DC
28 A (24 V, I
BOOST
) 5.6 A (60 V DC) / 4.7 A (72 V DC) 3.5 A (96 V DC) / 3.1 A (110 V DC)
< 26 A / < 11 A
2
s < 9 A / 0.64 A
2
s < 10 A / 0.37 A
2
s
> 10 ms (24 V DC) > 10 ms (60 V DC) > 10 ms (96 V DC)
24VDC ±1% 24 V DC ±1% 24VDC ±1%
Setting range of the output voltage 18 V DC ... 29.5 V DC (> 24 V constant capacity) 18 V DC ... 29.5 V DC (> 24 V constant capacity) 18 V DC ... 29.5 V DC (> 24 V constant capacity) 18 V DC ... 29.5 V DC (> 24 V constant capacity) 18 V DC ... 29.5 V DC (> 24 V constant capacity)
20 A / 25 A / 120 A 10 A / 12.5 A / 60 A 10 A / 12.5 A / 60 A
B2 / B4 / B6 / B10 / B16 / C2 / C4 / C6 B2 / B4 / B6 B2 / B4 / B6
Yes / Yes Yes / Yes Yes / Yes
2.2 W / 39 W 4 W (U
IN
60 V DC) / 24 W (U
IN
60 V DC) 4 W (U
IN
110 V DC) / 22 W (U
IN
110 V DC)
> 92% > 91% (U
IN
60 V DC / U
OUT
24 V DC) > 92% (U
IN
96 V DC / U
OUT
24VDC)
< 20 mV
PP
< 20 mV
PP
< 20 mV
PP
g output, relay contact LED, active switching output, relay contact LED, active switching output, relay contact LED, active switching output, relay contact
output LED, active switching output LED, active switching output LED, active switching output
ut LED, active switching output LED, active switching output LED, active switching output
Weight / Dimensions W x H x D 0.7 kg / 32 x 130 x 125 mm 0.9 kg / 48 x 130 x 125 mm 1.7 kg / 82 x 130 x 125 mm 1 kg / 48 x 130 x 125 mm 0.9 kg / 48 x 130 x 125 mm
Alignable: 5 mm horizontally, 15 mm next to active components,
50 mm vertically
Alignable: 5 mm horizontally, 15 mm next to active components,
50 mm vertically
Alignable: 5 mm horizontally, 15 mm next to active components,
50 mm vertically
Connection method Plug-in screw connection Plug-in screw connection Screw connection Plug-in screw connection Plug-in screw connection
Input connection data (solid / stranded / AWG) 0.2 - 2.5 mm² / 0.2 - 2.5 mm² / 24 - 12 0.2 - 2.5 mm² / 0.2 - 2.5 mm² / 24 - 12 0.5 - 16 mm² / 0.5 - 16 mm² / 8 - 6 0.2 - 2.5 mm² / 0.2 - 2.5 mm² / 24 - 12 0.2 - 2.5 mm² / 0.2 - 2.5 mm² / 24 - 12
Output connection data (solid / stranded / AWG) 0.2 - 2.5 mm² / 0.2 - 2.5 mm² / 24 - 12 0.2 - 2.5 mm² / 0.2 - 2.5 mm² / 24 - 12 0.2 - 6 mm² / 0.2 - 4 mm² / 12 - 10 0.2 - 2.5 mm² / 0.2 - 2.5 mm² / 24 - 12 0.2 - 2.5 mm² / 0.2 - 2.5 mm² / 24 - 12
Signal connection data (solid / stranded / AWG) 0.2 - 2.5 mm² / 0.2 - 2.5 mm² / 24 - 12 0.2 - 2.5 mm² / 0.2 - 2.5 mm² / 24 - 12 0.2 - 2.5 mm² / 0.2 - 2.5 mm² / 24 - 12 0.2 - 2.5 mm² / 0.2 - 2.5 mm² / 24 - 12 0.2 - 2.5 mm² / 0.2 - 2.5 mm² / 24 - 12
IP20 / III IP20 / I IP20 / I
> 554000 h (40°C) > 765000 h (40°C) > 772000 h (40°C)
-25°C ... 70°C (> 60°C derating: 2.5%/K,
startup at -40°C type-tested)
-25°C ... 70°C (> 60°C derating: 2.5%/K,
startup at -40°C type-tested)
-25°C ... 70°C (> 60°C derating: 2.5%/K,
startup at -40°C type-tested)
Max. permissible relative humidity (operation) 100% (at 25°C, non-condensing) 100% (at 25°C, non-condensing) 100% (at 25°C, non-condensing) 100% (at 25°C, non-condensing) 100% (at 25°C, non-condensing)
test) 1 kV (routine test) / 1.5 kV (type test) 1 kV (routine test) / 1.5 kV (type test) 1 kV (routine test) / 1.5 kV (type test) 1 kV (routine test) / 1.5 kV (type test)
Electromagnetic compatibility Conformance with EMC Directive 2004/108/EC Conformance with EMC Directive 2004/108/EC Conformance with EMC Directive 2004/108/EC Conformance with EMC Directive 2004/108/EC Conformance with EMC Directive 2004/108/EC
Electrical safety EN 60950-1/VDE 0805 (SELV) EN 60950-1/VDE 0805 (SELV) EN 60950-1/VDE 0805 (SELV) EN 60950-1/VDE 0805 (SELV) EN 60950-1/VDE 0805 (SELV)
Electronic equipm. for electrical power installations EN 50178/VDE 0160 (PELV) EN 50178/VDE 0160 (PELV) EN 50178/VDE 0160 (PELV) EN 50178/VDE 0160 (PELV) EN 50178/VDE 0160 (PELV)
DIN VDE 0100-410 DIN VDE 0100-410 DIN VDE 0100-410
Rail applications EN 50121-4 / EN 50155 EN 50121-4 / EN 50155 EN 50121-4 / EN 50155 EN 50121-4 / EN 50155 EN 50121-4 / EN 50155
UL/C-UL listed UL 508, UL/C-UL Recognized UL 60950,
UL ANSI/ISA-12.12.01 Class I, Division 2, Groups A, B, C, D
(Hazardous Location)
UL/C-UL listed UL 508, UL/C-UL Recognized UL 60950 UL/C-UL listed UL 508, UL/C-UL Recognized UL 60950
Ordering data Ordering data Ordering data
Type Order No. Pcs. /
Pkt. Type Order No. Pcs. /
Pkt. Type Order No. Pcs. /
Pkt.
QUINT-PS/24DC/24DC/20/CO 2320568 1QUINT-PS/60-72DC/24DC/10/CO 2905011 1QUINT-PS/96-110DC/24DC/10/CO 2905012 1
203
PHOENIX CONTACT
Power supplies and UPS
DC/DC converters
H
W
D
new
DC/DC converter,
with protective coating,
24 V DC/24 V DC, 20 A
DC/DC converter,
with protective coating,
60 - 72VDC/24VDC, 10A
DC/DC converter,
with protective coating,
96 - 110VDC/24VDC, 10A
H
W
D
H
W
D
new

NC
NC
DC OK
NC
NC
DC OK
Ex:
Ex:
Technical data Technical data
Input data
Nominal input voltage range 12 V DC ... 24 V DC 12 V DC ... 24 V DC
Input voltage range 10 V DC ... 32 V DC 10 V DC ... 32 V DC
Current consumption (nominal load) 2.6 A (12 V DC) / 1.3 A (24 V DC) 2.3 A (12 V DC) / 1.1 A (24 V DC) 3.2 A (12 V DC) / 1.6 A (24 V DC) 0.6 A
Inrush current limitation at 25°C (typ.) / I
2
t < 15 A / 1.8 A
2
s < 10 A / 0.2 A
2
s
Output data
Nominal output voltage 24 V DC ±1% 12 V DC ±1%
Setting range of the output voltage 22.5 V DC ... 28.5 V DC (> 24 V constant capacity) 5 V DC ... 15 V DC
Output current 1 A 2 A
Can be connected in parallel / series Yes / Yes Yes / Yes
Max. power dissipation (no load / nominal load) < 1.2 W / < 5 W < 1 W / < 4.2 W
Efficiency (typ.) > 83% (at 24 V DC and nominal values) > 88% (at 24 V DC and nominal values) > 87% (at 24 V DC and nominal values) > 85%
Residual ripple < 30 mV
PP
< 20 mV
PP
Signaling
Signaling DC OK LED, active switching output LED, active switching output LED, active switching ou
General data
Weight / Dimensions W x H x D 0.2 kg / 22.5 x 99 x 107 mm 0.2 kg / 22.5 x 99 x 107 mm 0.2 kg / 22.5 x 99 x 107 mm 0.2 kg / 22.5 x 9
Spacing when mounting Alignable: horizontally 0 mm, vertically 50 mm Alignable: horizontally 0 mm, vertically 50 mm Alignable: hor
Connection method Plug-in screw connection Plug-in screw connection Plug-in screw connection Plug-in screw connection Plug-in screw
Input connection data (solid / stranded / AWG) 0.2 - 2.5 mm² / 0.2 - 2.5 mm² / 24 - 14 0.2 - 2.5 mm² / 0.2 - 2.5 mm² / 24 - 14 0.2
Output connection data (solid / stranded / AWG) 0.2 - 2.5 mm² / 0.2 - 2.5 mm² / 24 - 14 0.2 - 2.5 mm² / 0.2 - 2.5 mm² / 24 - 14 0.
Signal connection data (solid / stranded / AWG) 0.2 - 2.5 mm² / 0.2 - 2.5 mm² / 24 - 14 0.2 - 2.5 mm² / 0.2 - 2.5 mm² / 24 - 14 0.
Degree of protection / Protection class IP20 / III IP20 / III
MTBF (IEC 61709, SN 29500) > 2569000 h (40°C) > 2072000 h (40°C)
Ambient temperature (operation) -25°C ... 70°C (> 60°C derating: 2.5%/K) -25°C ... 70°C (> +60°C derating) -25°C ... 70°C (> +60°C
Max. permissible relative humidity (operation) ≤ 95% (at 25°C, non-condensing) ≤ 95% (at +25°C, non-condensing)
Standards/regulations
Insulation voltage input/output 1 kV (routine test) / 1.5 kV (type test) 1 kV (routine test) / 1.5 kV (type test) 1 kV (routine te
Electromagnetic compatibility Conformance with EMC Directive 2004/108/EC Conformance with EMC Directive 2004/108/EC Conformance wi
Electrical safety EN 60950-1/VDE 0805 (SELV) EN 60950-1/VDE 0805 (SELV) EN 60950-1/VDE 0805 (SELV) EN 60950-1/VDE 0805 (SELV) EN 609
Electronic equipm. for electrical power installations EN 50178/VDE 0160 (PELV) EN 50178/VDE 0160 (PELV) EN 50178/VDE 0160 (PELV) EN
Safe isolation DIN VDE 0100-410, DIN VDE 0106-101 DIN VDE 0100-410, DIN VDE 0106-101 DIN VDE 0100-410, DIN VDE 0106-101 DIN VDE 010
UL approvals UL/C-UL listed UL 508, UL/C-UL Recognized UL 60950,
UL ANSI/ISA-12.12.01 Class I, Division 2, Groups A, B, C, D
(Hazardous Location)
UL/C-UL listed UL 508, UL/C-UL Recognized UL 60950,
UL ANSI/ISA-12.12.01 Class I, Division 2, Groups A, B, C, D
(Hazardous Location)
Ordering data Ordering data
Description Type Order No. Pcs. /
Pkt. Type Order No. Pcs. /
Pkt.
DC/DC converter, primary-switched
MINI-PS- 12- 24DC/24DC/1 2866284 1MINI-PS- 12- 24DC/ 5-15DC/2 2320018 1
204
PHOENIX CONTACT
MINI POWER, 12VDC to 60VDC
input
– Support conversion to various voltage
levels
– Constant voltage: output voltage
regenerated even at the end of long
cables
– Electrical isolation: for setting up
independent supply systems
MINI AC power terminal
– For supplying MINI DC/DC converters
from unregulated AC networks
– The AC voltage of a transformer is
rectified and filtered
MINI DC/DC converters
Power supplies and UPS
DC/DC converters
DC/DC converter,
12 - 24 V DC / 24 V DC, 1 A
DC/DC converter,
12 - 24 V DC / 5 - 15 V DC, 2 A
H
W
D
H
W
D

NC
NC
DC OK
NC
NC
DC OK
(+)
(-)
NC
NC
NC
NC
~
~
For further information and full technical data, visit phoenixcontact.net/products
Ex:
Ex:
Technical data Technical data Technical data
12VDC ... 24VDC 48VDC ... 60VDC 10VAC ... 42VAC
10VDC ... 32VDC 36VDC ... 75VDC 10VAC ... 42VAC
Current consumption (nominal load) 2.6 A (12 V DC) / 1.3 A (24 V DC) 2.3 A (12 V DC) / 1.1 A (24 V DC) 3.2 A (12 V DC) / 1.6 A (24 V DC) 0.6 A (48 V DC) / 0.5 A (60 V DC) 6.5 A
< 10 A / 0.3 A
2
s < 15 A / 1.8 A
2
s < 45 A / 8 A
2
s
48VDC ±1% 24 V DC ±1% 24VDC ±1%
30 V DC ... 56 V DC (> 48 V constant capacity) 22.5 V DC ... 28.5 V DC (> 24 V constant capacity) -
0.7 A 1 A 3 A
Yes / Yes Yes / Yes Yes / No
< 1.5 W / < 4.5 W < 1.2 W / < 5 W < 0.04 W / < 6.9 W
Efficiency (typ.) > 83% (at 24 V DC and nominal values) > 88% (at 24 V DC and nominal values) > 87% (at 24 V DC and nominal values) > 85% (at 60 V DC and nominal values) > 95.7% (at 42 V AC and nominal values)
< 20 mV
PP
< 40 mV
PP
< 3.6 V
PP
g output LED, active switching output LED, active switching output -
/ 22.5 x 99 x 107 mm 0.2 kg / 22.5 x 99 x 107 mm 0.2 kg / 22.5 x 99 x 107 mm 0.16 kg / 22.5 x 99 x 107 mm
mm Alignable: horizontally 0 mm, vertically 50 mm Alignable: horizontally 0 mm, vertically 50 mm Alignable: horizontally 0 mm, vertically 50 mm Alignable: horizontally 0 mm, vertically 50 mm
Connection method Plug-in screw connection Plug-in screw connection Plug-in screw connection Plug-in screw connection Plug-in screw connection
Input connection data (solid / stranded / AWG) 0.2 - 2.5 mm² / 0.2 - 2.5 mm² / 24 - 14 0.2 - 2.5 mm² / 0.2 - 2.5 mm² / 24 - 14 0.2 - 2.5 mm² / 0.2 - 2.5 mm² / 24 - 14 0.2 - 2.5 mm² / 0.2 - 2.5 mm² / 24 - 14 0.2 - 2.5 mm² / 0.2 - 2.5 mm² / 24 - 12
Output connection data (solid / stranded / AWG) 0.2 - 2.5 mm² / 0.2 - 2.5 mm² / 24 - 14 0.2 - 2.5 mm² / 0.2 - 2.5 mm² / 24 - 14 0.2 - 2.5 mm² / 0.2 - 2.5 mm² / 24 - 14 0.2 - 2.5 mm² / 0.2 - 2.5 mm² / 24 - 14 0.2 - 2.5 mm² / 0.2 - 2.5 mm² / 24 - 12
Signal connection data (solid / stranded / AWG) 0.2 - 2.5 mm² / 0.2 - 2.5 mm² / 24 - 14 0.2 - 2.5 mm² / 0.2 - 2.5 mm² / 24 - 14 0.2 - 2.5 mm² / 0.2 - 2.5 mm² / 24 - 14 0.2 - 2.5 mm² / 0.2 - 2.5 mm² / 24 - 14 - / - / -
IP20 / III IP20 / II IP20 / III
> 1993000 h (40°C) > 1147000 h (40°C) > 18175000 h (40°C)
: 2.5%/K) -25°C ... 70°C (> +60°C derating) -25°C ... 70°C (> +60°C derating) -25°C ... 70°C (> 60°C derating: 2.5%/K) -25°C ... 70°C (> 60°C derating: 2.5%/K)
≤ 95% (at +25°C, non-condensing) ≤ 95% (at 25°C, non-condensing) ≤ 95% (at 25°C, non-condensing)
test) 1 kV (routine test) / 1.5 kV (type test) 1 kV (routine test) / 1.5 kV (type test) 1 kV (routine test) / 1.5 kV (type test) 1 kV (routine test) / 1.5 kV (type test)
Electromagnetic compatibility Conformance with EMC Directive 2004/108/EC Conformance with EMC Directive 2004/108/EC Conformance with EMC Directive 2004/108/EC Conformance with EMC Directive 2004/108/EC Conformance with EMC Directive 2004/108/EC
Electrical safety EN 60950-1/VDE 0805 (SELV) EN 60950-1/VDE 0805 (SELV) EN 60950-1/VDE 0805 (SELV) EN 60950-1/VDE 0805 (SELV) EN 60950-1/VDE 0805 (SELV)
Electronic equipm. for electrical power installations EN 50178/VDE 0160 (PELV) EN 50178/VDE 0160 (PELV) EN 50178/VDE 0160 (PELV) EN 50178/VDE 0160 (PELV) EN 50178/VDE 0160 (PELV)
, DIN VDE 0106-101 DIN VDE 0100-410, DIN VDE 0106-101 DIN VDE 0100-410, DIN VDE 0106-101 -
UL/C-UL listed UL 508, UL/C-UL Recognized UL 60950,
UL ANSI/ISA-12.12.01 Class I, Division 2, Groups A, B, C, D
(Hazardous Location)
UL/C-UL listed UL 508, UL/C-UL Recognized UL 60950,
UL ANSI/ISA-12.12.01 Class I, Division 2, Groups A, B, C, D
(Hazardous Location)
UL/C-UL listed UL 508, UL/C-UL Recognized UL 60950
Ordering data Ordering data Ordering data
Type Order No. Pcs. /
Pkt. Type Order No. Pcs. /
Pkt. Type Order No. Pcs. /
Pkt.
MINI-PS- 12- 24DC/48DC/0.7 2320021 1MINI-PS- 48- 60DC/24DC/1 2866271 1MINI-PS- 10- 42AC/15-60DC/3 2320199 1
205
PHOENIX CONTACT
Power supplies and UPS
DC/DC converters
H
W
D
DC/DC converter,
12 - 24 V DC / 48 V DC, 0.7 A
DC/DC converter,
48 - 60 V DC / 24 V DC, 1 A
AC power terminal for
MINI DC/DC converter
H
W
D
H
W
D

206
PHOENIX CONTACT
Power supplies and UPS
Redundancy modules
Maximum availability due to
redundancy modules
To prevent errors influencing the load in a
redundant system and to increase
operational reliability, the power supplies
must be decoupled from one another using
a redundancy module. Phoenix Contact
offers various solutions depending on the
requirements:
Decoupling with QUINTDIODE,
UNODIODE, and STEPDIODE
redundancy modules
If the power supply units are decoupled, a
short circuit at the output of one of the
power supply units or in the supply line
from the power supply unit to the diode no
longer has any affect on the load.
Decoupling and monitoring with
TRIO DIODE redundancy modules
The redundancy modules check the
output voltages of the power supply units,
as well as the wiring up to the redundancy
module itself. Should one of these pathways
short circuit, the load will continue to be
supplied. Cable breaks are also detected and
reported.
Decoupling, monitoring, and closed-
loop control by means of the QUINT
ORING active redundancy modules
The QUINT ORING active redundancy
modules monitor the entire redundant
solution, i.e., the power supply unit
voltages, the wiring, decoupling, and the
load current. Critical operating states can
therefore be detected at an early stage and
redundancy can be restored. For example,
incorrect wiring or faulty cables are
indicated.
QUINT ORING with ACB technology
doubles the service life of the redundant
system:
As a result of asymmetries, the load is
often supplied by one power supply unit,
while the other runs in no-load operation.
This results in a thermal overload of the
working power supply unit and thereby
rapid aging. If the power supply unit is
operated at half the nominal current, it
remains significantly cooler.
The ACB technology of the QUINT
ORING modules ensures symmetrical
loading of the power supplies and thereby
up to double the service life of the
redundant system.
Your web code: #0153

For further information and full technical data, visit phoenixcontact.net/products
207
PHOENIX CONTACT
Power supplies and UPS
Redundancy modules
QUINT ORING active redundancy
module for maximum system
availability
Constant monitoring of input voltage,
output current, and decoupling section
– Preventive function monitoring
– Consistent redundancy
– ACB technology doubles the service life
– Energy savings of 70% by using MOSFETs
over diodes
QUINT ORING and DIODE for
extreme requirements
The protective coating protects against
dust, corrosive gases, and 100%humidity as
well as failure caused by corrosion-related
creepage currents and electrochemical
migration.
– OVP (Over Voltage Protection) limits
surge voltages to 32 V
– Wide temperature range from -40°C to
+70°C
TRIO DIODE redundancy module
– Permanent redundancy monitoring
– Consistent redundancy up to the load
– Flexible: nominal voltages of 12 V DC to
48 V DC
QUINT DIODE redundancy module
– Robust design for currents of up to 60 A
– Consistent redundancy up to the load
– Flexible: nominal voltages of 12 V DC to
48 V DC
UNO DIODE redundancy module
– Consistent redundancy up to the load
– Flexible: nominal voltages of 5 V DC to
24 V DC
STEP DIODE redundancy module
– Space-saving: overall width of just 18 mm
– Consistent redundancy up to the load
– Flexible: nominal voltages of 5 V DC to
24 V DC

+
+
14
23
24
+
+
I...[A]
-
-
-
IN2
IN1
Out
13
30 V AC/DC
100 mA
ABS
Ex:
Technical data
Input data
Nominal input voltage range 24 V DC
Input voltage range 18 V DC ... 28 V DC
Nominal current 2x 10 A (-25°C ... 60°C) 2x 20 A (-25°C ... 60°C) 2x 40 A (-25°C ... 60°C)
1x 20 A (-25°C ... 60°C) 1x 40 A (-25°C ... 60°C) 1x 80 A (-25°C ... 60°C)
Maximum current 2x 15 A (-25°C ... 40°C) 2x 26 A (-25°C ... 40°C) 2x 45 A (-25°C ... 40°C)
1x 30 A (-25°C ... 40°C) 1x 52 A (-25°C ... 40°C) 1x 90 A (-25°C ... 40°C)
Transient surge protection Varistor
Voltage drop, input/output 0.1 V (I
OUT
= 20 A)
Max. power dissipation (nominal load) 2 W (I
OUT
= 20 A)
General data
Weight / Dimensions W x H x D 0.4 kg / 32 x 130 x 125 mm 0.6 kg / 38 x 130 x 125 mm 0.9 kg / 66 x 130 x 125 mm
Spacing when mounting Alignable: 5 mm horizontally, 15 mm next to active components,
50 mm vertically
Connection method Screw connection
Input connection data (solid / stranded / AWG) 0.2 - 4 mm² / 0.2 - 2.5 mm² / 14 - 12 0.2 - 6 mm² / 0.2 - 4 mm² / 10 0.5 - 16 mm² /
Output connection data (solid / stranded / AWG) 0.2 - 6 mm² / 0.2 - 4 mm² / 10 0.5 - 16 mm² / 0.5 - 16 mm² / 6 0.5 - 35 mm² / 0.5
Degree of protection / Protection class IP20 / III
Ambient temperature (operation) -25°C ... 70°C (> 60°C derating: 2.5%/K,
startup at -40°C type-tested)
Standards/regulations
Insulation voltage: input, output/housing 500 V
Electromagnetic compatibility Conformance with EMC Directive 2004/108/EC Conformance with EMC Directive 2004/108/EC Conformance wi
Electrical safety EN 60950-1/VDE 0805 (SELV) EN 60950-1/VDE 0805 (SELV) EN 60950-1/VDE 0805 (SELV)
Electronic equipm. for electrical power installations EN 50178/VDE 0160 (PELV) EN 50178/VDE 0160 (PELV) EN 50178/VDE 0160 (PELV)
UL approvals UL/C-UL listed UL 508, UL/C-UL Recognized UL 60950,
UL ANSI/ISA-12.12.01 Class I, Division 2, Groups A, B, C, D
(Hazardous Location)
Ordering data
Description Type Order No. Pcs. /
Pkt.
Active redundancy module
QUINT-ORING/24DC/2X10/1X20 2320173 1
208
PHOENIX CONTACT
QUINT ORING
QUINT ORING, 24 V DC
– Preventive function monitoring:
permanent monitoring of the input
voltage, output current, and decoupling
section
– Continuous redundancy right through to
the load: the use of two positive output
terminal blocks makes it possible to
devise a redundant wiring concept that
runs right through to the load.
– Double the service life of the redundant
solution thanks to even load distribution:
the ACB (Auto Current Balancing)
technology automatically and
symmetrically distributes the load current
to two power supply units operating in
parallel.
– Save energy: decoupling is achieved with
MOSFETs and results in energy savings of
up to 70% compared with conventional
diodes.
– OVP (Over Voltage Protection): surge
voltages are limited to 32V
QUINT ORING, with protective
coating
With ATEX approval for superior system
availability under extreme ambient
conditions, such as dust, dirt, corrosive
gases, and 100% humidity
– Complies with standard EN 60079-15 and
may be installed in a potentially explosive
area
– Suitable for use in Class I, Division 2
Power supplies and UPS
Redundancy modules
H
W
D
Active redundancy module, with protective
coating,
24 V DC, 2 x 10 A, 1 x 20 A

+
+
14
23
24
+
+
I...[A]
-
-
-
IN2
IN1
Out
13
30 V AC/DC
100 mA
+
+
14
23
24
+
+
I...[A]
-
-
-
IN2
IN1
Out
13
30 V AC/DC
100 mA
For further information and full technical data, visit phoenixcontact.net/products
ABS
Ex:
Ex:
Technical data Technical data
24VDC 24VDC
18VDC ... 28VDC 18VDC ... 28VDC
Nominal current 2x 10 A (-25°C ... 60°C) 2x 20 A (-25°C ... 60°C) 2x 40 A (-25°C ... 60°C)
1x 20 A (-25°C ... 60°C) 1x 40 A (-25°C ... 60°C) 1x 80 A (-25°C ... 60°C)
Maximum current 2x 15 A (-25°C ... 40°C) 2x 26 A (-25°C ... 40°C) 2x 45 A (-25°C ... 40°C)
1x 30 A (-25°C ... 40°C) 1x 52 A (-25°C ... 40°C) 1x 90 A (-25°C ... 40°C)
Varistor Varistor
0.2 V (I
OUT
= 40 A) 0.2 V (I
OUT
= 80 A)
8 W (I
OUT
= 40 A) 16 W (I
OUT
= 80 A)
mm 0.6 kg / 38 x 130 x 125 mm 0.9 kg / 66 x 130 x 125 mm
Alignable: 5 mm horizontally, 15 mm next to active components,
50 mm vertically
Alignable: 5 mm horizontally, 15 mm next to active components,
50 mm vertically
Screw connection Screw connection
Input connection data (solid / stranded / AWG) 0.2 - 4 mm² / 0.2 - 2.5 mm² / 14 - 12 0.2 - 6 mm² / 0.2 - 4 mm² / 10 0.5 - 16 mm² / 0.5 - 16 mm² / 6
Output connection data (solid / stranded / AWG) 0.2 - 6 mm² / 0.2 - 4 mm² / 10 0.5 - 16 mm² / 0.5 - 16 mm² / 6 0.5 - 35 mm² / 0.5 - 35 mm² / 2
IP20 / III IP20 / III
-25°C ... 70°C (> 60°C derating: 2.5%/K,
startup at -40°C type-tested)
-25°C ... 70°C (> 60°C derating: 2.5%/K,
startup at -40°C type-tested)
500 V 500 V
Electromagnetic compatibility Conformance with EMC Directive 2004/108/EC Conformance with EMC Directive 2004/108/EC Conformance with EMC Directive 2004/108/EC
Electrical safety EN 60950-1/VDE 0805 (SELV) EN 60950-1/VDE 0805 (SELV) EN 60950-1/VDE 0805 (SELV)
E 0160 (PELV) EN 50178/VDE 0160 (PELV) EN 50178/VDE 0160 (PELV)
UL/C-UL listed UL 508, UL/C-UL Recognized UL 60950,
UL ANSI/ISA-12.12.01 Class I, Division 2, Groups A, B, C, D
(Hazardous Location)
UL/C-UL listed UL 508, UL/C-UL Recognized UL 60950,
UL ANSI/ISA-12.12.01 Class I, Division 2, Groups A, B, C, D
(Hazardous Location)
Ordering data Ordering data
Type Order No. Pcs. /
Pkt. Type Order No. Pcs. /
Pkt.
QUINT-ORING/24DC/2X20/1X40 2320186 1QUINT-ORING/24DC/2X40/1X80 2902879 1
209
PHOENIX CONTACT
Power supplies and UPS
Redundancy modules
H
W
D
H
W
D
Active redundancy module, with protective
coating,
24 V DC, 2 x 20 A, 1 x 40 A
Active redundancy module
24 V DC, 2 x 40 A, 1 x 80 A

13
+
IN2
+
+
IN1
+
14
–
2x10 A
13
+
IN2
+
+
IN1
+
14
–
1x20 A
ABS
Technical data
Input data
Nominal input voltage range 12 V DC ... 24 V DC
Input voltage range 10 V DC ... 30 V DC
Nominal current 2x 10 A (-25°C ... 55°C) 2x 10 A (-25°C ... 55°C)
1x 20 A (-25°C ... 55°C) 1x 20 A (-25°C ... 55°C)
Maximum current 2x 15 A (-25°C ... 40°C) 2x 15 A (-25°C ... 40°C)
1x 30 A (-25°C ... 40°C) 1x 30 A (-25°C ... 40°C)
Transient surge protection Varistor
Voltage drop, input/output 0.5 V
Max. power dissipation (nominal load) 7 W (I
OUT
= 10 A)
General data
Weight / Dimensions W x H x D 0.37 kg / 32 x 130 x 115 mm 0.37 kg / 32 x 130 x 115 mm
Spacing when mounting Alignable: horizontally 0 mm, vertically 50 mm Alignable: horizontally 0 mm, vertically 50 mm
Connection method Screw connection
Input connection data (solid / stranded / AWG) 0.2 - 2.5 mm² / 0.2 - 2.5 mm² / 24 - 14 0.2 - 2.5 mm² / 0.2 - 2.5 mm² / 24 - 14
Output connection data (solid / stranded / AWG) 0.5 - 6 mm² / 0.5 - 4 mm² / 20 - 10 0.5 - 6 mm² / 0.5 - 4 mm² / 20 - 10
Degree of protection / Protection class IP20 / III
Ambient temperature (operation) -25°C ... 70°C (> 55° C derating: 2.5%/K) -25°C ... 70°C (> 55° C derating: 2.5%/K)
Standards/regulations
Insulation voltage: input, output/housing 500 V
Electromagnetic compatibility Conformance with EMC Directive 2004/108/EC Conformance with EMC Directive 2004/108/EC
Electrical safety, safety transformer EN 60950-1/VDE 0805 (SELV) EN 60950-1/VDE 0805 (SELV)
Electronic equipm. for electrical power installations EN 50178/VDE 0160 (PELV) EN 50178/VDE 0160 (PELV)
UL approvals UL/C-UL listed UL 508, UL/C-UL Recognized UL 60950 UL/C-UL listed UL 508, UL/C-UL Recognized UL 60950
Ordering data
Description Type Order No. Pcs. /
Pkt.
Redundancy module
TRIO-DIODE/12-24DC/2X10/1X20 2866514 1
210
PHOENIX CONTACT
TRIO DIODE, 12 - 24 and 48 V DC
– Permanent redundancy monitoring:
Checking of output voltages of parallel-
connected power supplies and of wiring
running to the redundancy module
– Continuous redundancy right through to
the load: the use of two positive output
terminal blocks makes it possible to
devise a redundant wiring concept that
runs right through to the load.
– Flexible: nominal voltages of 12 V DC to
48 V DC
Power supplies and UPS
Redundancy modules
H
W
D
Redundancy module,
12 - 24 V DC, 2 x 10 A, 1 x 20 A

13
+
IN2
+
+
IN1
+
14
–
2x10 A
13
+
IN2
+
+
IN1
+
14
–
1x20 A
For further information and full technical data, visit phoenixcontact.net/products
Technical data
48VDC
30 V DC ... 56 V DC
Nominal current 2x 10 A (-25°C ... 55°C) 2x 10 A (-25°C ... 55°C)
1x 20 A (-25°C ... 55°C) 1x 20 A (-25°C ... 55°C)
Maximum current 2x 15 A (-25°C ... 40°C) 2x 15 A (-25°C ... 40°C)
1x 30 A (-25°C ... 40°C) 1x 30 A (-25°C ... 40°C)
Varistor
approx. 0.65 V
14 W (I
OUT
= 20 A)
Weight / Dimensions W x H x D 0.37 kg / 32 x 130 x 115 mm 0.37 kg / 32 x 130 x 115 mm
Spacing when mounting Alignable: horizontally 0 mm, vertically 50 mm Alignable: horizontally 0 mm, vertically 50 mm
Screw connection
Input connection data (solid / stranded / AWG) 0.2 - 2.5 mm² / 0.2 - 2.5 mm² / 24 - 14 0.2 - 2.5 mm² / 0.2 - 2.5 mm² / 24 - 14
Output connection data (solid / stranded / AWG) 0.5 - 6 mm² / 0.5 - 4 mm² / 20 - 10 0.5 - 6 mm² / 0.5 - 4 mm² / 20 - 10
IP20 / III
Ambient temperature (operation) -25°C ... 70°C (> 55° C derating: 2.5%/K) -25°C ... 70°C (> 55° C derating: 2.5%/K)
500 V
Electromagnetic compatibility Conformance with EMC Directive 2004/108/EC Conformance with EMC Directive 2004/108/EC
Electrical safety, safety transformer EN 60950-1/VDE 0805 (SELV) EN 60950-1/VDE 0805 (SELV)
s EN 50178/VDE 0160 (PELV) EN 50178/VDE 0160 (PELV)
60950 UL/C-UL listed UL 508, UL/C-UL Recognized UL 60950
Ordering data
Type Order No. Pcs. /
Pkt.
TRIO-DIODE/48DC/2X10/1X20 2866527 1
211
PHOENIX CONTACT
Power supplies and UPS
Redundancy modules
H
W
D
Redundancy module
48 V DC, 2x 10 A, 1x 20 A

++
++
IN OUT
--
--
ABS
Ex:
Technical data
Input data
Nominal input voltage range 12 V DC...24 V DC
Input voltage range 10 V DC...30 V DC
Nominal current 2x 20 A (-25°C ... 60°C) 2x 20 A (-25°C ... 60°C) 2x 5 A (-25°C ... 55°C) 2x 10 A (-25°C ... 55°C)
1x 40 A (-25°C ... 60°C) 1x 40 A (-25°C ... 60°C) 1x 10 A (-25°C ... 55°C) 1x 20 A (-25°C ... 55°C)
Maximum current 2x 30 A (-25°C ... 40°C) 2x 30 A (-25°C ... 40°C) - -
1x 60 A (-25°C ... 40°C) 1x 60 A (-25°C ... 40°C) - -
Transient surge protection Varistor
Voltage drop, input/output 0.5 V
Max. power dissipation (nominal load) 10 W (I
OUT
= 20 A)
General data
Weight / Dimensions W x H x D 0.75 kg / 50 x 130 x 125 mm 0.75 kg / 50 x 130 x 125 mm 0.1 kg / 18 x 90 x 61 mm 0.2 kg / 22.5 x 90 x
Spacing when mounting Alignable: 5 mm horizontally, 15 mm next to active components,
50 mm vertically
Connection method Screw connection
Input connection data (solid / stranded / AWG) 0.2 - 6 mm² / 0.2 - 4 mm² / 12 - 10 0.2 - 6 mm² / 0.2 - 4 mm² / 12 - 10 0.2 - 2.5 m
Output connection data (solid / stranded / AWG) 0.5 - 16 mm² / 0.5 - 16 mm² / 10 - 6 0.5 - 16 mm² / 0.5 - 16 mm² / 10 - 6 0.2 - 2.
Degree of protection / Protection class IP20 / III
Ambient temperature (operation) -40°C ... 70°C (> 60°C derating: 2.5%/K) -40°C ... 70°C (> 60°C derating: 2.5%/K) -25°C ... 70°C (
Standards/regulations
Insulation voltage: input, output/housing 500 V
Electromagnetic compatibility Conformance with EMC Directive 2004/108/EC Conformance with EMC Directive 2004/108/EC Conformance wi
Electrical safety, safety transformer EN 60950-1/VDE 0805 (SELV) EN 60950-1/VDE 0805 (SELV) IEC 60950-1/VDE 0805 (SELV) IEC 60950-1
Electronic equipm. for electrical power installations EN 50178/VDE 0160 (PELV) EN 50178/VDE 0160 (PELV) EN 50178/VDE 0160 (PELV) EN
UL approvals UL/C-UL listed UL 508, UL/C-UL Recognized UL 60950,
UL ANSI/ISA-12.12.01 Class I, Division 2, Groups A, B, C, D
(Hazardous Location)
Ordering data
Description Type Order No. Pcs. /
Pkt.
Diode module
QUINT-DIODE/12-24DC/2X20/1X40 2320157 1
212
PHOENIX CONTACT
QUINT DIODE, STEPDIODE, and
UNO DIODE diode modules
QUINT DIODE, 12 - 24 V and
48 V DC
– Robust design for currents of up to 60 A
– Continuous redundancy right through to
the load: the use of two positive output
terminal blocks makes it possible to
devise a redundant wiring concept that
runs right through to the load.
– Flexible: nominal voltages of 12 V DC to
48 V DC
– Complies with standard EN 60079-15 and
may be installed in a potentially explosive
area
STEP DIODE
– Space-saving: overall width of just 18 mm
– Continuous redundancy right through to
the load: the use of two positive output
terminal blocks makes it possible to
devise a redundant wiring concept that
runs right through to the load.
– Flexible: nominal voltages of 5 V DC to
24 V DC
UNODIODE
– Space-saving: overall width of just 22.5
mm
– Continuous redundancy right through to
the load: the use of two positive output
terminal blocks makes it possible to
devise a redundant wiring concept that
runs right through to the load.
– Flexible: nominal voltages of 5 V DC to
24 V DC
Power supplies and UPS
Redundancy modules
H
W
D
Diode module, with protective coating,
12 - 24 V DC, 2 x 20 A, 1 x 40 A

++
++
IN OUT
--
--
+
OUT
+
+
+
IN
+
OUT
+
+
+
IN
For further information and full technical data, visit phoenixcontact.net/products
Ex:
Technical data Technical data Technical data
48VDC 5VDC ... 24VDC 5VDC ... 24VDC
30 V DC ... 56 V DC 4.5 V DC ... 30 V DC 4.5 V DC ... 30 V DC
Nominal current 2x 20 A (-25°C ... 60°C) 2x 20 A (-25°C ... 60°C) 2x 5 A (-25°C ... 55°C) 2x 10 A (-25°C ... 55°C)
1x 40 A (-25°C ... 60°C) 1x 40 A (-25°C ... 60°C) 1x 10 A (-25°C ... 55°C) 1x 20 A (-25°C ... 55°C)
Maximum current 2x 30 A (-25°C ... 40°C) 2x 30 A (-25°C ... 40°C) - -
1x 60 A (-25°C ... 40°C) 1x 60 A (-25°C ... 40°C) - -
Varistor Transil diode Varistor
0.7 V 0.5 V 0.5 V
14 W (I
OUT
= 20 A) 2.5 W (I
OUT
= 5 A) 5 W (I
OUT
= 10 A)
Weight / Dimensions W x H x D 0.75 kg / 50 x 130 x 125 mm 0.75 kg / 50 x 130 x 125 mm 0.1 kg / 18 x 90 x 61 mm 0.2 kg / 22.5 x 90 x 84 mm
Alignable: 5 mm horizontally, 15 mm next to active components,
50 mm vertically
Alignable: 0 mm horizontally, 30 mm vertically Alignable: 0 mm horizontally, 30 mm vertically
Screw connection Screw connection Screw connection
Input connection data (solid / stranded / AWG) 0.2 - 6 mm² / 0.2 - 4 mm² / 12 - 10 0.2 - 6 mm² / 0.2 - 4 mm² / 12 - 10 0.2 - 2.5 mm² / 0.2 - 2.5 mm² / 24 - 12 0.2 - 2.5 mm² / 0.2 - 2.5 mm² / 24 - 14
Output connection data (solid / stranded / AWG) 0.5 - 16 mm² / 0.5 - 16 mm² / 10 - 6 0.5 - 16 mm² / 0.5 - 16 mm² / 10 - 6 0.2 - 2.5 mm² / 0.2 - 2.5 mm² / 24 - 12 0.2 - 2.5 mm² / 0.2 - 2.5 mm² / 24 - 14
IP20 / III IP20 / III IP20 / III
Ambient temperature (operation) -40°C ... 70°C (> 60°C derating: 2.5%/K) -40°C ... 70°C (> 60°C derating: 2.5%/K) -25°C ... 70°C (> 55° C derating: 2.5%/K) -25°C ... 70°C (> 55°C derating: 2.5%/K)
500 V 500 V 500 V
Electromagnetic compatibility Conformance with EMC Directive 2004/108/EC Conformance with EMC Directive 2004/108/EC Conformance with EMC Directive 2004/108/EC Conformance with EMC Directive 2004/108/EC
Electrical safety, safety transformer EN 60950-1/VDE 0805 (SELV) EN 60950-1/VDE 0805 (SELV) IEC 60950-1/VDE 0805 (SELV) IEC 60950-1/VDE 0805 (SELV)
0160 (PELV) EN 50178/VDE 0160 (PELV) EN 50178/VDE 0160 (PELV) EN 50178/VDE 0160 (PELV)
UL/C-UL listed UL 508, UL/C-UL Recognized UL 60950,
UL ANSI/ISA-12.12.01 Class I, Division 2, Groups A, B, C, D
(Hazardous Location)
UL/C-UL listed UL 508, UL/C-UL Recognized UL 60950 UL/C-UL listed UL 508, UL/C-UL Recognized UL 60950
Ordering data Ordering data Ordering data
Type Order No. Pcs. /
Pkt. Type Order No. Pcs. /
Pkt. Type Order No. Pcs. /
Pkt.
QUINT-DIODE/48DC/2X20/1X40 2320160 1STEP-DIODE/5-24DC/2X5/1X10 2868606 1UNO-DIODE/5-24DC/2X10/1X20 2905489 1
213
PHOENIX CONTACT
Power supplies and UPS
Redundancy modules
H
W
D
H
W
D
H
W
D
new
Diode module, with protective coating,
48 V DC, 2 x 20 A, 1 x 40 A
Diode module
5 - 24 V DC, 2 x 5 A, 1x 10 A
Diode module,
5 ... 24 V DC, 2 x 10 A, 1 x 20 A

Technical data Technical data
Dimensions W x H x D 74 / 130 / 11 mm 104 / 130 / 11 mm
Material Aluminum Aluminum
Ordering data Ordering data
Description Type Order No. Pcs. /
Pkt. Type Order No. Pcs. /
Pkt.
Adapter for S7-300 rail mounting, for:
QUINT-PS/1AC/24DC/3.5
QUINT-PS/1AC/24DC/5
QUINT-PS/3AC/24DC/5
QUINT-PS-ADAPTERS7/1 2938196 1
Adapter for S7-300 rail mounting, for:
QUINT-PS/1AC/24DC/10
QUINT-PS/3AC/24DC/10
QUINT-PS/3AC/24DC/20
QUINT-PS-ADAPTERS7/2 2938206 1
To supply a SIMATIC
®
S7-300 control
unit, QUINT POWER 2.5 A, 5 A, and 10 A
are mounted on the S7 rail using a
QUINT-PS-ADAPTER-S7.
No further accessories are required for
fastening.
Mounting on S7-300 rail
Power supplies and UPS
Power supply unit accessories
DW
H
Technical data Technical data
Dimensions W x H x D 41 / 27 / 42.2 mm 50 / 65.5 / 50 mm
Ordering data Ordering data
Description Type Order No. Pcs. /
Pkt. Type Order No. Pcs. /
Pkt.
Fan for QUINT POWER SFB, 24 V DC
QUINT-PS/FAN/4 2320076 1
VARIOFACE module, with two busbars (P1, P2) for potential
distribution, per potential:
2 power terminals/8 distributor terminal blocks VIP-2/SC/PDM-2/16 2315256 1
2 power terminals/12 distributor terminal blocks VIP-2/SC/PDM-2/24 2315269 1
2 power terminals/16 distributor terminal blocks VIP-2/SC/PDM-2/32 2315272 1
2 power terminals/24 distributor terminal blocks VIP-2/SC/PDM-2/48 2903717 1
214
PHOENIX CONTACT
With the standard power supply mounting
position, the temperature range increases by
10 K (max. ambient temperature of 70°C),
when the mounting position is rotated,
position-dependent derating no longer
applies.
– assembly without tools
Potential distributor
Further modules can be found in Catalog 7,
interface technology and switching devices
Fan and potential distributor
With screw connection and 2 potential levels

For further information and full technical data, visit phoenixcontact.net/products
Technical data Technical data
Dimensions W x H x D 52 / 182 / 9 mm 25 / 130 / 17 mm
Material Steel, powder-coated Steel, powder-coated
Ordering data Ordering data
Description Type Order No. Pcs. /
Pkt. Type Order No. Pcs. /
Pkt.
Universal wall adapter, for mounting the TRIO-PS (from 10 A),
QUINT-PS, QUINT-DC-UPS, and QUINT-BUFFER power supply
units directly on the wall
UWA 182/52 2938235 1
Universal wall adapter, for mounting the QUINT-
PS/1AC/24DC/40 and QUINT-UPS/1AC/1AC/500VA power supply
units directly on the wall
UWA 130 2901664 1
Adapter for mounting on even surfaces
Universal wall adapter
Power supplies and UPS
Power supply unit accessories
Technical data
Dimensions W / H / D 12.3 mm / 90 mm / 77.3 mm
Degree of protection IP30 (actuation area)
Ordering data
Description Nominal
current Type Order No. Pcs. /
Pkt.
Thermomagnetic circuit breaker, plug-in, 1-pos., signal contact
1 PDT
0.5 A CB TM1 0.5A SFB P 2800835 1
1 A CB TM1 1A SFB P 2800836 1
2 A CB TM1 2A SFB P 2800837 1
3 A CB TM1 3A SFB P 2800838 1
4 A CB TM1 4A SFB P 2800839 1
5 A CB TM1 5A SFB P 2800840 1
6 A CB TM1 6A SFB P 2800841 1
Accessories
Base element, for accommodating CB TM.../CB E... device circuit
breakers
With push-in connection technology CB 1/6-2/4 PT-BE 2800929 10
With screw connection technology CB 1/10-1/10 UT-BE 2801305 10
215
PHOENIX CONTACT
– Device circuit breakers for protecting
against overcurrents and short circuits
– SFB characteristic curve enables longer
cables and release times < 10ms
– Maximum ease of maintenance thanks to
the two-piece design
– Further circuit breakers can be found
from page 253 onwards.
Plug-in thermomagnetic circuit
breakers
Plug-in, SFB characteristic curve

216
PHOENIX CONTACT
Power supplies and UPS
Uninterruptible power supply units for the control cabinet
The intelligent UPS system ensures
superior system availability
Uninterruptible power supply (UPS) units
continue to deliver power even if the supply
network goes down. An uninterruptible
solution consists of the three function units
shown:
– Power supply
– UPS module
– Power storage
QUINT UPS
IQ technology is the key to an intelligent
power supply solution. The uninterruptible
power supply unit monitors and optimizes
the power storage. Avoid interruptions
when working with the intelligent UPS for
non-stop power.
– You know the state of charge and
remaining runtime of your power storage
– You are warned about failures at an early
stage and have time to prevent them
– You can maximize the service life of the
power storage
– You can transfer all relevant information
to your computer and higher-level
controllers
Practical example
An industrial PC must be continuously
supplied with 24 V DC.
Previous solution:
The UPS with 3.4 Ah power
storagebuffers24VDC/5A for 20
minutes under optimum conditions.
Can the power storage actually bridge this
time?
State of charge, performance, and
remaining runtime of the power storage are
unknown.
Solution with QUINT UPS:
The intelligent UPS determines all
relevant power storage states. This ensures
the crucial transparency required to
guarantee the stability of the supply and
optimum use of the power storage at all
times.
The intelligent battery management
detects the current state of charge of the
connected power storage and uses this to
calculate the remaining runtime.
The QUINT UPS also indicates whether
the buffer time is actually 20minutes. As
soon as an adjustable threshold value is
reached, a warning message is sent via the
floating relay contact, the software or
directly to higher-level controllers. The IPC
continues working for as long as possible
and is shut down before the battery voltage
runs out.
Space-saving versions
To save space in the control cabinet or to
retrofit existing systems easily, UPS versions
with integrated power storage or integrated
power supply are recommended.
Selection guide
Find the right UPS for your application
based on the buffer time and load current.
Please refer to the color selection tables on
pages:
– 218
– 232
Your web code: #0154

For further information and full technical data, visit phoenixcontact.net/products
217
PHOENIX CONTACT
Power supplies and UPS
Uninterruptible power supply units for the control cabinet
IQ technology
The IQ technology is intuitive and
provides you with information as soon as it
is required.
– Intelligent battery management with SOC
(state of charge), detects the current
state of charge and the remaining
runtime, and SOH (state of health),
determines the remaining life expectancy
of the power storage and warns of failure
at an early stage
– Intelligent battery control
– Intelligent charging
Signaling and configuration
The UPS-CONF configuration and
management software allows you to
monitor and configure your UPS system.
The software can be downloaded free of
charge at: phoenixcontact.net/products.
– Flexible adaptation of QUINT UPS
behavior to individual requirements
– Monitoring and data recorder
Communication
The data cables allow you to integrate the
UPS module into your application. You can
therefore benefit from all the advantages of
IQ technology and be kept informed of the
state of your UPS solution. The information
provided by QUINTUPS can, for example,
be forwarded to higher-level controllers via
Ethernet or be implemented directly in
control solutions from Phoenix Contact.
Modular solution
1. Choose your power supply unit, e.g.,
QUINT POWER
2. Choose your UPS module QUINT UPS
module
3. Choose your power storage:
– UPS-CAP for maximum service life
– UPS-BAT/LI-ION for long service life with
long buffer times
– UPS-BAT/VRLA and VRLA-WTR for
maximum buffer times
UPS with integrated power storage
Particularly space saving and easy to
retrofit, the UPS module and power storage
are combined in the same housing.
– QUINT UPS: power storage with lead
AGM technology
– STEP UPS: LiPo-based power storage
– UNO UPS: power storage with lead AGM
technology
– QUINT BUFFER buffer module:
capacitor-based power storage
UPS with integrated power supply
unit
The UPS module and power supply unit in
a single housing is a space-saving solution.
Only one power storage is required to
complete the UPS system.
– MINI UPS: for 24 or 12VDC
– TRIO UPS: for 24DC

218
PHOENIX CONTACT
Selecting the power storage for QUINT UPS
You can always find the ideal solution for
superior system availability with the new
modular system for uninterruptible power
supply units. The various storage media
feature a wide range of different properties:
long service life or very long buffer time, no
maintenance or use at extreme ambient
temperatures. Whatever your
requirements, we offer the ideal power
storage.
Type Buffer time
(typical) Temperature Service life
at 20°C
Service life
at 50°C
Charging cycles
at 20°C
Weight
(standardized)
UPS-CAP… < 5 min. -40 to 60°C > 20 years 8 years > 500,000 0.4 kg
UPS-BAT/LI-ION… > 40 min. -20 to 58°C 15 years 2 years 7000 0.45 kg
UPS-BAT/VRLA-WTR… > 5 h -25 to 60°C 12 years 1.5 years 300 1.3 kg
UPS-BAT/VRLA… > 8 h 0 to 40°C 6 to 9 years 1 year 250 1 kg
UPS-BAT/LI-ION...
• Long service life with long
buffer times
• Lithium-ion technology
UPS-BAT/VRLA-WTR...
(Valve Regulated Lead Acid/
Wide Temperature Range)
• Maximum buffer times at extreme temperatures
• Pure lead AGM (Absorbed Glass Mat) technology UPS-CAP (Capacitor)
• Maximum service life
• Maintenance-free double-layer
capacitors
UPS-BAT/VRLA...
(Valve Regulated Lead Acid)
• Maximum buffer times
• Lead AGM (Absorbed Glass Mat)
technology
Immediate availability:
All power storage
devices leave our
warehouse fully charged
Your advantages
Fast installation
– Automatic detection of the power
storage by QUINT UPS
– Tool-free replacement during operation
Maximum availability
– Constant communication with QUINT
UPS for continuous monitoring and
intelligent management
Extremely long service life
– Optimum charging characteristic
according to the technology and ambient
conditions
Power supplies and UPS
Uninterruptible power supply units for the control cabinet

1+1
1+1 1+1
1+1
1+1
1+1
1+1
1+11+1
1+1 1+1 1+1
1+1
1+1
1+11+1
1+11+1
1+1
1+1
1+1
1+1
1+1
1+1
1+1 1+1
1+1 1+1
1+1
1+1
1+1
1+1
1+1
1+11+1
1+1
1+1 1+1
1+11+1 1+1
1+1
1+1
1+11+1
1+11+1
1+11+1
1+11+1
1+11+1
1+1
1+1
1+1
1+1
1+1
1+1
For further information and full technical data, visit phoenixcontact.net/products
219
PHOENIX CONTACT
Buffer times for DC UPS modules
Select your UPS-BAT and UPS-CAP for
24 V DC applications here.
Example: 20 A needs to be buffered for
6 minutes.
Solution:
UPS-BAT/LI-ION/24DC/120WH
Buffer times for AC UPS modules
Select your UPS-BAT and UPS-CAP for
120 V AC/230 V AC applications here.
Example: 125 W needs to be buffered for
one hour.
Solution:
UPS-BAT/VRLA-WTR/24DC/13AH
1+1 … Two rechargeable battery modules of the same capacity are
required in this case.
The data is based on an ambient temperature of 20°C.
Buffer times for DC UPS modules
Select your UPS-BAT for 24 V DC
applications here.
Example: 20 A needs to be buffered for
10 minutes.
Solution: UPS-BAT/VRLA/24DC/7.2AH
Buffer times for AC UPS modules
Select your UPS-BAT for
120 V AC/230 V AC applications here.
Example: 125 W needs to be buffered for
one hour.
Solution: UPS-BAT/VRLA/24DC/12AH
Selection of power storage devices with capacitors, lithium ion, and pure lead AGM technology
Selection of power storage devices with lead AGM technology
Power
Buffer time
Seconds Minutes Hours
0.2 0.4
281520401235678910203040455012358101520
15 W
35 W
55 W
90 W
125 W
180 W
275 W
400 W
UPS-CAP device UPS-CAP/24DC/10A/10KJ UPS-CAP/24DC/20A/20KJ
UPS-BAT/VRLA-WTR device UPS-BAT/VRLA-WTR/24DC/13AH UPS-BAT/VRLA-WTR/24DC/26AH
UPS-BAT/LI-ION device UPS-BAT/LI-ION/24DC/120WH
Load current
Buffer time
Seconds Minutes Hours
0.2 0.4
28235678910203040455012358
1 A
2 A
3 A
5 A
7 A
10 A
15 A
20 A
25 A
30 A
35 A
40 A
Power
Buffer time
Seconds
Minutes Hours
0.2 0.4
2235678910203040455012358
15 W
35 W
55 W
90 W
125 W
180 W
275 W
400 W
UPS-BAT/VRLA device UPS-BAT/VRLA/24DC/1.3AH UPS-BAT/VRLA/24DC/3.4AH
UPS-BAT/VRLA/24DC/7.2AH UPS-BAT/VRLA/24DC/12AH
UPS-BAT/VRLA/24DC/38AH
Load current
Buffer time
Seconds Minutes Hours
0.2 0.4
1 2 8 16 30 1 2 3 5 6 7 8 9 10 20 30 40 45 50 1 2 3 5 8 10 15 20 40
1 A
2 A
3 A
5 A
7 A
10 A
15 A
20 A
25 A
30 A
35 A
40 A
Power supplies and UPS
Uninterruptible power supply units for the control cabinet

13
23
33
14
24
34
R1
R2
Alarm
Bat.-
Mode
Bat.-
Charge
Remote
Battery
Confirm
Data-Port
Input
DC 24V Output
DC 24V
24V 0.2A
I < I
N
m
C
J
t [min]
max
24VDC
J
Ex:
Technical data
Input data
Nominal input voltage range 24 V DC
Input voltage range 18 V DC ... 30 V DC
Max. current consumption 9.4 A (maximum, mains operation) 19 A (maximum, mains operation) 32.9 A (maximum, mains operation) 51.9 A
Output data (mains operation)
Nominal output voltage 24 V DC
Output voltage range 18 V DC ... 30 V DC
Efficiency (typ.) > 98% (mains operation, with charged power storage) > 98% (mains operation, with charged power storage) > 98% (m
Output current with convection cooling
- Nominal output current I
N
(continual) 5 A (-25°C ... 60°C)
- SFB technology (12 ms) 30 A (-25°C ... 60°C)
- POWER BOOST I
BOOST
(continual) 7.5 A (-25°C ... 40°C)
Output data (battery operation)
Nominal output voltage 24 V DC
Output voltage range 19.2 V DC ... 27.6 V DC (U
OUT
= U
BAT
- 0.5 V DC) 19.2 V DC ... 27.6 V DC (U
Output current with convection cooling
- SFB technology (15 ms) 32.5 A (-25°C ... 60°C) 65 A (-25°C ... 60°C) 120 A (-25°C ... 60°C) 215 A (-25°C ... 60°C)
- POWER BOOST I
BOOST
(continual) 7.5 A (-25°C ... 40°C)
Power storage
Nominal voltage U
N
24VDC
End-of-charge voltage 24 V DC ... 29 V DC (temperature compensated) 24 V DC ... 29 V DC (temperature compensated) 24 V DC ... 29 V DC (tempera
Nominal capacity range 0.8 Ah ... 140 Ah
Max. charging current 0.2 A ... 1.36 A
Signaling
Signaling LED, relay contact, interface/software LED, relay contact, interface/software LED, relay contact, interface/software LED,
Interfaces IFS (Interface system data port) IFS (Interface system
General data
Weight / Dimensions W x H x D 0.5 kg / 35 x 130 x 125 mm 0.5 kg
Connection method Plug-in screw connection Plug-in screw connection Screw connection Screw connection
Input connection data (solid / stranded / AWG) 0.2 - 2.5 mm² / 0.2 - 2.5 mm² / 20 - 12 0.2 - 2.5 mm² / 0.2 - 2.5 mm² / 16 - 12 0.2
Output connection data (solid / stranded / AWG) 0.2 - 2.5 mm² / 0.2 - 2.5 mm² / 20 - 12 0.2 - 2.5 mm² / 0.2 - 2.5 mm² / 16 - 12 0.
Signal connection data (solid / stranded / AWG) 0.2 - 2.5 mm² / 0.2 - 2.5 mm² / 24 - 12 0.2 - 2.5 mm² / 0.2 - 2.5 mm² / 24 - 12 0.
Degree of protection / Protection class IP20 / III
Ambient temperature (operation) -25°C ... 70°C
Ambient temperature (storage/transport) -40°C ... 85°C
Derating 60°C ... 70°C (2.5%/K) 60°C ... 70°C (2.5%/K) 60°C ... 70°C (2.5%/K) 60°C ... 70°C (2.5%/K)
Max. permissible relative humidity (operation) ≤ 95% (25°C, non-condensing)
Standards/regulations
UL approvals UL Listed UL 508, UL/C-UL Recognized UL 60950,
UL ANSI/ISA-12.12.01 Class I, Division 2, Groups A, B, C, D
(Hazardous Location)
Ordering data
Description Type Order No. Pcs. /
Pkt.
Power supply, uninterruptible
QUINT-UPS/ 24DC/ 24DC/ 5 2320212 1
220
PHOENIX CONTACT
QUINT UPS for DC applications
The UPS module for 24 V DC with
output currents ranging from 5 to 40 A
allows you to create a custom solution
combining power supply unit, UPS module,
and power storage.
Optimum use of the buffer time and
preventive monitoring of the power
storage:
– Detects the current state of charge of the
power storage and calculates the
remaining runtime
– Calculates the current life expectancy of
the power storage
Substantial power reserve:
– For mains and battery operation
– POWER BOOST static power reserve
– Dynamic power reserve with SFB
(selective fuse breaking) technology
Fast battery charging:
– Adaptive current management charges
the power storage twice as fast as before,
while simultaneously providing sufficient
energy for the loads.
Extensive signaling and parameterization:
– Floating relay contacts
– Data port
– Parameterization with memory module
Power supplies and UPS
Uninterruptible power supply units for the control cabinet
H
W
D
Notes:
The buffer time associated with your solution is dependent on the
load current. Exact details for each uninterruptible power supply
can be found on page 233.
Uninterruptible power supply,
24 V DC / 24 V DC, 5 A

13
23
33
14
24
34
R1
R2
Alarm
Bat.-
Mode
Bat.-
Charge
Remote
Battery
Confirm
Data-Port
Input
DC 24V Output
DC 24V
24V 0.2A
I < I
N
m
C
J
t [min]
max
24VDC
J
13
23
33
14
24
34
R1
R2
Alarm
Bat.-
Mode
Bat.-
Charge
Remote
Battery
Confirm
Data-Port
Input
DC 24V Output
DC 24V
24V 0.2A
I < I
N
m
C
J
t [min]
max
24VDC
J
13
23
33
14
24
34
R1
R2
Alarm
Bat.-
Mode
Bat.-
Charge
Remote
Battery
Confirm
Data-Port
Input
DC 24V Output
DC 24V
24V 0.2A
I < I
N
m
C
J
t [min]
max
24VDC
J
For further information and full technical data, visit phoenixcontact.net/products
Ex:
Ex:
Ex:
Technical data Technical data Technical data
24VDC 24VDC 24VDC
18 V DC ... 30 V DC 18 V DC ... 30 V DC 18 V DC ... 30 V DC
Max. current consumption 9.4 A (maximum, mains operation) 19 A (maximum, mains operation) 32.9 A (maximum, mains operation) 51.9 A (maximum, mains operation)
24VDC 24VDC 24VDC
18 V DC ... 30 V DC 18 V DC ... 30 V DC 18 V DC ... 30 V DC
age) > 98% (mains operation, with charged power storage) > 98% (mains operation, with charged power storage) > 99% (mains operation, with charged power storage)
10 A (-25°C ... 60°C) 20 A (-25°C ... 60°C) 40 A (-25°C ... 50°C)
60 A (-25°C ... 60°C) 120 A (-25°C ... 60°C) 215 A (-25°C ... 60°C)
15 A (-25°C ... 40°C) 26 A (-25°C ... 40°C) 45 A (-25°C ... 40°C)
24VDC 24VDC 24VDC
- 0.5 V DC) 19.2 V DC ... 27.6 V DC (U
OUT
= U
BAT
- 0.5 V DC) 19.2 V DC ... 27.6 V DC (U
OUT
= U
BAT
- 0.5 V DC) 19.2 V DC ... 27.6 V DC (U
OUT
= U
BAT
- 0.5 V DC)
- SFB technology (15 ms) 32.5 A (-25°C ... 60°C) 65 A (-25°C ... 60°C) 120 A (-25°C ... 60°C) 215 A (-25°C ... 60°C)
15 A (-25°C ... 40°C) 27 A (-25°C ... 40°C) 45 A (-25°C ... 40°C)
24 V DC 24 V DC 24 V DC
End-of-charge voltage 24 V DC ... 29 V DC (temperature compensated) 24 V DC ... 29 V DC (temperature compensated) 24 V DC ... 29 V DC (temperature compensated) 24 V DC ... 29 V DC (temperature compensated)
1.3 Ah ... 140 Ah 3 Ah ... 200 Ah 7 Ah ... 200 Ah
0.2 A ... 2.88 A 0.2 A ... 5 A 0.2 A ... 5 A
Signaling LED, relay contact, interface/software LED, relay contact, interface/software LED, relay contact, interface/software LED, relay contact, interface/software
Interfaces IFS (Interface system data port) IFS (Interface system data port) IFS (Interface system data port) IFS (Interface system data port)
Weight / Dimensions W x H x D 0.5 kg / 35 x 130 x 125 mm 0.5 kg / 35 x 130 x 125 mm 0.6 kg / 40 x 130 x 125 mm 0.7 kg / 47 x 130 x 125 mm
Connection method Plug-in screw connection Plug-in screw connection Screw connection Screw connection
Input connection data (solid / stranded / AWG) 0.2 - 2.5 mm² / 0.2 - 2.5 mm² / 20 - 12 0.2 - 2.5 mm² / 0.2 - 2.5 mm² / 16 - 12 0.2 - 6 mm² / 0.2 - 4 mm² / 12 - 10 0.5 - 16 mm² / 0.5 - 16 mm² / 8 - 6
/ 0.2 - 2.5 mm² / 20 - 12 0.2 - 2.5 mm² / 0.2 - 2.5 mm² / 16 - 12 0.2 - 6 mm² / 0.2 - 4 mm² / 12 - 10 0.5 - 16 mm² / 0.5 - 16 mm² / 8 - 6
Signal connection data (solid / stranded / AWG) 0.2 - 2.5 mm² / 0.2 - 2.5 mm² / 24 - 12 0.2 - 2.5 mm² / 0.2 - 2.5 mm² / 24 - 12 0.2 - 4 mm² / 0.2 - 2.5 mm² / 24 - 12 0.2 - 4 mm² / 0.2 - 2.5 mm² / 24 - 12
IP20 / III IP20 / III IP20 / III
-25°C ... 70°C -25°C ... 70°C -25°C ... 70°C
-40°C ... 85°C -40°C ... 85°C -40°C ... 85°C
Derating 60°C ... 70°C (2.5%/K) 60°C ... 70°C (2.5%/K) 60°C ... 70°C (2.5%/K) 60°C ... 70°C (2.5%/K)
≥ 95% (25°C, non-condensing) ≤ 95% (25°C, non-condensing) ≤ 95% (25°C, non-condensing)
UL Listed UL 508, UL/C-UL Recognized UL 60950,
UL ANSI/ISA-12.12.01 Class I, Division 2, Groups A, B, C, D
(Hazardous Location)
UL Listed UL 508, UL/C-UL Recognized UL 60950,
UL ANSI/ISA-12.12.01 Class I, Division 2, Groups A, B, C, D
(Hazardous Location)
UL Listed UL 508, UL/C-UL Recognized UL 60950,
UL ANSI/ISA-12.12.01 Class I, Division 2, Groups A, B, C, D
(Hazardous Location)
Ordering data Ordering data Ordering data
Type Order No. Pcs. /
Pkt. Type Order No. Pcs. /
Pkt. Type Order No. Pcs. /
Pkt.
QUINT-UPS/ 24DC/ 24DC/10 2320225 1QUINT-UPS/ 24DC/ 24DC/20 2320238 1QUINT-UPS/ 24DC/ 24DC/40 2320241 1
221
PHOENIX CONTACT
Power supplies and UPS
Uninterruptible power supply units for the control cabinet
H
W
D
H
W
D
H
W
D
Uninterruptible power supply,
24 V DC / 24 V DC, 10 A
Uninterruptible power supply,
24 V DC / 24 V DC, 20 A
Uninterruptible power supply,
24 V DC / 24 V DC, 40 A

13
23
33
14
24
34
R1
R2
Alarm
Bat.-
Mode
Bat.-
Charge
Remote
Battery
Confirm
Data-Port
Input
DC 24V Output
DC 24V
Output
DC 12V
24V 0.2A
I < I
N
m
C
J
t [min]
max
24VDC
Technical data
Input data
Input voltage 24 V DC
Input voltage range 18 V DC ... 30 V DC
Max. current consumption 16 A
Output data (mains operation) 12 V DC 24 V DC
Nominal output voltage 12 V DC 24 V DC
Output voltage range 18 V DC ... 30 V DC
(U
OUT
= U
IN
- 0.5 V DC)
Efficiency (typ.) > 93% (mains operation, with
charged power storage)
> 98% (mains operation, with
charged power storage)
Output current with convection cooling (P
max
= P
12 V
+ P
24 V
= 360
W)
- Nominal output current I
N
(continual) 5 A (-25°C ... 60°C) 10 A (-25°C ... 60°C)
- SFB technology (15 ms) - 60 A (-25°C ... 60°C)
- POWER BOOST I
BOOST
(continual) 7.5 A (-25°C ... 40°C) 15 A (-25°C ... 40°C)
Output data (battery operation) 12 V DC 24 V DC
Nominal output voltage 12 V DC 24 V DC
Output voltage range - 19.2 V DC ... 27.6 V DC
(U
OUT
= U
BAT
- 0.5 V DC)
Output current with convection cooling (P
max
= P
12 V
+ P
24 V
= 360
W)
- Nominal output current I
N
(continual) 5 A (-25°C ... 60°C) 10 A (-25°C ... 60°C)
- SFB technology (15 ms) - 65 A (-25°C ... 60°C)
- POWER BOOST I
BOOST
(continual) 7.5 A (-25°C ... 60°C) 15 A (-25°C ... 60°C)
Power storage
Nominal voltage U
N
24 V DC
End-of-charge voltage 24 V DC ... 29 V DC (temperature compensated)
Nominal capacity range 1.3 Ah ... 140 Ah
Max. charging current 2.88 A
Signaling
Signaling LED, relay contact, interface/software
Interfaces IFS (Interface system data port)
General data
Weight / Dimensions W x H x D 0.6 kg / 35 x 130 x 125 mm
Connection method Plug-in screw connection
Connection data input/output solid / stranded / AWG 0.2 - 2.5 mm² / 0.2 - 2.5 mm² / 16 - 12
Signal connection data (solid / stranded / AWG) 0.2 - 2.5 mm² / 0.2 - 2.5 mm² / 24 - 12
Degree of protection / Protection class IP20 / III
Ambient temperature (operation) -25°C ... 70°C
Derating 60°C ... 70°C (2.5%/K)
Standards/regulations
UL approvals UL Listed UL 508, UL/C-UL Recognized UL 60950
Ordering data
Description Type Order No. Pcs. /
Pkt.
Power supply, uninterruptible
QUINT-UPS/ 24DC/12DC/5/24DC/10 2320461 1
222
PHOENIX CONTACT
Notes:
The buffer time associated with your solution is dependent on the
load current. Exact details for each uninterruptible power supply
can be found on page 233.
H
W
D
The UPS module for two output voltages,
12 and 24 V DC, allows you to create a
custom solution combining power supply
unit, UPS module, and power storage.
– Flexible and space saving thanks to the
two output voltages in one unit
Optimum use of the buffer time and
preventive monitoring of the power
storage:
– Detects the current state of charge of the
power storage and calculates the
remaining runtime
– Calculates the current life expectancy of
the power storage
Substantial power reserve:
– For mains and battery operation
– POWER BOOST static power reserve
– Dynamic power reserve with SFB
(selective fuse breaking) technology
Fast battery charging:
– Adaptive current management charges
the power storage twice as fast as before,
while simultaneously providing sufficient
energy for the loads.
Extensive signaling and parameterization:
– Floating relay contacts
– Data port
– Parameterization with memory module
QUINT UPS for DC applications with
dual output voltage
Power supplies and UPS
Uninterruptible power supply units for the control cabinet
Uninterruptible power supply,
24 V DC/12 V DC, 5 A and 24 V DC, 10 A

R1
GND
R2
t [min]
max
Alarm
Bat.-Mode
Power-Boost
Remote
Battery
Confirm
Data-Port
USB-Port
Input AC
100..240V Output AC
120/230V
Autonomic-
Start
24V 0.03A
120V 230V
m
C
J
I
F
S
24VDC
L L
N N
PE PE
For further information and full technical data, visit phoenixcontact.net/products
Technical data
General input data
Input voltage range 180 V AC ... 264 V AC
Frequency range 45 Hz ... 65 Hz
Activation threshold U
N
±10%. Can be configured using UPS-CONF software.
Input data 120 VAC 230 V AC
Nominal input voltage 120 V AC 230 V AC
Input voltage range AC 102 V AC ... 138 V AC 196 V AC ... 264 V AC
Nominal frequency 50 Hz ... 60 Hz 50 Hz ... 60 Hz
Max. current consumption (I
IN
= I
CHARGE
+ I
BOOST
) 6.8 A 3.7 A
General output data
Nominal power / Apparent power 400 W / 500 VA
Derating > 50°C ... 70°C (2.5%/K)
Switch-over time < 10 ms
Efficiency (typ.) > 98% (mains operation)
Output data (mains operation) 120 VAC 230 V AC
Nominal output voltage 120 V AC 230 V AC
Output voltage range 102 V AC ... 138 V AC 196 V AC ... 264 V AC
- Nominal output current I
N
(continual) 4.3 A ( -25°C ... 70°C ) 2.2 A ( -25°C ... 70°C )
- POWER BOOST I
BOOST
(continual) 5.2 A ( -25°C ... 70°C ) 2.7 A ( -25°C ... 70°C )
Output data (battery operation) 120 VAC 230 V AC
Nominal output voltage 120 V AC 230 V AC
- Nominal output current I
N
(continual) 4.3 A ( -25°C ... 50°C ) 2.2 A ( -25°C ... 50°C )
- POWER BOOST I
BOOST
(5 s) 5.2 A ( -25°C ... 50°C ) 2.7 A ( -25°C ... 50°C )
Power storage
Nominal voltage U
N
24VDC
End-of-charge voltage 25 V DC ... 30 V DC (temperature compensated)
Nominal capacity range 3 Ah ... 200 Ah
Max. charging current 0.2 A ... 2 A
Signaling
Signaling LED, active switching outputs, interface/software
Interfaces IFS (Interface system data port), MINI-USB type B
General data
Classification according to IEC 62040-3 VFD-SS-311
Weight / Dimensions W x H x D 2.2 kg / 125 x 130 x 125 mm
Connection method Screw connection
Connection data input/output solid / stranded / AWG 1.5 - 6 mm² / 1.5 - 4 mm² / 18 - 10
Signal connection data (solid / stranded / AWG) 0.2 - 2.5 mm² / 0.2 - 2.5 mm² / 24 - 10
Degree of protection / Protection class IP20 / I
Ambient temperature (operation) -25°C ... 70°C (> 50°C derating: 2.5%/K)
Standards/regulations
UL approvals UL/C-UL Recognized UL 1778
Ordering data
Description Type Order No. Pcs. /
Pkt.
Power supply, uninterruptible
QUINT-UPS/ 1AC/ 1AC/500VA 2320270 1
223
PHOENIX CONTACT
Notes:
The buffer time associated with your solution is dependent on the
load current. Exact details for each uninterruptible power supply
can be found on page 233.
H
W
D
The UPS module for 120 V AC/230 V AC
with 400 W/500 VA power can be
combined with all UPS-CAP and UPS-BAT
power storage devices.
Optimum use of the buffer time and
preventive monitoring of the power
storage:
– Detects the current state of charge of the
power storage and calculates the
remaining runtime
– Calculates the current life expectancy of
the power storage
Worldwide use:
– Input voltages from 96 to 264VAC
– Storage of the level and frequency of the
input voltage, in the event of mains failure,
the output is automatically supplied with
120 V AC/60 Hz or 230 V AC/50 Hz
– Manual voltage pre-selection possible
Maximum energy efficiency:
– Offline operation: 98% efficiency for
charged power storage
– Power factor cos phi 0.8
Extensive signaling and parameterization:
– Switching outputs
– USB interface
– Data port
– Parameterization with memory module
Simplified startup:
– The UPS can be switched on without a
power supply network (cold restart)
QUINT UPS for AC applications
Power supplies and UPS
Uninterruptible power supply units for the control cabinet
Uninterruptible power supply,
1 AC/1AC, 500 VA

Input/
Output
m
ϑ
C
Input/
Output
m
ϑ
C
Ex:
Ex:
Technical data Technical data
Input data
Input voltage range 18 V DC ... 30 V DC 18 V DC ... 30 V DC
Nominal capacity 0.1 Ah 0.2 Ah
Output data
Nominal output voltage 24 V DC 24 V DC
Output voltage range 22 V DC ... 27 V DC 22 V DC ... 27 V DC
Output current 10 A 20 A
Output fuse 1x 25 A (internal) 2x 25 A (internal)
Can be connected in parallel / series No / No No / No
Buffer period 6 min (1 A) / 33 s (10 A) 12 min (1 A) / 33 s (20 A)
General data
Storage medium Dual layer capacitor Dual layer capacitor
Weight / Dimensions W x H x D 1.7 kg / 126 x 130 x 126 mm 2.9 kg / 150 x 130 x 176 mm
Degree of protection / Protection class IP20 / III IP20 / III
Ambient temperature (operation) -40°C ... 60°C -40°C ... 60°C
Ambient temperature (storage/transport) -40°C ... 60°C -40°C ... 60°C
Service life 20 years (20°C) 20 years (20°C)
Standards/regulations
UL approvals UL Listed UL 508, UL/C-UL Recognized UL 60950 UL Listed UL 508, UL/C-UL Recognized UL 60950
GL approvals GL applied for GL applied for
Ordering data Ordering data
Description Type Order No. Pcs. /
Pkt. Type Order No. Pcs. /
Pkt.
Power storage
UPS-CAP/24DC/10A/10KJ 2320377 1UPS-CAP/24DC/20A/20KJ 2320380 1
224
PHOENIX CONTACT
Maintenance-free CAP UPS
– Dual layer capacitors
– Life expectancy: >20 years (20°C),
>8 years (50°C)
– Communication with QUINT UPS
– Integrated temperature sensor
– Works reliably, even under extreme
ambient temperatures of -40°C to +60°C
H
W
D
H
W
D
Power storage for QUINT UPS
Power supplies and UPS
Uninterruptible power supply units for the control cabinet
Maintenance-free power storage,
24 V DC, 10 A, 10 kJ
Maintenance-free power storage,
24 V DC, 20 A, 20 kJ

Battery
DC 24V
m
C
J
12V
12V
For further information and full technical data, visit phoenixcontact.net/products
Ex:
Technical data
Input data/output data
Nominal input voltage 24 V DC
Nominal capacity 120 Wh
Output current 30 A
Output fuse 1x 30 A
Can be connected in parallel / series Yes / No
Buffer period 14 min (20 A)
General data
Storage medium LI-ION, 120 Wh
Weight / Dimensions W x H x D 2.9 kg / 135 x 202 x 110 mm
Degree of protection / Protection class IP20 / III
Ambient temperature (operation) -20°C ... 60°C
Service life 15 years (20°C)
Standards/regulations
UL approvals UL/C-UL listed UL 508, UL/C-UL Recognized UL 60950,
UL ANSI/ISA-12.12.01 Class I, Division 2, Groups A, B, C, D
(Hazardous Location)
Ordering data
Description Type Order No. Pcs. /
Pkt.
Power storage
UPS-BAT/LI-ION/24DC/120WH 2320351 1
225
PHOENIX CONTACT
H
W
D
UPS-BAT/LI-ION for long service life
with long buffer times
– Lithium-ion technology
– Works reliably, even under extreme
ambient temperatures of -20 to +58°C
– Communication with QUINT UPS
– Integrated temperature sensor for
optimum charging
– Battery can be changed without tools
Power storage for QUINT UPS
Power supplies and UPS
Uninterruptible power supply units for the control cabinet
LI-ION power storage, 120 Wh

Battery
DC 24V
m
C
J
12V
12V
Battery
DC 24V
m
C
J
12V
12V
Ex:
Ex:
Technical data Technical data
Input data/output data
Nominal input voltage 24 V DC 24 V DC
Nominal capacity 1.3 Ah 3.4 Ah
Output current 15 A 25 A
Output fuse 1x 15 A 1x 25 A
Can be connected in parallel / series Yes / No Yes / No
Buffer period 20 min (2 A) / 5 min (5 A) 4.5 min (20 A) / 3 min (25 A) 10 min (20 A) / 3 min (40 A) 22.5 min (20 A) / 9 min (40 A) 7
General data
Storage medium Lead rechargeable battery module Lead rechargeable battery module Lead rechargeable battery module Lead rechargeable
Weight / Dimensions W x H x D 1.7 kg / 54 x 157 x 113 mm 3.3 kg / 85 x 191 x 110 mm 5.9 kg / 135 x 202 x 110 mm 8.9 kg / 202 x 202
Degree of protection / Protection class IP20 / III IP20 / III
Ambient temperature (operation) 0°C ... 40°C 0°C ... 40°C
Service life 6 years ... 9 years (20°C) 6 years ... 9 years (20°C)
Standards/regulations
UL approvals UL/C-UL listed UL 508, UL/C-UL Recognized UL 60950,
UL ANSI/ISA-12.12.01 Class I, Division 2, Groups A, B, C, D
(Hazardous Location)
UL/C-UL listed UL 508, UL/C-UL Recognized UL 60950,
UL ANSI/ISA-12.12.01 Class I, Division 2, Groups A, B, C, D
(Hazardous Location)
Ordering data Ordering data
Description Type Order No. Pcs. /
Pkt. Type Order No. Pcs. /
Pkt.
Power storage
UPS-BAT/VRLA/24DC/ 1.3AH 2320296 1UPS-BAT/VRLA/24DC/ 3.4AH 2320306 1
Accessories Accessories
Mounting set
226
PHOENIX CONTACT
UPSBAT/VRLA for maximum buffer
times
– Lead AGM (Absorbent Glass Mat)
technology
– Ambient temperatures from 0 to +40°C
– Long buffer times for high currents
– Communication with QUINT UPS
– Integrated temperature sensor for
optimum charging
– Battery can be changed without tools
Power storage for QUINT UPS
Power supplies and UPS
Uninterruptible power supply units for the control cabinet
VRLA power storage, 1.3 Ah VRLA power storage, 3.4 Ah VRLA power storage, 7.2 Ah VRLA power storage, 12 Ah VRLA power storage, 38 A
H
W
D
H
W
D

Battery
DC 24V
m
C
J
12V
12V
Battery
DC 24V
m
C
J
12V
12V
DC 12V
DC 12V
Battery
DC 24V
J
m
C
For further information and full technical data, visit phoenixcontact.net/products
Ex:
Ex:
Ex:
Technical data Technical data Technical data
24VDC 24VDC 24VDC
7.2 Ah 12 Ah 38 Ah
50 A 50 A 45 A
2x 25 A 2x 25 A 2x 25 A ATOF 32V
Yes / No Yes / No Yes / No
Buffer period 20 min (2 A) / 5 min (5 A) 4.5 min (20 A) / 3 min (25 A) 10 min (20 A) / 3 min (40 A) 22.5 min (20 A) / 9 min (40 A) 72 min (20 A) / 35 min (40 A)
Storage medium Lead rechargeable battery module Lead rechargeable battery module Lead rechargeable battery module Lead rechargeable battery module Lead rechargeable battery module
Weight / Dimensions W x H x D 1.7 kg / 54 x 157 x 113 mm 3.3 kg / 85 x 191 x 110 mm 5.9 kg / 135 x 202 x 110 mm 8.9 kg / 202 x 202 x 110 mm 26 kg / 330 x 221 x 197 mm
IP20 / III IP20 / III IP20 / III
0°C ... 40°C 0°C ... 40°C 0°C ... 40°C
6 years ... 9 years (20°C) 6 years ... 9 years (20°C) 10 years ... 12 years (20°C)
UL/C-UL listed UL 508, UL/C-UL Recognized UL 60950,
UL ANSI/ISA-12.12.01 Class I, Division 2, Groups A, B, C, D
(Hazardous Location)
UL/C-UL listed UL 508, UL/C-UL Recognized UL 60950,
UL ANSI/ISA-12.12.01 Class I, Division 2, Groups A, B, C, D
(Hazardous Location)
UL/C-UL listed UL 508, UL/C-UL Recognized UL 60950,
UL ANSI/ISA-12.12.01 Class I, Division 2, Groups A, B, C, D
(Hazardous Location)
Ordering data Ordering data Ordering data
Type Order No. Pcs. /
Pkt. Type Order No. Pcs. /
Pkt. Type Order No. Pcs. /
Pkt.
UPS-BAT/VRLA/24DC/ 7.2AH 2320319 1UPS-BAT/VRLA/24DC/12AH 2320322 1UPS-BAT/VRLA/24DC/38AH 2320335 1
Accessories Accessories Accessories
BATTERY MOUNTING CASE 2320458 1
227
PHOENIX CONTACT
Power supplies and UPS
Uninterruptible power supply units for the control cabinet
H
W
D
VRLA power storage, 1.3 Ah VRLA power storage, 3.4 Ah VRLA power storage, 7.2 Ah VRLA power storage, 12 Ah VRLA power storage, 38 Ah
H
W
D
H
W
D

DC 12V
DC 12V
Battery
DC 24V
J
m
C
DC 12V
DC 12V
Battery
DC 24V
J
m
C
Technical data Technical data
Input data/output data
Nominal input voltage 24 V DC 24 V DC
Nominal capacity 13 Ah 26 Ah
Output current 45 A 45 A
Output fuse 2x 25 A ATOF 32V 2x 25 A ATOF 32V
Can be connected in parallel / series Yes / No Yes / No
Buffer period 50 min (10 A) / 10 min (40 A) 120 min (10 A) / 30 min (40 A)
General data
Storage medium Pure lead AGM Pure lead AGM
Weight / Dimensions W x H x D 10.8 kg / 172 x 177 x 178 mm 21.6 kg / 358 x 174 x 169 mm
Degree of protection / Protection class IP20 / III IP20 / III
Ambient temperature (operation) -25°C ... 60°C -25°C ... 60°C
Ambient temperature (storage/transport) -40°C ... 60°C -40°C ... 60°C
Service life 10 years ... 15 years (20°C) 10 years ... 15 years (20°C)
Standards/regulations
UL approvals UL/C-UL listed UL 508, UL/C-UL Recognized UL 60950 UL/C-UL listed UL 508, UL/C-UL Recognized UL 60950
GL approvals GL applied for GL applied for
Ordering data Ordering data
Description Type Order No. Pcs. /
Pkt. Type Order No. Pcs. /
Pkt.
Power storage
UPS-BAT/VRLA-WTR/24DC/13AH 2320416 1UPS-BAT/VRLA-WTR/24DC/26AH 2320429 1
Accessories Accessories
Mounting set BATTERY MOUNTING CASE 2320458 1BATTERY MOUNTING CASE 2320458 1
228
PHOENIX CONTACT
UPS BAT/VRLA-WTR for
temperatures from -25 to +60°C
– Pure lead AGM technology
– Communication with QUINT UPS
– Integrated temperature sensor for
optimum charging
Power storage for QUINT UPS
Power supplies and UPS
Uninterruptible power supply units for the control cabinet
Power storage with wide temperature range
24 V DC, 13 Ah
Power storage with wide temperature range
24 V DC, 26 Ah

For further information and full technical data, visit phoenixcontact.net/products
229
PHOENIX CONTACT
Power supplies and UPS
Uninterruptible power supply units for the control cabinet

Ordering data
Description Type Order No. Pcs. /
Pkt.
Configuration software for QUINT UPS
UPS-CONF 2320403 1
The UPS CONF configuration software
can be downloaded free of charge from our
homepage. Remember to order the
IFS-USB-DATACABLE as well in order to
use the software.
Supported operating systems:
– Windows 8.1 (32 and 64-bit)
– Windows 8.0 (32 and 64-bit)
– Windows 7 (32 and 64-bit)
– Windows Vista
– Windows XP
Minimum requirements:
– Display: 800 x 600, 256 colors
– Processor: 400 MHz, Pentium processor
or similar
– RAM: 96 MB
Configuration software for QUINT
UPS
Power supplies and UPS
Uninterruptible power supply units for the control cabinet
Ordering data Ordering data
Description Type Order No. Pcs. /
Pkt. Type Order No. Pcs. /
Pkt.
Programming adapter for configuring modules with S-PORT
interface
Cable length: 3 m IFS-USB-DATACABLE 2320500 1
Multi-functional memory module for the INTERFACE system
- Flat design IFS-CONFSTICK 2986122 1
- Tall design IFS-CONFSTICK-L 2901103 1
230
PHOENIX CONTACT
IFS-USB-DATACABLE is required for
communication between the
uninterruptible power supply and the UPS
CONF configuration software.
IFS-CONFSTICK for storing the values
you have configured and transferring them
to other uninterruptible power supplies.
Accessories for QUINT UPS and
TRIO UPS

For further information and full technical data, visit phoenixcontact.net/products
Ordering data
Description Type Order No. Pcs. /
Pkt.
Data cable for communication between higher-level controllers
and QUINT UPS uninterruptible power supplies, cable length: 2 m
Modbus communication IFS-RS232-DATACABLE 2320490 1
Direct communication IFS-MINI-DIN-DATACABLE 2320487 1
Flexible communication IFS-OPEN-END-DATACABLE 2320450 1
IFS-RS232-DATACABLE
– For Modbus communication with the RS-
232 interface
– Connection to the Phoenix Contact
COM server for Ethernet communication
– Communicate directly with higher-level
controllers, such as Phoenix Contact ILC
or RFC, or use as a gateway
IFS-MINI-DIN-DATACABLE
– For direct communication with the ILC
from the Phoenix Contact Inline system
IFS-OPEN-END-DATACABLE
– Open cable for flexible communication
QUINT UPS function blocks
– For further processing of information
communicated via data cables
– For PC Worx software
– Free download at
phoenixcontact.net/products
Accessories for QUINT UPS
Power supplies and UPS
Uninterruptible power supply units for the control cabinet
new
Ordering data Ordering data
Description Type Order No. Pcs. /
Pkt. Type Order No. Pcs. /
Pkt.
Mounting set
BATTERY MOUNTING KIT 2320788 1BATTERY MOUNTING CASE 2320458 1
231
PHOENIX CONTACT
Battery mounting kit
– For attaching individual battery blocks to
a mounting plate
– Consists of four powder-coated metal
brackets and a fabric lashing strap
Battery mounting case
– Battery frame for universal wall or surface
mounting
Mounting set

232
PHOENIX CONTACT
Selection of UPS modules with integrated power storage or integrated
power supply
To save space in the control cabinet or to
retrofit existing systems easily, UPS versions
with integrated power storage (QUINT,
UNO, and STEP) or integrated power
supply (MINI and TRIO) are recommended.
STEP UPS selection table
Select your STEP UPS here
Load current
Buffer time
Seconds Minutes
0.20.4128161234567891020304045
0.5 A
1 A
1.5 A
2 A
2.5 A
UNO-UPS-1G/24DC/24DC/60W
Load current
Buffer time
Seconds Minutes
0.2 0.4 1 2 8 16 1 2 3 4 5 6 7 8 9 10 15 20 25 30 40 45 50
0.5 A
1 A
2 A
3 A
STEP-UPS/24DC/24DC/3
UNO UPS selection table
Select your UNO UPS here
Note:
With the STEP-UPS/12DC/12DC/4, buffer
times are double those of the STEP-
UPS/24DC/24DC/3.
Power supplies and UPS
Uninterruptible power supply units for the control cabinet

For further information and full technical data, visit phoenixcontact.net/products
233
PHOENIX CONTACT
Buffer times for UPS with
integrated power storage
Particularly space-saving and easy to
retrofit, the UPS module and power storage
are combined in the same housing. The
maintenance-free buffer module is available
with 40 A load current. It's just a case of
connecting a power supply upstream and
the reliable UPS solution is complete.
Load current
Buffer time
Minutes Hours
2356789102030404550123
0.5�A
1 A
1.5 A
2 A
3 A
4 A
5 A
MINI-BAT for MINI-UPS MINI-BAT/24DC/0.8AH QUINT-BAT/24DC/7.2AH
MINI-BAT/24DC/1.3AH QUINT-BAT/24DC/12AH
MINI-BAT for TRIO-UPS MINI-BAT/24DC/1.3AH
QUINT-BAT/24DC/3.4AH
Power storage for MINI UPS and
TRIO UPS
The UPS module and power supply are
combined in the same housing in a
particularly space-saving way. Only one
power storage is required to complete the
UPS system.
MINI UPS
Power storage with lead AGM technology
for output voltages of 24 or
12 V DC. Buffer times of up to 50 minutes
with 1 A load current.
Note: with the MINI-DC-UPS/12DC/4,
buffer times are double those of the
MINI-DC-UPS/24DC/2.
TRIO UPS
Power storage devices with lead AGM
technology buffer failures lasting up to
2 hours with 5 A load current.
Select your QUINT UPS and QUINT
BUFFER here.
Example: 5 A needs to be buffered for
20 minutes.
Solution:
QUINT-UPS/24DC/24DC/10/3.4AH
Select your MINI-BAT and QUINT-BAT
for MINI UPS and TRIO UPS here.
Example: 2 A needs to be buffered for
20 minutes.
Solution: MINI-BAT/24DC/1.3AH
Load current
Buffer time
Seconds Minutes Hours
0.2 0.4 1 2 8 16 30 1 2 3 5 6 7 8 9 10 15 20 25 30 40 45 50 1 2 3
0.5�A
1 A
2 A
3 A
5 A
7 A
10 A
15 A
20 A
25 A
30 A
35 A
40 A
QUINT UPS QUINT-UPS/24DC/24DC/5/1.3AH QUINT-UPS/24DC/24DC/10/3.4AH
QUINT BUFFER QUINT-BUFFER/24DC/24DC/40
Power supplies and UPS
Uninterruptible power supply units for the control cabinet

13
23
33
14
24
34
R1
R2
Alarm
Bat.-
Mode
Bat.-
Charge
Remote
Confirm
Data-Port
Input
DC 24V Output
DC 24V
24V 0.2A
I < I
N
m
C
J
t [min]
max
Battery
24VDC
J
13
23
33
14
24
34
R1
R2
Alarm
Bat.-
Mode
Bat.-
Charge
Remote
Confirm
Data-Port
Input
DC 24V Output
DC 24V
24V 0.2A
I < I
N
m
C
J
t [min]
max
Battery
24VDC
J
Technical data Technical data
Input data
Input voltage range 18 V DC ... 30 V DC 18 V DC ... 30 V DC
Max. current consumption 9.3 A (24 V DC) 18.6 A (24 V DC)
Output data
Nominal output voltage 24 V DC 24 V DC
Output voltage range 19.2 V DC ... 27.6 V DC (U
OUT
= U
BAT
- 0.5 V DC) 19.2 V DC ... 27.6 V DC (U
OUT
= U
BAT
- 0.5VDC)
Output current 5 A 10 A
Can be connected in parallel / series Yes / No Yes / No
Buffer period 50 min (1 A) / 5 min (5 A) 180 min (1 A) / 10 min (10 A)
Max. power dissipation (normal mode / buffer mode) 2.5 W / 3.3 W 3.1 W / 6.3 W
Efficiency (typ.) > 97.1% (mains operation, with charged power storage) > 97.6% (mains operation, with charged power storage)
Signaling
Signaling LED, relay contact, interface/software LED, relay contact, interface/software
Interfaces IFS (Interface system data port) IFS (Interface system data port)
General data
Storage medium Lead rechargeable battery module 1.3 Ah Lead rechargeable battery module, 3.4 Ah
Weight / Dimensions W x H x D 2.2 kg / 88 x 138 x 125 mm 3.8 kg / 120 x 169 x 125 mm
Installation position horizontal DIN rail NS 35, EN 60715 horizontal DIN rail NS 35, EN 60715
Spacing when mounting Alignable: horizontally 5 mm, vertically 50 mm Alignable: horizontally 5 mm, vertically 50 mm
Connection method Plug-in screw connection Plug-in screw connection
Input connection data (solid / stranded / AWG) 0.2 - 2.5 mm² / 0.2 - 2.5 mm² / 20 - 12 0.2 - 2.5 mm² / 0.2 - 2.5 mm² / 16 - 12
Output connection data (solid / stranded / AWG) 0.2 - 2.5 mm² / 0.2 - 2.5 mm² / 20 - 12 0.2 - 2.5 mm² / 0.2 - 2.5 mm² / 16 - 12
Signal connection data (solid / stranded / AWG) 0.2 - 2.5 mm² / 0.2 - 2.5 mm² / 24 - 12 0.2 - 2.5 mm² / 0.2 - 2.5 mm² / 24 - 12
Degree of protection / Protection class IP20 / III IP20 / III
MTBF (IEC 61709, SN 29500) > 806000 h (40°C) > 806000 h (40°C)
Ambient temperature (operation) 0°C ... 40°C 0°C ... 40°C
Ambient temperature (storage/transport) -15°C ... 40°C -15°C ... 40°C
Service life 6 years ... 9 years (20°C) 6 years ... 9 years (20°C)
Latest startup 9 months (20°C ... 30°C)
6 months (30°C ... 40°C)
9 months (20°C ... 30°C)
6 months (30°C ... 40°C)
Standards/regulations
Electromagnetic compatibility Conformance with EMC Directive 2004/108/EC Conformance with EMC Directive 2004/108/EC
Electrical safety, safety transformer EN 60950-1/VDE 0805 (SELV) EN 60950-1/VDE 0805 (SELV)
Electronic equipm. for electrical power installations EN 50178/VDE 0160 (PELV) EN 50178/VDE 0160 (PELV)
UL approvals UL/C-UL Recognized UL 60950, UL Listed UL 508 UL/C-UL Recognized UL 60950, UL Listed UL 508
Ordering data Ordering data
Description Type Order No. Pcs. /
Pkt. Type Order No. Pcs. /
Pkt.
Power supply, uninterruptible
QUINT-UPS/ 24DC/ 24DC/ 5/1.3AH 2320254 1QUINT-UPS/ 24DC/ 24DC/10/3.4AH 2320267 1
234
PHOENIX CONTACT
QUINT-UPS is very easy to install in
existing systems. It's just a case of
connecting a 24VDC power supply unit
upstream and the reliable UPS solution is
complete.
– Advantages of using IQ technology
– Minimal wiring effort
– Maintenance-free power storage with
lead AGM technology
Notes:
The buffer time associated with your solution is dependent on the
load current. Exact details for each uninterruptible power supply
can be found on page 233.
H
W
D
H
W
D
UPS module with integrated power
storage
Power supplies and UPS
Uninterruptible power supply units for the control cabinet
Uninterruptible power supply
with integrated power storage,
24 V DC / 24 V DC, 5 A, 1.3 Ah
Uninterruptible power supply
with integrated power storage,
24 V DC / 24 V DC, 10 A, 3.4 Ah

Power
Good
Backup
Threshold
GND
Output
Input
For further information and full technical data, visit phoenixcontact.net/products
Ex:
Technical data
Input data
Input voltage range 18 V DC ... 30 V DC
Max. current consumption 0.1 A (no-load)
Current consumption (idling / charging process / max.) 0.1 A / 0.7 A / 45 A
Connect threshold (fixed, variable) < 20 V DC (< 22 V; < 24 V; < 26 V), (U
IN
- 1 V)/0.1 s
Output data
Nominal output voltage 24 V DC (depending on the input voltage)
Output current 40 A / 120 A
Can be connected in parallel / series Yes / No
Buffer period 0.2 s (40 A) / 8 s (1 A)
Max. power dissipation (normal mode / buffer mode) 8 W / 48 W
Efficiency (typ.) > 99% (mains operation, with charged power storage)
Signaling
Signaling DC OK LED, active switching output
General data
Storage medium Electrolytic capacitor
Weight / Dimensions W x H x D 1.1 kg / 64 x 130 x 125 mm
Installation position horizontal DIN rail NS 35, EN 60715
Spacing when mounting Alignable: horizontally 0 mm, vertically 50 mm
Connection method Screw connection
Input connection data (solid / stranded / AWG) 0.5 - 16 mm² / 0.5 - 16 mm² / 8 - 6
Output connection data (solid / stranded / AWG) 0.5 - 16 mm² / 0.5 - 16 mm² / 8 - 6
Signal connection data (solid / stranded / AWG) 0.2 - 4 mm² / 0.2 - 2.5 mm² / 24 - 12
Degree of protection / Protection class IP20 / III
MTBF (IEC 61709, SN 29500) > 902000 h (40°C)
Ambient temperature (operation) -25°C ... 80°C
Standards/regulations
Insulation voltage: input, output/housing 500 V
Electromagnetic compatibility Conformance with EMC Directive 2004/108/EC
Electrical safety EN 60950-1/VDE 0805 (SELV)
Electronic equipm. for electrical power installations EN 50178/VDE 0160 (PELV)
UL approvals UL/C-UL Recognized UL 60950, UL Listed UL 508,
UL ANSI/ISA-12.12.01 Class I, Division 2, Groups A, B, C, D
(Hazardous Location)
Ordering data
Description Type Order No. Pcs. /
Pkt.
Power supply, uninterruptible
QUINT-BUFFER/24DC/24DC/40 2320393 1
235
PHOENIX CONTACT
Notes:
The buffer time associated with your solution is dependent on the
load current. Exact details for each uninterruptible power supply
can be found on page 233.
H
W
D
The buffer module can accommodate
failures lasting several seconds.
It combines an electronic switch-over
unit and a capacitor-based power storage in
the same housing.
Maintenance-free buffer module
Power supplies and UPS
Uninterruptible power supply units for the control cabinet
Buffer module,
24 V DC / 24 V DC, 40 A

Alarm
Bat.- Mode
Bat.- Charge
GND
R1
R2
Remote
Battery
Input
DC 24V Output
DC 24V
m
C
t
[min]
max
J
Alarm
Bat.- Mode
Bat.- Charge
GND
R1
R2
Remote
Battery
Input
DC 12V Output
DC 12V
m
C
t
[min]
max
J
Technical data Technical data
Input data
Input voltage range 22.5 V DC ... 29.5 V DC 10 V DC ... 16.5 V DC
Max. current consumption 4.7 A 6 A
Current consumption charging process 0.5 A 0.8 A
Input fuse 7 A (slow-blow, internal) 7 A (slow-blow, internal)
Output data
Nominal output voltage 24 V DC 12 V DC
Output current standard operation 3 A 4 A
Output current POWERBOOST 4 A (0°C ... 35°C) 5 A (0°C ... 35°C)
Can be connected in parallel / series No / No No / No
Buffer period 50 min (1 A) / 25 min (2 A) 100 min (1 A) / 50 min (2 A)
Max. power dissipation (normal mode / buffer mode) 2 W / 3.8 W 1.2 W / 4.4 W
Efficiency (typ.) > 98% (mains operation, with charged power storage) > 97.4% (mains operation, with charged power storage)
Signaling
Signaling Power OK LED LED
Signaling alarm LED, active transistor switching output LED, active transistor switching output
Signaling battery charge LED, active transistor switching output LED, active transistor switching output
Signaling battery mode LED, active transistor switching output LED, active transistor switching output
General data
Storage medium Lithium polymer Lithium polymer
Weight / Dimensions W x H x D 0.45 kg / 108 x 90 x 61 mm 0.46 kg / 108 x 90 x 61 mm
Installation position horizontal DIN rail NS 35, EN 60715 horizontal DIN rail NS 35, EN 60715
Spacing when mounting Alignable: horizontally 0 mm, vertically 50 mm Alignable: horizontally 0 mm, vertically 50 mm
Connection method Screw connection Screw connection
Input connection data (solid / stranded / AWG) 0.2 - 2.5 mm² / 0.2 - 2.5 mm² / 24 - 12 0.2 - 2.5 mm² / 0.2 - 2.5 mm² / 24 - 12
Output connection data (solid / stranded / AWG) 0.2 - 2.5 mm² / 0.2 - 2.5 mm² / 24 - 12 0.2 - 2.5 mm² / 0.2 - 2.5 mm² / 24 - 12
Signal connection data (solid / stranded / AWG) 0.2 - 2.5 mm² / 0.2 - 2.5 mm² / 24 - 12 0.2 - 2.5 mm² / 0.2 - 2.5 mm² / 24 - 12
Degree of protection / Protection class IP20 / III IP20 / III
MTBF (IEC 61709, SN 29500) > 1401000 h (40°C) > 1997000 h (40°C)
Ambient temperature (operation) 0°C ... 40°C 0°C ... 40°C
Standards/regulations
Electromagnetic compatibility Conformance with EMC Directive 2004/108/EC Conformance with EMC Directive 2004/108/EC
Electrical safety, safety transformer EN 60950-1/VDE 0805 (SELV) EN 60950-1/VDE 0805 (SELV)
Electronic equipm. for electrical power installations EN 50178/VDE 0160 (PELV) EN 50178/VDE 0160 (PELV)
UL approvals UL Listed UL 508, UL/C-UL Recognized UL 60950 UL Listed UL 508, UL/C-UL Recognized UL 60950
Ordering data Ordering data
Description Type Order No. Pcs. /
Pkt. Type Order No. Pcs. /
Pkt.
Power supply, uninterruptible
STEP-UPS/24DC/24DC/3 2868703 1STEP-UPS/12DC/12DC/4 2868693 1
Accessories Accessories
Power storage STEP-BAT/LIPO/18.5DC/1.4AH 2320364 1STEP-BAT/LIPO/18.5DC/1.4AH 2320364 1
236
PHOENIX CONTACT
STEP UPS
The STEP BAT power supply unit is
included as part of the STEP UPS order. The
STEP BAT can be reordered separately. (See
accessories on this page)
Notes:
With the STEP-UPS/12DC/12DC/4, buffer times are double those
of the STEP-UPS/24DC/24 DC/3. See page 233.
The buffer time associated with your solution is dependent on the
load current. Exact details for each uninterruptible power supply
can be found on page 233.
H
W
D
H
W
D
UPS module with integrated power
storage
Power supplies and UPS
Uninterruptible power supply units for the control cabinet
Uninterruptible power supply
with integrated rechargeable battery,
24 V DC/24 V DC, 3 A
Uninterruptible power supply
with integrated battery module,
12 V DC/12 V DC, 4 A

+
–
Output
R1
R2
Alarm
Bat.-Mode
+
–
Input
Remote
For further information and full technical data, visit phoenixcontact.net/products
Technical data
Input data
Input voltage range 23 V DC ... 30 V DC
Max. current consumption 2.9 A
Current consumption charging process -
Input fuse 5 A (electronic)
Output data
Nominal output voltage 24 V DC
Output current standard operation 2.5 A
Output current POWERBOOST -
Can be connected in parallel / series Yes, with redundancy module / No
Buffer period 45 min (0.5 A) / 20 min (1 A)
Max. power dissipation (normal mode / buffer mode) 3.3 W / 6 W
Efficiency (typ.) > 95% (mains operation, with charged power storage)
Signaling
Signaling Power OK LED
Signaling alarm LED, active transistor switching output
Signaling battery charge LED
Signaling battery mode LED, active transistor switching output
General data
Storage medium Lead rechargeable battery module
Weight / Dimensions W x H x D 1 kg / 110 x 90 x 90 mm
Installation position horizontal DIN rail NS 35, EN 60715
Spacing when mounting Alignable: 0 mm horizontally, 30 mm vertically
Connection method Screw connection
Input connection data (solid / stranded / AWG) 0.2 - 2.5 mm² / 0.2 - 2.5 mm² / 24 - 14
Output connection data (solid / stranded / AWG) 0.2 - 2.5 mm² / 0.2 - 2.5 mm² / 24 - 14
Signal connection data (solid / stranded / AWG) 0.2 - 2.5 mm² / 0.2 - 2.5 mm² / 24 - 14
Degree of protection / Protection class IP20 / III
MTBF (IEC 61709, SN 29500) > 1400000 h
Ambient temperature (operation) -15°C ... 50°C
Standards/regulations
Electromagnetic compatibility Conformance with EMC Directive 2004/108/EC
Electrical safety, safety transformer EN 60950-1/VDE 0805 (SELV)
Electronic equipm. for electrical power installations EN 50178/VDE 0160 (PELV)
UL approvals UL Listed UL 508, UL/C-UL Recognized UL 60950
Ordering data
Description Type Order No. Pcs. /
Pkt.
Power supply, uninterruptible
UNO-UPS/24DC/24DC/60W 2905907 1
237
PHOENIX CONTACT
UNO UPS
The power storage is included when
ordering UNO UPS.
Notes:
The buffer time associated with your solution is dependent on the
load current. Exact details for each uninterruptible power supply
can be found on page 233.
H
W
D
new
UPS module with integrated power
storage
Power supplies and UPS
Uninterruptible power supply units for the control cabinet
Uninterruptible power supply
with integrated rechargeable battery,
24 V DC/24 V DC, 60 W

t...[min]
JJ
Output DC
24V5A
Remote
On/Off
2x 12V
Battery
PS
Alarm
Bat.-Charge
Bat.-Mode
IFS Config.-Port
Confirm
L (+)
N (-)
R1
R2
Technical data
Input data
Nominal input voltage range 100 V AC ... 240 V AC
Input voltage range 85 V AC ... 264 V AC / 100 V DC ... 350 V DC
Max. current consumption in normal mode 0.95 A (230 V AC) / 1.1 A (230VAC, maximum), 1.7 A (120 V AC) /
1.8 A (120VAC, maximum)
Input fuse 6.3 A (slow-blow, internal)
Reliable backup fuse, circuit breaker B6, B10, B16
Output data
Nominal output voltage 24 V DC
Output current 5 A
Can be connected in parallel / series No / No
Buffer period 20 min (5 A)
Max. power dissipation (normal mode / buffer mode) 16 W / 4 W
Efficiency (typ.) > 88% (230 V AC, mains operation)
Signaling
Interfaces IFS (Interface system data port)
Signaling Power OK LED
Signaling alarm LED, active switching output
Signaling battery charge LED, active switching output
Signaling battery mode LED, active switching output
General data
Storage medium External, battery 1.3 Ah / 3.4 Ah / 7.2 Ah / 12 Ah
Weight / Dimensions W x H x D 1.1 kg / 60 x 130 x 118 mm
Installation position horizontal DIN rail NS 35, EN 60715
Spacing when mounting Alignable: horizontally 0 mm, vertically 50 mm
Connection method Screw connection
Input connection data (solid / stranded / AWG) 0.2 - 2.5 mm² / 0.2 - 2.5 mm² / 24 - 12
Output connection data (solid / stranded / AWG) 0.2 - 2.5 mm² / 0.2 - 2.5 mm² / 24 - 12
Signal connection data (solid / stranded / AWG) 0.2 - 2.5 mm² / 0.2 - 2.5 mm² / 24 - 12
Degree of protection / Protection class IP20 / I
MTBF (IEC 61709, SN 29500) > 596000 h (40°C)
Ambient temperature (operation) -25°C ... 70°C (> 55° C derating: 2.5%/K)
Standards/regulations
Insulation voltage input/output 2 kV (routine test) / 4 kV (type test)
Electromagnetic compatibility Conformance with EMC Directive 2004/108/EC
Electrical safety, safety transformer EN 60950-1/VDE 0805 (SELV)
Electronic equipm. for electrical power installations EN 50178/VDE 0160 (PELV)
UL approvals UL/C-UL listed UL 508, UL/C-UL Recognized UL 60950
Ordering data
Description Type Order No. Pcs. /
Pkt.
Power supply, uninterruptible
TRIO-UPS/1AC/24DC/ 5 2866611 1
238
PHOENIX CONTACT
TRIO UPS
Developed specifically for supplying
industrial PCs. Configuration port: freely
parameterizable with the UPS CONF
configuration software. Configuration stick:
parameterize stick once and transfer to any
number of TRIO UPS units.
The UPS-CONF TRIO (Order No.
2320348) configuration software can be
downloaded free of charge from our
homepage.
Notes:
The buffer time associated with your solution is dependent on the
load current. Exact details for each uninterruptible power supply
can be found on page 233.
H
W
D
UPS module with integrated power
supply unit
Power supplies and UPS
Uninterruptible power supply units for the control cabinet
UPS with integrated power supply,
100 - 240 V AC / 24 V DC, 5 A

-
+
-
+
L(+)
N(-) +24 V/2A
Alarm
Remote
On/Off
Bat. Mode
Battery
Charge
t...[min]
R1
R2
PS
-
+
-
+
L(+)
N(-) +12 V/4A
Alarm
Remote
On/Off
Bat. Mode
Battery
Charge
t...[min]
R1
R2
PS
For further information and full technical data, visit phoenixcontact.net/products
Ex:
Ex:
Technical data Technical data
Input data
Nominal input voltage range 100 V AC ... 240 V AC 100 V AC ... 240 V AC
Input voltage range 85 V AC ... 264 V AC / 100 V DC ... 350 V DC 85 V AC ... 264 V AC / 100 V DC ... 350 V DC
Max. current consumption in normal mode 0.6 A / 0.85 A (230 V AC), 1.1 A / 1.5 A (120 V AC) 0.5 A / 0.65 A (230 V AC), 1.15 A / 1.35 A (120 V AC)
Input fuse 3.15 A (slow-blow, internal) 3.15 A (slow-blow, internal)
Reliable backup fuse, circuit breaker B6, B10, B16 B6, B10, B16
Output data
Nominal output voltage 24 V DC (AC input voltage available: 22.5 to 29.5 V DC, AC input
voltage not available: 27.9 to 19.2 V DC)
12 V DC (AC input voltage available: 10 to 16 V DC, AC input
voltage not available: 13.6 to 9.6 V DC)
Output current 2 A 4 A
Can be connected in parallel / series No / Yes No / Yes
Buffer period 20 min (2 A) 20 min (4 A)
Max. power dissipation (idling / normal mode / buffer mode) 3.8 W / 10.1 W / 2.1 W 1.6 W / 10.5 W / 2.6 W
Efficiency (typ.) > 83% > 82%
Signaling
Signaling Power OK LED LED
Signaling alarm LED, active switching output LED, active switching output
Signaling battery charge LED, active switching output LED, active switching output
Signaling battery mode LED, active switching output LED, active switching output
General data
Storage medium External, battery 0.8 Ah / 1.3 Ah External, rechargeable battery 1.6 Ah / 2.6 Ah
Weight / Dimensions W x H x D 0.45 kg / 67.5 x 99 x 107 mm 0.45 kg / 67.5 x 99 x 107 mm
Installation position horizontal DIN rail NS 35, EN 60715 horizontal DIN rail NS 35, EN 60715
Spacing when mounting Alignable: horizontally 0 mm, vertically 50 mm Alignable: horizontally 0 mm, vertically 50 mm
Connection method Plug-in COMBICON screw connections Plug-in COMBICON screw connections
Input connection data (solid / stranded / AWG) 0.2 - 2.5 mm² / 0.2 - 2.5 mm² / 24 - 12 0.2 - 2.5 mm² / 0.2 - 2.5 mm² / 24 - 12
Output connection data (solid / stranded / AWG) 0.2 - 2.5 mm² / 0.2 - 2.5 mm² / 24 - 12 0.2 - 2.5 mm² / 0.2 - 2.5 mm² / 24 - 12
Signal connection data (solid / stranded / AWG) 0.2 - 2.5 mm² / 0.2 - 2.5 mm² / 24 - 12 0.2 - 2.5 mm² / 0.2 - 2.5 mm² / 24 - 12
Degree of protection / Protection class IP20 / II IP20 / II
MTBF (IEC 61709, SN 29500) > 753000 h (40°C) > 728000 h (40°C)
Ambient temperature (operation) -25°C ... 70°C (> 60°C derating: 2.5%/K) -25°C ... 70°C (> 60°C derating: 2.5%/K)
Standards/regulations
Insulation voltage input/output 2 kV (routine test) / 4 kV (type test) 2 kV (routine test) / 4 kV (type test)
Electromagnetic compatibility Conformance with EMC Directive 2004/108/EC Conformance with EMC Directive 2004/108/EC
Electrical safety, safety transformer EN 60950-1/VDE 0805 (SELV) EN 60950-1/VDE 0805 (SELV)
Electronic equipm. for electrical power installations EN 50178/VDE 0160 (PELV) EN 50178/VDE 0160 (PELV)
UL approvals UL Listed UL 508, UL/C-UL Recognized UL 60950,
UL ANSI/ISA-12.12.01 Class I, Division 2, Groups A, B, C, D
(Hazardous Location)
UL Listed UL 508, UL/C-UL Recognized UL 60950,
UL ANSI/ISA-12.12.01 Class I, Division 2, Groups A, B, C, D
(Hazardous Location)
Ordering data Ordering data
Description Type Order No. Pcs. /
Pkt. Type Order No. Pcs. /
Pkt.
Power supply, uninterruptible
MINI-DC-UPS/24DC/2 2866640 1MINI-DC-UPS/12DC/4 2866598 1
239
PHOENIX CONTACT
MINI-UPS 24 V DC and 12 V DC
The MINI UPS combines the power
supply unit and the UPS module in the same
housing in a particularly space-saving way.
Notes:
With the MINI-DC-UPS/12DC/4, buffer times are double those of
the MINI-DC-UPS/24DC/2.
The buffer time associated with your solution is dependent on the
load current. Exact details for each uninterruptible power supply
can be found on page 233.
H
W
D
H
W
D
UPS module with integrated power
supply unit
Power supplies and UPS
Uninterruptible power supply units for the control cabinet
UPS with integrated power supply,
100 - 240 V AC / 24 V DC, 2 A
UPS with integrated power supply,
100 - 240 V AC / 12 V DC, 4 A

Ex:
Technical data
Input data/output data
Nominal capacity 1.3 Ah
Nominal output voltage 24 V DC
Output current 15 A
Can be connected in parallel / series Yes / No
General data
Weight / Dimensions W x H x D 1.7 kg / 52 x 130 x 110 mm 3.5 kg /
Degree of protection / Protection class IP20 / III
Ambient temperature (operation) 0°C ... 40°C
Service life 6 years ... 9 years (20°C) 6 years ... 9 years (20°C) 6 years ... 9 years (20°C) 6 years ... 9 years (20°C)
Latest startup 6 months (20°C ... 30°C)
3 months (30°C ... 40°C)
Ordering data
Description Type Order No. Pcs. /
Pkt.
Power storage
MINI-BAT/24DC/1.3AH 2866417 1
240
PHOENIX CONTACT
Power storage for TRIOUPS
MINI-BAT, QUINT-BAT
MINI-BAT and QUINTBAT for maximum
buffer times
– Lead AGM (Absorbent Glass Mat)
technology
– Ambient temperatures from 0 to +40°C
Power supplies and UPS
Uninterruptible power supply units for the control cabinet
H
W
D
Power storage, 24 V DC, 1.3 Ah
for TRIO UPS and MINI UPS 2 A

For further information and full technical data, visit phoenixcontact.net/products
BSH
Technical data Technical data Technical data
3.4 Ah 7.2 Ah 12 Ah
24VDC 24VDC 24VDC
25 A 50 A 50 A
Yes / No Yes / No Yes / No
Weight / Dimensions W x H x D 1.7 kg / 52 x 130 x 110 mm 3.5 kg / 112 x 145 x 123 mm 6 kg / 164 x 156 x 110 mm 9 kg / 231 x 156 x 110 mm
IP20 / - IP20 / III IP20 / III
0°C ... 40°C 0°C ... 40°C 0°C ... 40°C
Service life 6 years ... 9 years (20°C) 6 years ... 9 years (20°C) 6 years ... 9 years (20°C) 6 years ... 9 years (20°C)
9 months (20°C ... 30°C)
6 months (30°C ... 40°C)
9 months (20°C ... 30°C)
6 months (30°C ... 40°C)
9 months (20°C ... 30°C)
6 months (30°C ... 40°C)
Ordering data Ordering data Ordering data
Type Order No. Pcs. /
Pkt. Type Order No. Pcs. /
Pkt. Type Order No. Pcs. /
Pkt.
QUINT-BAT/24DC/ 3.4AH 2866349 1QUINT-BAT/24DC/ 7.2AH 2866352 1QUINT-BAT/24DC/12AH 2866365 1
241
PHOENIX CONTACT
Power supplies and UPS
Uninterruptible power supply units for the control cabinet
H
W
D
H
W
D
H
W
D
Power storage, 24 V DC, 3.4 Ah
for TRIO UPS
Power storage, 24 V DC, 7.2 Ah
for TRIO UPS
Power storage, 24 V DC, 12 Ah
for TRIO UPS

Ex:
Technical data
Input data/output data
Nominal capacity 0.8 Ah
Nominal output voltage 24 V DC
Output current 5 A
Can be connected in parallel / series Yes / No
General data
Weight / Dimensions W x H x D 0.9 kg / 67.5 x 99 x 107 mm 1.7 kg
Degree of protection / Protection class IP20 / III
Ambient temperature (operation) 0°C ... 40°C
Service life 4 years (20°C)
Latest startup 6 months (20°C ... 30°C)
3 months (30°C ... 40°C)
Ordering data
Description Type Order No. Pcs. /
Pkt.
Power storage
MINI-BAT/24DC/0.8AH 2866666 1
242
PHOENIX CONTACT
Power storage for MINIUPS
MINI-BAT
MINI-BAT for maximum buffer times
– Lead AGM (Absorbent Glass Mat)
technology
– Ambient temperatures from 0 to +40°C
Power supplies and UPS
Uninterruptible power supply units for the control cabinet
H
W
D
Notes:
The buffer time associated with your solution is dependent on the
load current. Exact details for each uninterruptible power supply
can be found on page 233.
Power storage, 24 V DC, 0.8 Ah
for MINI UPS 2 A

For further information and full technical data, visit phoenixcontact.net/products
Ex:
Ex:
Ex:
Technical data Technical data Technical data
1.3 Ah 1.6 Ah 2.6 Ah
24VDC 12VDC 12VDC
15 A 10 A 15 A
Yes / No Yes / No Yes / No
Weight / Dimensions W x H x D 0.9 kg / 67.5 x 99 x 107 mm 1.7 kg / 52 x 130 x 110 mm 0.9 kg / 67.5 x 99 x 107 mm 1.7 kg / 52 x 130 x 110 mm
IP20 / III IP20 / III IP20 / III
0°C ... 40°C 0°C ... 40°C 0°C ... 40°C
6 years ... 9 years (20°C) 4 years (20°C) 6 years ... 9 years (20°C)
6 months (20°C ... 30°C)
3 months (30°C ... 40°C)
6 months (20°C ... 30°C)
3 months (30°C ... 40°C)
6 months (20°C ... 30°C)
3 months (30°C ... 40°C)
Ordering data Ordering data Ordering data
Type Order No. Pcs. /
Pkt. Type Order No. Pcs. /
Pkt. Type Order No. Pcs. /
Pkt.
MINI-BAT/24DC/1.3AH 2866417 1MINI-BAT/12DC/1.6AH 2866572 1MINI-BAT/12DC/2.6AH 2866569 1
243
PHOENIX CONTACT
Power supplies and UPS
Uninterruptible power supply units for the control cabinet
H
W
D
H
W
D
H
W
D
Power storage, 24 V DC, 1.3 Ah
for TRIO UPS and MINI UPS 2 A
Power storage 12 V DC, 1.6 Ah
for MINI UPS 4 A
Power storage 12 V DC, 2.6 Ah
for MINI UPS 4 A

244
PHOENIX CONTACT
Power supplies and UPS
Uninterruptible power supply units for 19" racks/towers
Constant power supply and improved
power quality
UPS devices play an important role in
ensuring reliable power quality. They bridge
power failures and remove other mains
faults such as:
– Undervoltages or surge voltages
– High-frequency noise
– Frequency fluctuations
– Harmonics
Class VFI-SS-111 UPS devices
according to IEC 62040-3
The UPS devices are class VFI-SS-111
single-phase, uninterruptible power supply
units. The connected loads are protected
against any faults on the mains side. Double
conversion technology permanently
supplies loads with an output
voltage/frequency that is independent of the
mains input.
Extensive configuration options:
Configure your UPS system according to
your requirements and the operating
environment.
UPS-CP devices can be configured directly
via the control panel, even with no external
power supply, provided the batteries are
charged:
– Quick status check via LED and
illuminated LCD control panel
– Controlled computer shutdown by means
of additional software
– Remote access via web browser with
SNMP network card
Complete and extend your UPS system:
– DIN rails offer the option of installing the
UPS-CP devices in 19" racks
– All devices can be extended with SNMP
network cards or relay cards

For further information and full technical data, visit phoenixcontact.net/products
Easy battery replacement
Batteries can be easily replaced during
operation and when integrated. This is true
for all UPS devices and battery modules.
245
PHOENIX CONTACT
Power supplies and UPS
Uninterruptible power supply units for 19" racks/towers
Long battery life
The special charge control of the UPS-CP
devices ensures ripple-free DC voltage
without higher-level AC currents.
Integrated safety cut-off
If required the UPS-CP devices can be
integrated in a safety concept via a two-pos.
connection.
Stand-alone or 19" rack installation
possible
Depending on the application, the control
panel on the UPS-CP devices can be rotated
90° for optimum display clarity.
Search
#0155
Find out more
with the web code
Detailed information on these
products can be found on our
website.
Simply enter # and numbers in the
search field.

246
PHOENIX CONTACT

Introduction 248
Selection guide 250
CB series device circuit breakers
Base elements and jumpers 252
Thermomagnetic circuit breakers 253
Electronic circuit breakers 256
Multi-channel, electronic circuit breakers - CBM 258
Device circuit breaker boards - CBB 259
Applications 260
Device circuit breakers
Thermal circuit breakers - TCP 262
Thermomagnetic circuit breakers - TMC 264
Electronic device circuit breakers 266
247
PHOENIX CONTACT
High-quality device circuit breakers
provide optimum system protection
Thermomagnetic and electronic device
circuit breakers are a key factor in
maximizing system availability. In the event
of overload and short-circuit currents, they
selectively shut down the faulty circuit.
Your web code: #0156
Protective devices

248
PHOENIX CONTACT
Protective devices
Introduction to protective devices
Branch out
The device circuit breakers provide
reliable protection even in systems with
long cable paths. Together with the SFB
technology* of the QUINT POWER power
supplies, the special SFB tripping
characteristic of the CB device circuit
breakers ensures fast shutdown in the event
of an error. This combination offers
maximum protection against overload and
short-circuit currents.
*SFB - selective fuse breaking, selective
shutdown
Individual adaptation
Systems and control cabinets can be pre-
wired with base elements and individually
fitted with corresponding protective plugs
on site. Should the demands on a load
change in the meantime, you can simply
replace the protective plug in question.
Various tripping methods, tripping
characteristics, and nominal currents are
available depending on the application.
Modular extension
It couldn't be easier. A system can be
extended with additional device circuit
breakers in no time at all. You can bridge the
power distribution, remote signaling or
even the auxiliary voltage for electronic
circuit breakers without this resulting in
significant wiring costs. The uniform, plug-in
housing concept as well as the bridgeability
of the base elements simplify installation.
Multi-channel, electronic circuit
breakers - CBM
The CBM multi-channel electronic device
circuit breakers provide fast, space-saving,
and reliable protection against overload and
short-circuit currents. Push-in connection
technology enables quick and tool-free
installation. Errors in the system are
detected quickly, thanks to the 80% advance
warning. Electronic locking of the current
values prevents inadvertent changes being
made to the settings.
Device circuit breaker boards
The multi-channel device circuit breaker
boards are used in machine building or in
control and process technology, for
example. Due to the central potential
distribution, installation time is reduced to a
minimum, while simultaneously saving space
compared to conventional installations. The
board can be integrated into safety concepts
via a relay contact.

For further information and full technical data, visit phoenixcontact.net/products
249
PHOENIX CONTACT
Protective devices
Introduction to protective devices
Latching
The new locking mechanism ensures a
secure hold in harsh environments and
where there are vibrations in the
installation environment. It holds the plug
securely in the base element. The plugs can
be removed from the base element quickly
and easily by simply applying light pressure
to the locking mechanism.
Bridge
With the unique bridge system from our
standard range, the device circuit breakers
can be combined easily as per your
requirements. Potentials of the same type
can be connected quickly and safely.
Variable connection technologies
Base elements are available with
conventional screw connection technology
or quick-to-wire push-in connection
technology.
SFB tripping characteristic
Thermomagnetic device circuit breakers
with the SFB tripping characteristic*
provide maximum overcurrent protection –
even in large systems with long cable paths.
Multi-channel, electronic circuit
breakers - CBM
Four or eight circuits are protected
against overload and short-circuit currents
over a width of just 41mm. Thanks to
adjustable nominal currents of 0.5 to 10A
in a single device, storage costs are reduced
while simultaneously increasing flexibility
for system planning.
Device circuit breaker boards - CBB
The multi-channel device circuit breaker
boards are available with 4, 8 or
12channels. The boards are very versatile
as they can be fitted individually with
thermomagnetic or electronic circuit
breakers.

Technology Tripping
characteristics
Status indicator
Thermal TCP Thermal Switch position
TCP/DC Thermal Switch position
Thermomagnetic
TMC
F1 Switch position
M1 Switch position
UT6/TMC M1 Switch position
TMCP
F1 Switch position
M1 Switch position
CB TM1
F1 Switch position
M1 Switch position
SFB Switch position
Electronic
EC-E Electronic LED,
Switch position
ECP Electronic LED,
Switch position
ECP-E Electronic LED,
Switch position
CB-E1 Electronic LED,
Switch position
Multi-channel,
electronic CBM Electronic LED
Circuit breaker board CBB F1, M1, SFB, and
electronic
Switch position or
LED
The selection matrix shows the different
functions of different circuit breaker types.
Note:
A corresponding base element is
essential for the operation of the plug-in
device circuit breakers. For more
information, see the accessories section
under device circuit breakers.
250
PHOENIX CONTACT
Protective devices
Selection guide

For further information and full technical data, visit phoenixcontact.net/products
Number of channels Remote
signaling
Reset input Plug-in Connection Order No. Page
1234812
Screw,
spring-cage E.g., 0712123 263
Screw,
spring-cage E.g., 0700005 262
Screw E.g., 0914015 265
Screw E.g., 0914374 265
Screw E.g., 0916603 264
Spring-cage E.g., 0915506 265
Spring-cage E.g., 0915687 265
Screw, push-in,
solder connection E.g., 2800857 254
Screw, push-in,
solder connection E.g., 2800846 254
Screw, push-in,
solder connection E.g., 2800835 253
Screw E.g., 0903041 268
Spring-cage E.g., 0911034 266
Spring-cage E.g., 0900113 266
Screw, push-in,
solder connection E.g., 2800901 256
Push-in E.g., 2905743 258
Push-in E.g., 2905238 259
251
PHOENIX CONTACT
Protective devices
Selection guide

Technical data Technical data
Electrical data ... PT-BE ... UT-BE
Rated surge voltage 4 kV 2.5 kV -
General data
Dimensions W / H / D 12.3 mm / 90 mm / 46.7 mm 12.3 mm / 90.8 mm / 70 mm 12.3 mm / 34.8 mm / 36.4 mm
Connection method Push-in connection Screw connection Solder connection
Ambient temperature (operation) -30°C ... 60°C -30°C ... 60°C -30°C ... 60°C
Degree of protection IP30 (actuation area) IP30 (actuation area) IP30 (plug-in area with plugged-in device) /
IP00 (connection area)
Inflammability class according to UL 94 V0 V0 V-0
Standards/regulations IEC 60947-7-1 UL 1059 DINEN 50155 / IEC 60068-2
Ordering data Ordering data
Description Type Order No. Pcs. /
Pkt. Type Order No. Pcs. /
Pkt.
Base element
For the PCB CB 1/6-2/4 PT-BE 2800929 10 CB S-BE 2905067 30
CB 1/10-1/10 UT-BE 2801305 10
Accessories Accessories
Jumper, red Number of positions
2FBS 2-6 3030336 50
3FBS 3-6 3030242 50
4FBS 4-6 3030255 50
5FBS 5-6 3030349 50
10 FBS 10-6 3030271 10
20 FBS 20-6 3030365 10
50 FBS 50-6 3032224 10
Jumper, blue Number of positions
2FBS 2-6 BU 3036932 50
3FBS 3-6 BU 3036945 50
4FBS 4-6 BU 3036958 50
5FBS 5-6 BU 3036961 50
10 FBS 10-6 BU 3032198 10
20 FBS 20-6 BU 3032208 10
50 FBS 50-6 BU 3032211 10
Jumper, gray Number of positions
2FBS 2-6 GY 3032237 50
3FBS 3-6 GY 3032240 50
4FBS 4-6 GY 3032279 50
5FBS 5-6 GY 3032266 50
10 FBS 10-6 GY 3032253 10
252
PHOENIX CONTACT
Protective devices
CB series device circuit breakers
1-pos, with screw or push-in connection
technology
For the PCB
Base elements
– For accommodating CB TM.../CB E....
device circuit breakers
– DIN rail module
– With bridge shafts
– Systematic structure with 1-channel base
elements possible
Notes:
Can be loaded with up to 41A if two jumpers are connected for the
supply.
Base elements and jumpers

10000
1000
100
10
1
0,1
0,01
0,001 12 20
440
610 100 220
440
610 100
8...16 A0,5...6A
12,3
90
40,7
45
77,3
For further information and full technical data, visit phoenixcontact.net/products
Total width 12.3 mm
Technical data
Rated data IEC UL / CUL CSA
Rated voltage 50 V DC 50 V DC -
Nominal current I
N
Depends on the product version selected
Disconnection
Shutdown time See tripping characteristic
Fuse type SFB
Rated short-circuit switching capacity I
cn
- / 600 A (50 V DC)
Cycles, max. 6000 (at 1 x I
n
)
General data
Ambient temperature (operation) -30°C ... 60°C
Degree of protection IP30 (actuation area)
Standards/regulations EN 60934 / UL 1077 / UL 508 / CSA 22.2
Ordering data
Description Nominal
current Type Order No. Pcs. /
Pkt.
Thermomagnetic circuit breaker, plug-in, 1-pos., signal contact
1 PDT
0.5 A CB TM1 0.5A SFB P 2800835 1
1 A CB TM1 1A SFB P 2800836 1
2 A CB TM1 2A SFB P 2800837 1
3 A CB TM1 3A SFB P 2800838 1
4 A CB TM1 4A SFB P 2800839 1
5 A CB TM1 5A SFB P 2800840 1
6 A CB TM1 6A SFB P 2800841 1
8 A CB TM1 8A SFB P 2800842 1
10 A CB TM1 10A SFB P 2800843 1
12 A CB TM1 12A SFB P 2800844 1
16 A CB TM1 16A SFB P 2800845 1
Thermomagnetic circuit breaker, plug-in, 2-pos., signal contact
1 PDT
0.5 A CB TM2 0.5A SFB P 2800868 1
1 A CB TM2 1A SFB P 2800869 1
2 A CB TM2 2A SFB P 2800870 1
3 A CB TM2 3A SFB P 2800871 1
4 A CB TM2 4A SFB P 2800872 1
5 A CB TM2 5A SFB P 2800873 1
6 A CB TM2 6A SFB P 2800874 1
8 A CB TM2 8A SFB P 2800875 1
10 A CB TM2 10A SFB P 2800876 1
12 A CB TM2 12A SFB P 2800877 1
16 A CB TM2 16A SFB P 2800878 1
Accessories
Bridge plug, 0 volt distribution
CB PT BRIDGE 2801014 1
Base element
With push-in connection technology CB 1/6-2/4 PT-BE 2800929 10
With screw connection technology CB 1/10-1/10 UT-BE 2801305 10
For the PCB CB S-BE 2905067 30
Switching time [s]
Multiples of I
N
253
PHOENIX CONTACT
– Device circuit breakers for protecting
against voltage dips caused by overloads
and short circuits
– SFB characteristic curve enables longer
cables and release times < 10ms
– Maximum ease of maintenance, thanks to
the two-piece design
– Snap-in function for secure hold and easy
removal
– Plug coding possible
– Slim design
Plug-in thermomagnetic circuit
breakers
Tripping characteristic in the DC range
Protective devices
CB series device circuit breakers
Plug-in, SFB characteristic curve
The figure shows the complete module consisting of a base
element and plug

10000
1000
100
10
1
0,1
0,01
0,001 12 20
440
610 100 220
440
610 100
8...16 A0,5...6A
12,3
90
40,7
45
77,3
Total width 12.3 mm
Technical data
Rated data IEC UL / CUL CSA
Rated voltage 240 V AC 277 V AC - 240 V AC 277 V AC - - - - - - -
Rated voltage 50VDC 50VDC - 80VDC 80VDC - 50VDC 50VDC - 80VDC 80VDC -
Nominal current I
N
Depends on the product version selected Depends on the product version selected Depends on the product version selected Depends on
Disconnection
Shutdown time See tripping characteristic See tripping characteristic See tripping characteristic See tripping characteristic
Fuse type normal blow
Rated short-circuit switching capacity I
cn
300 A (240 V AC) / 600 A (50 V DC) 400 A (240 V AC) / 600 A (80 V DC) - / 600 A (50 V DC) - / 600 A (80 V DC)
Cycles, max. 6000 (at 1 x I
n
)
General data
Ambient temperature (operation) -30°C ... 60°C
Degree of protection IP30 (actuation area)
Standards/regulations EN 60934 / UL 1077 / UL 508 / CSA 22.2 EN 60934 / UL 1077 / UL 508 / CSA 22.2 EN 60934 / UL 1077 / UL 508 /
Ordering data
Description Nominal
current Type Order No. Pcs. /
Pkt.
Thermomagnetic circuit breaker, plug-in, signal contact 1 PDT
0.5 A CB TM1 0.5A M1 P 2800846 1
1 A CB TM1 1A M1 P 2800847 1
2 A CB TM1 2A M1 P 2800848 1
3 A CB TM1 3A M1 P 2800849 1
4 A CB TM1 4A M1 P 2800850 1
5 A CB TM1 5A M1 P 2800851 1
6 A CB TM1 6A M1 P 2800852 1
8 A CB TM1 8A M1 P 2800853 1
10 A CB TM1 10A M1 P 2800854 1
12 A CB TM1 12A M1 P 2800855 1
16 A CB TM1 16A M1 P 2800856 1
Accessories
Bridge plug, 0 volt distribution
CB PT BRIDGE 2801014 1
Base element
With push-in connection technology CB 1/6-2/4 PT-BE 2800929 10
With screw connection technology CB 1/10-1/10 UT-BE 2801305 10
For the PCB CB S-BE 2905067 30
254
PHOENIX CONTACT
Multiples of I
N
Switching time [s]
Tripping characteristic
Gray: DC range, blue: AC range
Plug-in thermomagnetic circuit
breakers
– Device circuit breakers for protecting
against voltage dips caused by overloads
and short circuits
– Medium-blow and fast-blow tripping
characteristics
– 1 and 2-pos. circuit breakers
– Maximum ease of maintenance, thanks to
the two-piece design
– Snap-in function for secure hold and easy
removal
– Plug coding possible
– Slim design
Notes:
When used in conjunction with order numbers 2800929 and
2801305, the items also satisfy UL 508.
Protective devices
CB series device circuit breakers
Plug-in, M1 characteristic curve, 1-pos. Plug-in, M1 characterist
The figure shows the complete module consisting of a base
element and plug

10000
1000
100
10
1
0,1
0,01
0,001 12 20
440
610 100 220
440
610 100
8...16 A0,5...6A
10000
1000
100
10
1
0,1
0,01
0,001 12 20
440
610 100 220
440
610 100
8...16 A
0,5...6A
10000
1000
100
10
1
0,1
0,01
0,001 12 20
440
610 100 220
440
610 100
8...16 A
0,5...6A
For further information and full technical data, visit phoenixcontact.net/products
Total width 24.6 mm Total width 12.3 mm Total width 24.6 mm
Technical data Technical data Technical data
IEC UL / CUL CSA IEC UL / CUL CSA IEC UL / CUL CSA
Rated voltage 240 V AC 277 V AC - 240 V AC 277 V AC - - - - - - -
Rated voltage 50VDC 50VDC - 80VDC 80VDC - 50VDC 50VDC - 80VDC 80VDC -
Depends on the product version selected Depends on the product version selected Depends on the product version selected Depends on the product version selected
Shutdown time See tripping characteristic See tripping characteristic See tripping characteristic See tripping characteristic
normal blow fast blow fast blow
300 A (240 V AC) / 600 A (50 V DC) 400 A (240 V AC) / 600 A (80 V DC) - / 600 A (50 V DC) - / 600 A (80 V DC)
6000 (240 V AC/1 x I
n
) 6000 (at 1 x I
n
) 6000 (240 V AC/1 x I
n
)
-30°C ... 60°C -30°C ... 60°C -30°C ... 60°C
IP30 (actuation area) IP30 (actuation area) IP30 (actuation area)
Standards/regulations EN 60934 / UL 1077 / UL 508 / CSA 22.2 EN 60934 / UL 1077 / UL 508 / CSA 22.2 EN 60934 / UL 1077 / UL 508 / CSA 22.2 EN 60934 / UL 1077 / UL 508 / CSA 22.2
Ordering data Ordering data Ordering data
Type Order No. Pcs. /
Pkt. Type Order No. Pcs. /
Pkt. Type Order No. Pcs. /
Pkt.
CB TM2 0.5A M1 P 2800879 1CB TM1 0.5A F1 P 2800857 1CB TM2 0.5A F1 P 2800890 1
CB TM2 1A M1 P 2800880 1CB TM1 1A F1 P 2800858 1CB TM2 1A F1 P 2800891 1
CB TM2 2A M1 P 2800881 1CB TM1 2A F1 P 2800859 1CB TM2 2A F1 P 2800892 1
CB TM2 3A M1 P 2800882 1CB TM1 3A F1 P 2800860 1CB TM2 3A F1 P 2800893 1
CB TM2 4A M1 P 2800883 1CB TM1 4A F1 P 2800861 1CB TM2 4A F1 P 2800894 1
CB TM2 5A M1 P 2800884 1CB TM1 5A F1 P 2800862 1CB TM2 5A F1 P 2800895 1
CB TM2 6A M1 P 2800885 1CB TM1 6A F1 P 2800863 1CB TM2 6A F1 P 2800896 1
CB TM2 8A M1 P 2800886 1CB TM1 8A F1 P 2800864 1CB TM2 8A F1 P 2800897 1
CB TM2 10A M1 P 2800887 1CB TM1 10A F1 P 2800865 1CB TM2 10A F1 P 2800898 1
CB TM2 12A M1 P 2800888 1CB TM1 12A F1 P 2800866 1CB TM2 12A F1 P 2800899 1
CB TM2 16A M1 P 2800889 1CB TM1 16A F1 P 2800867 1CB TM2 16A F1 P 2800900 1
Accessories Accessories Accessories
CB PT BRIDGE 2801014 1CB PT BRIDGE 2801014 1CB PT BRIDGE 2801014 1
CB 1/6-2/4 PT-BE 2800929 10 CB 1/6-2/4 PT-BE 2800929 10 CB 1/6-2/4 PT-BE 2800929 10
CB 1/10-1/10 UT-BE 2801305 10 CB 1/10-1/10 UT-BE 2801305 10 CB 1/10-1/10 UT-BE 2801305 10
CB S-BE 2905067 30 CB S-BE 2905067 30 CB S-BE 2905067 30
255
PHOENIX CONTACT
Multiples of I
N
Switching time [s]
Tripping characteristic
Gray: DC range, blue: AC range
Switching time [s]
Multiples of I
N
Tripping characteristic in the DC range
Switching time [s]
Multiples of I
N
Tripping characteristic in the DC range
Protective devices
CB series device circuit breakers
Plug-in, M1 characteristic curve, 1-pos. Plug-in, M1 characteristic curve, 2-pos. Plug-in, F1 characteristic curve, 1-pos. Plug-in, F1 characteristic curve, 2-pos.

0
10
1
0,1
0,01
100
1000
123
12,3
90
40,7
45
77,3
Total width 12.3 mm
Technical data
Rated data
Operating voltage 24 V DC
Nominal current I
N
Depends on the product version selected Depends on the product version selected Depends on the product version selected Depends on
Disconnection
Shutdown time See tripping characteristic See tripping characteristic See tripping characteristic See tripping characteristic
Active current limitation typ. 1.25 x I
N
General data
Ambient temperature (operation) -25°C ... 50°C (non-condensing) -25°C ... 50°C (non-condensing) -25°C ... 50°C (non-condensing) -25
Degree of protection IP30 (actuation area)
Standards/regulations UL 2367 / UL 508 / EN 61000-6-3 / EN 61000-6-2 UL 2367 / UL 508 / EN 61000-6-3 / EN 61000-6-2 UL 2367 / UL 5
Ordering data
Description Nominal
current Type Order No. Pcs. /
Pkt.
Electronic circuit breaker, 1-pos.
1 A CB E1 24DC/1A NO P 2800901 1
2 A CB E1 24DC/2A NO P 2800902 1
3 A CB E1 24DC/3A NO P 2800903 1
4 A CB E1 24DC/4A NO P 2800904 1
6 A CB E1 24DC/6A NO P 2800905 1
8 A
10 A
Electronic circuit breaker, 1-pos., status output inverted
1 A
2 A
3 A
4 A
6 A
8 A
10 A
Accessories
Bridge plug, 0 volt distribution
CB PT BRIDGE 2801014 1
Base element
With push-in connection technology CB 1/6-2/4 PT-BE 2800929 10
With screw connection technology CB 1/10-1/10 UT-BE 2801305 10
For the PCB CB S-BE 2905067 30
Jumper, for cross connections in the bridge shaft For FBS ..., see page 252
256
PHOENIX CONTACT
Plug-in electronic circuit breakers
Switching time [s]
Multiples of IN
– Device circuit breakers for protecting
against voltage dips caused by overloads
and short circuits
– Integrated active current limitation
– Remote control possible
– Maximum ease of maintenance, thanks to
the two-piece design
– Snap-in function for secure hold and easy
removal
– Plug coding possible
– Slim design
Notes:
When used in conjunction with order numbers 2800929 and
2801305, the items also satisfy UL 508.
Tripping characteristic
Protective devices
CB series device circuit breakers
1 N/O contact 1 N/C contact 1 x Status OUT + 1 x Reset IN 1 x Status OUT + 1 x Control IN
The figure shows the complete module consisting of a base
element and plug

For further information and full technical data, visit phoenixcontact.net/products
Total width 12.3 mm Total width 12.3 mm Total width 12.3 mm
Technical data Technical data Technical data
24VDC 24VDC 24VDC
Depends on the product version selected Depends on the product version selected Depends on the product version selected Depends on the product version selected
Shutdown time See tripping characteristic See tripping characteristic See tripping characteristic See tripping characteristic
typ. 1.25 x I
N
typ. 1.25 x I
N
typ. 1.25 x I
N
Ambient temperature (operation) -25°C ... 50°C (non-condensing) -25°C ... 50°C (non-condensing) -25°C ... 50°C (non-condensing) -25°C ... 50°C (non-condensing)
IP30 (actuation area) IP30 (actuation area) IP30 (actuation area)
Standards/regulations UL 2367 / UL 508 / EN 61000-6-3 / EN 61000-6-2 UL 2367 / UL 508 / EN 61000-6-3 / EN 61000-6-2 UL 2367 / UL 508 / EN 61000-6-3 / EN 61000-6-2 UL 2367 / UL 508 / EN 61000-6-3 / EN 61000-6-2
Ordering data Ordering data Ordering data
Type Order No. Pcs. /
Pkt. Type Order No. Pcs. /
Pkt. Type Order No. Pcs. /
Pkt.
CB E1 24DC/1A NC P 2800915 1CB E1 24DC/1A S-R P 2800908 1CB E1 24DC/1A S-C P 2800922 1
CB E1 24DC/2A NC P 2800916 1CB E1 24DC/2A S-R P 2800909 1CB E1 24DC/2A S-C P 2800923 1
CB E1 24DC/3A NC P 2800917 1CB E1 24DC/3A S-R P 2800910 1CB E1 24DC/3A S-C P 2800924 1
CB E1 24DC/4A NC P 2800918 1CB E1 24DC/4A S-R P 2800911 1CB E1 24DC/4A S-C P 2800925 1
CB E1 24DC/6A NC P 2800919 1CB E1 24DC/6A S-R P 2800912 1CB E1 24DC/6A S-C P 2800926 1
CB E1 24DC/8A S-R P 2800913 1CB E1 24DC/8A S-C P 2800927 1
CB E1 24DC/10A S-R P 2800914 1CB E1 24DC/10A S-C P 2800928 1
CB E1 24DC/1A SI-R P 2905799 1CB E1 24DC/1A SI-C P 2905806 1
CB E1 24DC/2A SI-R P 2905800 1CB E1 24DC/2A SI-C P 2905807 1
CB E1 24DC/3A SI-R P 2905801 1CB E1 24DC/3A SI-C P 2905808 1
CB E1 24DC/4A SI-R P 2905802 1CB E1 24DC/4A SI-C P 2905809 1
CB E1 24DC/6A SI-R P 2905803 1CB E1 24DC/6A SI-C P 2905810 1
CB E1 24DC/8A SI-R P 2905804 1CB E1 24DC/8A SI-C P 2905811 1
CB E1 24DC/10A SI-R P 2905805 1CB E1 24DC/10A SI-C P 2905812 1
Accessories Accessories Accessories
CB PT BRIDGE 2801014 1CB PT BRIDGE 2801014 1CB PT BRIDGE 2801014 1
CB 1/6-2/4 PT-BE 2800929 10 CB 1/6-2/4 PT-BE 2800929 10 CB 1/6-2/4 PT-BE 2800929 10
CB 1/10-1/10 UT-BE 2801305 10 CB 1/10-1/10 UT-BE 2801305 10 CB 1/10-1/10 UT-BE 2801305 10
CB S-BE 2905067 30 CB S-BE 2905067 30 CB S-BE 2905067 30
For FBS ..., see page 252 For FBS ..., see page 252 For FBS ..., see page 252
257
PHOENIX CONTACT
Protective devices
CB series device circuit breakers
1 N/O contact 1 N/C contact 1 x Status OUT + 1 x Reset IN 1 x Status OUT + 1 x Control IN

t
xI
0,5
1000
100
10
1
0,1
0,01
2
1,31,5
0,5 ... 1 A
s
1,1
t
xI
0,5
1000
100
10
1
0,1
0,01
2
1,31,5
2 ... 10 A
s
1,1
Technical data Technical data
Rated data
Rated voltage 24 V DC 24 V DC
Rated current I
N
max. 40 A DC max. 80 A DC (for double supply IN+ with at least 2 x 6 mm²)
Rated current I
N
0.5/1/2/4/6/10A DC(adjustable per output channel) 0.5/1/2/4/6/10A DC(adjustable per output channel)
Internal output fuse 15 A DC (per output channel) 15 A DC (per output channel)
Active current limitation Typ. 2.0 x I
N
(0.5 - 1A) / Typ. 1.5 x I
N
(2 - 10 A) Typ. 2.0 x I
N
(0.5 - 1A) / Typ. 1.5 x I
N
(2 - 10 A)
Load circuit
Shutdown time 0.02 s (> 1.3 x I
N
) / 30 s (1,1 ... 1.3 x I
N
) 0.02 s (> 1.3 x I
N
) / 30 s (1.1 ... 1.3 x I
N
)
Reset input
Input voltage range 7 V DC ... 30 V DC (falling edge) 7 V DC ... 30 V DC (falling edge)
General data
Dimensions W / H / D 41 mm / 130 mm / 121 mm 41 mm / 130 mm / 121 mm
Ambient temperature (operation) -25°C ... 70°C (startup at -40C type-tested) -25°C ... 70°C (startup at -40C type-tested)
Degree of protection IP20 IP20
Standards/regulations EN 61000-6-2 / EN 61000-6-3 / EN60068-2-6 / EN 60068-2-11 EN 61000-6-2 / EN 61000-6-3 / EN60068-2-6 / EN 60068-2-11
Ordering data Ordering data
Description Type Order No. Pcs. /
Pkt. Type Order No. Pcs. /
Pkt.
Multi-channel electronic device circuit breaker
CBM E4 24DC/0.5-10A NO-R 2905743 1CBM E8 24DC/0.5-10A NO-R 2905744 1
258
PHOENIX CONTACT
Tripping characteristic in the DC range Tripping characteristic in the DC range
Protective devices
CB series device circuit breakers
DIN-rail-mountable,
4-channel
DIN-rail-mountable,
8-channel
– For protection against voltage dips caused
by overload and short circuit
– Adjustable from 0.5 - 10A
– Integrated dynamic current limitation
– Supply up to 80A possible
– Slim design
new
new
Multi-channel electronic device
circuit breakers

For further information and full technical data, visit phoenixcontact.net/products
Technical data
Rated data CBB 04 CBB 08 CBB 12
Rated voltage -
Main circuit 24VDC 24VDC 24VDC
Remote indication circuit 24 V DC 24 V DC 24 V DC
Rated current I
N
Complete main circuit 48 A DC 60 A DC 60 A DC
Main circuit per channel 12 A DC 12 A DC 12 A DC
Remote indication circuit 0.5 A DC 0.5 A DC 0.5 A DC
Rated insulation voltage U
i
-
Rated surge voltage 0.5 kV 0.5 kV 0.5 kV
Max. capacitive load -
Rated surge voltage 0.5 kV 0.5 kV 0.5 kV
General data
Dimensions W / H / D 108.5 mm /
127.8 mm /
70.8 mm
170 mm /
127.8 mm /
70.8 mm
232 mm /
127.8 mm /
70.8 mm
Ambient temperature (operation) -30°C ... 60°C -30°C ... 60°C
(at 48 A, see
derating)
-30°C ... 60°C
(at 48 A, see
derating)
Degree of protection IP20 (terminal blocks and fuse holders)
IP00 (PCB)
Test standards DIN EN 50178 / DIN EN 61000-6-2:2005 /
DIN EN 61000-6-3:2007+A1:2011 /
Ordering data
Description Type Order No. Pcs. /
Pkt.
Device circuit breaker board, for accommodating device circuit
breakers
With 4 channels CBB 04 2X2RC-PT 2905238 1
With 8 channels CBB 08 2X4RC-PT 2905240 1
With 12 channels CBB 12 2X6RC-PT 2905241 1
259
PHOENIX CONTACT
– Reduced installation time thanks to multi-
channel device circuit breaker board
(4/8/12 channels)
– Space savings of up to 35% thanks to
compact design
– Fuse protection of up to 12A per channel
provides best possible protection for
connected loads
– Up to 4 loads can be protected
simultaneously with the additional
terminal points
– Integrated group remote signaling ensures
that you are always kept informed
– High current carrying capacity of the
board supports supply of up to 60A
– Maximum overcurrent protection over
long cable paths thanks to device circuit
breakers with SFB characteristic curve or
electronic device circuit breakers
Device circuit breaker board
Protective devices
CB series device circuit breakers
DIN-rail-mountable
Notes:
For CBB TM... boards, see phoenixcontact.net/products
The board is supplied without a plug.
For dimensional drawings, see phoenixcontact.net/products

13
14
DC OK
24-28V
+
+
-
-
-
L / +
N / -
Input 100-240VAC
Output 24V 20ADC
L
N
PE
IN+ IN-
DC OK
SIGNALS OUT+
1
2
3
4
5
6
7
8
13
14
1
2
1
2
1
2
3
4
5
6
7
8
RST
I >
80%
1
0,5
2
4
610
1
0,5
2
4
610
1
0,5
2
4
610
1
0,5
2
4
610
1
0,5
2
4
610
1
0,5
2
4
610
1
0,5
2
4
610
1
0,5
2
4
610
I>80%
+
CB device circuit breakers
CB E1... CB-TM1... TCP ...
Page 256 Page 215 Page 263
CBM device circuit breaker
CBM
Page 258
Group
indication
Reset
260
PHOENIX CONTACT
Protective devices
Applications

B2 errorB1 on
X31
S1 CB E1
CB TM1
4-
3-
2-
1-
4+
3+
2+
1+
34
33
4-
3-
2-
1-
4+
3+
2+
1+
34
33
4-
3-
2-
1-
4+
3+
2+
1+
34
33
4-
3-
2-
1-
4+
3+
2+
1+
34
33
SFB
2A
SFB
2A 6A
on
off
r
e
s
e
t
1+
2+
1-
2-
X21 DC24V/60A
6A
on
off
r
e
s
e
t
F1 F2 F3 F4
Logic
K1
K2
A1 Y1 13 23 31
A2 Y2 14 24 32
For further information and full technical data, visit phoenixcontact.net/products
Device circuit breaker board
CBB ...RC-PT
Page 259
261
PHOENIX CONTACT
Protective devices
Applications

0,10,1
11
10 10
10
2
10
2
10
3
10
3
10
4
10
4
0,412 10 20
44
0,412 10 20
-40°C-40°C
-40°C
+23°C
+23°C
+85°C
+85°C
TCP/DC32V
7,5A-30 A
TCP/DC32V
7,5A-30 A
TCP/DC32V
5A
Total width 6 mm
Technical data
Rated data IEC UL / CUL CSA
Rated voltage 32 V DC - -
Nominal current I
N
Depends on the product version selected
Disconnection
Shutdown time See tripping characteristic
Fuse type Slow-blow
Rated short-circuit switching capacity I
cn
≤ 50 A (300 shutdown operations)
General data
Dimensions W / H / D 6 mm / 20.3 mm / 24 mm
Height 17 mm
Ambient temperature (operation) -40°C ... 85°C
Degree of protection IP30 (actuation area)
Ordering data
Description Nominal
current Type Order No. Pcs. /
Pkt.
Single-position, thermal circuit breaker, for fuse holders in acc.
with ISO 8820-3
5 A TCP 5/DC32V 0700005 50
7.5 A TCP 7,5/DC32V 0700007 50
10 A TCP 10/DC32V 0700010 50
15 A TCP 15/DC32V 0700015 50
20 A TCP 20/DC32V 0700020 50
25 A TCP 25/DC32V 0700025 50
30 A TCP 30/DC32V 0700030 50
40 A TCP 40/DC32V 0700040 50
Accessories
Fuse terminal block, for flat-type fuses
ST 4-FSI/C 3036372 50
With LED for 12VDC, 1.7mA
1
)ST 4-FSI/C-LED 12 3036495 50
With LED for 24 V DC, 1.9mA
1
)ST 4-FSI/C-LED 24 3036505 50
Fuse terminal block, for mounting on NS32... or NS35...
UK 6-FSI/C 3118203 50
With LED for 12 V DC UK 6-FSI/C-LED12 3001925 50
With LED for 24 V DC, 1.9mA
1
)UK 6-FSI/C-LED24 3001938 50
Switching time [s]
Multiples of I
N
262
PHOENIX CONTACT
– Plug-in thermal miniature circuit breakers
combine the protective mechanism of an
auto flat-type fuse with the advantages of
a circuit breaker
– In the event of an error, the time-sensitive
search for a suitable replacement fuse is
eliminated thanks to the reclosure
function
– The area of application extends to the
protection of integrated circuits in all
battery and onboard systems with up to
32V DC
– Fits in all fuse holders designed for flat-
type fuse inserts according to
ISO88203 (DIN725813)
– A version with screw or spring-cage
connection is used as a basic terminal
block
You can find more fuse terminal
blocks in Catalog 3, Modular terminal
blocks.
TCP thermal circuit breaker
Tripping characteristic
Protective devices
Device circuit breakers
For fuse holder
Notes:
1
) If the fuse is faulty, the downstream circuit is not off load.
Attention: The reset button must not be obstructed. During
installation, please leave enough room to operate the button.
For additional technical data, drawings, and accessories, please
visit phoenixcontact.net/products.
You can find a wide selection of fuse terminal blocks in Catalog 3,
Modular terminal blocks

24 68
10 20 30
10,8
10
3
10
4
10
2
10
1
0,1
0,25 - 4 A
6-10A
For further information and full technical data, visit phoenixcontact.net/products
Total width 8.2 mm
Technical data
Rated data IEC UL / CUL CSA
Rated voltage 250 V AC - -
Rated voltage 65 V DC - -
Nominal current I
N
Depends on the product version selected
Disconnection
Shutdown time See tripping characteristic
Fuse type Slow-blow
Rated short-circuit switching capacity I
cn
-
General data
Dimensions W / H / D 8.2 mm / 64 mm / 88.5 mm
Ambient temperature (operation) -20°C ... 60°C
Degree of protection IP40 (actuation area)
Ordering data
Description Nominal
current Type Order No. Pcs. /
Pkt.
Thermal miniature circuit breaker, can be plugged into UK 6
FSI/C or ST 4-FSI/C fuse terminal block
0.25 A TCP 0,25A 0712123 20
0.5 A TCP 0,5A 0712152 20
1 A TCP 1A 0712194 20
2 A TCP 2A 0712217 20
3 A TCP 3A 0712233 20
4 A TCP 4A 0712259 20
6 A TCP 6A 0712275 20
8 A TCP 8A 0712291 20
10 A TCP 10A 0712314 20
Accessories
Fuse terminal block, for mounting on NS32... or NS35...
UK 6-FSI/C 3118203 50
Fuse terminal block, for flat-type fuses
ST 4-FSI/C 3036372 50
Lateral groove marking For ZB 5, see page 135
Response [s]
Multiples of I
N
263
PHOENIX CONTACT
– The reclosable thermal circuit breaker is
available in nine nominal current levels
ranging from 0.25 to 10A
– The integrated switching function enables
immediate reclosure and thus ensures the
availability of the system
– Compact design
– A version with screw or spring-cage
connection is used as a basic terminal
block
– Potential distribution possible by means
of bridges
A complete data sheet is available to
download for each product at
phoenixcontact.net/products.
TCP thermal circuit breaker
Tripping characteristic
Protective devices
Device circuit breakers
Can be plugged into a fuse terminal block
Notes:
Note:
When mounted in rows, the nominal current of the devices can be
transmitted only at 80% or must be correspondingly
overdimensioned.
For additional technical data, drawings, and accessories, please
visit phoenixcontact.net/products.

12 20
4506812
7A
<7A
10000
1000
100
10
1
0,1
0,01
0,001
12 20
450681
2
Total width 12.3 mm
Technical data
Rated data IEC UL / CUL CSA
Rated voltage 240 V AC 240 V AC -
Rated voltage 28 V DC 28 V DC -
Nominal current I
N
Depends on the product version selected
Disconnection
Shutdown time See tripping characteristic
Fuse type Normal blow (M1)
Rated short-circuit switching capacity I
cn
200 A (240 V AC) / 400 A (28 V DC)
Cycles, max. 6000 (at 1 x I
n
)
General data
Dimensions W / H / D 12.3 mm / 85.5 mm / 89.5 mm
Connection method Screw connection
Connection data solid / stranded / AWG 0.2 ... 10 mm² / 0.2 ... 10 mm² / 24 - 8
Stranded conductor cross section with ferrule 0.25 ... 6 mm²
Ambient temperature (operation) -30°C ... 60°C
Degree of protection IP40 (actuation area) /
IP20 (connection area)
Standards/regulations EN 60934 / UL 1077 / CSA 22.2
Ordering data
Description Nominal
current Type Order No. Pcs. /
Pkt.
Thermomagnetic circuit breaker, for mounting on NS35...
0.5 A UT 6-TMC M 0,5A 0916603 6
1 A UT 6-TMC M 1A 0916604 6
2 A UT 6-TMC M 2A 0916605 6
4 A UT 6-TMC M 4A 0916606 6
5 A UT 6-TMC M 5A 0916607 6
6 A UT 6-TMC M 6A 0916608 6
8 A UT 6-TMC M 8A 0916609 6
10 A UT 6-TMC M 10A 0916610 6
12 A UT 6-TMC M 12A 0916611 6
15 A UT 6-TMC M 15A 0916612 6
16 A UT 6-TMC M 16A 0916613 6
Accessories
Jumper, red Number of positions
2FBS 2-6 3030336 50
3FBS 3-6 3030242 50
4FBS 4-6 3030255 50
5FBS 5-6 3030349 50
10 FBS 10-6 3030271 10
20 FBS 20-6 3030365 10
Multiples of I
N
Switching time [s]
264
PHOENIX CONTACT
– Thermomagnetic circuit breakers feature
a compact design, large-surface marking
options, and a double plug-in bridge shaft
– With bridge shafts enabling them to be
bridged together easily
– 12.3 mm compact design
– High level of system availability thanks to
their reclosure function and clear status
display
– Eleven nominal current levels can be
selected from 0.5A to 16A
– Clear assignment of the relevant circuit
breaker thanks to the large center
marking area
A complete data sheet is available to
download for each product at
phoenixcontact.net/products.
Thermomagnetic circuit breaker
UT6TMC...
Tripping characteristic
Protective devices
Device circuit breakers
DIN-rail-mountable

For further information and full technical data, visit phoenixcontact.net/products
Total width 12.5 mm Total width 12.5 mm
Technical data Technical data
Rated data IEC UL / CUL CSA IEC UL / CUL CSA
Rated voltage 250 V AC - - 250 V AC - -
Rated voltage 65 V DC - - 65 V DC - -
Nominal current I
N
Depends on the product version selected Depends on the product version selected
Disconnection
Shutdown time See tripping characteristic See tripping characteristic
Fuse type Fast blow (F1) Fast blow (F1)
Rated short-circuit switching capacity I
cn
400 A / 2500 A (32 V DC) 400 A / 2500 A (32 V DC)
General data
Dimensions W / H / D 12.5 mm / 82.5 mm / 96 mm 38 mm / 115 mm / 121 mm
Connection method Screw connection plug-in
Connection data solid / stranded / AWG 0.2 ... 6 mm²
2
) / 0.2 ... 4 mm² / 24 - 10 - / - / -
Stranded conductor cross section with ferrule 0.25 ... 4 mm² -
Ambient temperature (operation) -30°C ... 60°C -30°C ... 60°C
Degree of protection IP30 (actuation area) /
IP20 (connection area)
IP30 (actuation area) /
IP00 (connection area)
Ordering data Ordering data
Description Nominal
current Type Order No. Pcs. /
Pkt. Type Order No. Pcs. /
Pkt.
Thermomagnetic circuit breaker, with universal foot for
mounting on NS32... or NS35...
1
)
TMC 1 F1 100 0,2A 0914015 6
Thermomagnetic circuit breaker, plug-in, single, two or three-
position
1
)
TMCP 1 F1 300 0,2A 0915506 6
Accessories Accessories
Spring lock, for mechanical locking in the case of overhead
mounting, 1-pos.
SPRING-LOCK 0713009 10
Modular socket, 2-position, for holding two circuit breakers, each
with a single position
TMCP SOCKET M 0916589 10
Socket termination elements, can be plugged in both to the left
and right, contain the connections for the reset inputs/group query
TMCP CONNECT LR 0916592 3
Signal bridge, plug-in, for bridging group signaling when there is a
free slot on the TMCPSOCKETM socket
TMCP SB 0916602 6
265
PHOENIX CONTACT
Protective devices
Device circuit breakers
DIN-rail-mountable Can be plugged onto base
– Available with fast-blow and medium-
blow characteristic curve for various
nominal current strengths
– Single or two-pos. main current path
Notes:
1
) Please observe the type key below.
2
) Main contact
For additional technical data, drawings, and accessories, please
visit phoenixcontact.net/products.
Thermomagnetic circuit protector
TMC
TMC and TMCP type keys
The type key indicates the unique
structure of the product.
Type Main current paths Characteristic curve Auxiliary contact versions Nominal current
TMC
or TMCP
1= Single-pos.
2= Two-pos.
3= Three-pos.
F1 = Therm. 1.05 - 1.4 I
N
,
magn. 2 - 4 I
N
DC (fast-blow),
Only for DC applications
M1= Therm. 1.05 - 1.4 I
N
,
magn. 6 - 12 I
N
AC,
7.8 - 15.6 I
N
DC
(medium-blow)
100 = Single-pos.: 1 N/O contact
200 = Single-pos.: 1 N/C contact
120 = Two-pos.: 1 N/O contact,
1 N/C contact
122 = Three-pos.: 1 N/O contact,
2 N/C contacts
300
4
) = 1 N/O contact and 1 N/C
contact per position
0.2 A 2.5 A
0.3 A 3 A
0.4 A 4 A
0.5 A 5 A
0.6 A 6 A
0.8 A 8 A
1 A 10 A
1.5 A 12 A
2 A 16 A
TMC with single-pos. main current path, one N/O contact, medium-blow characteristic curve, and a nominal current of 2 A.
TMC 1M1 100 2A
4
) Only version for TMCP, cannot be used for TMC.
Ordering example:

2
12
14
13
11
1
Control Unit
LINE (+)
Reset
Status
Reset
LOAD (L+)
GND (-)
On/Off
0,01
0,1
1
10
10
2
10
3
10
4
5
10 23
I
K
Total width 12.5 mm
Technical data
Rated data
Operating voltage 24 V DC
Nominal current I
N
Depends on the product version selected Depends on the product version selected Depends on the product version selected Depends on
Disconnection
Shutdown time See tripping characteristic See tripping characteristic See tripping characteristic See tripping characteristic
Shutdown Typ. 1.8 x I
N
Active current limitation active
General data
Temperature range 0°C ... 50°C (non-condensing) 0°C ... 50°C (non-condensing) 0°C ... 50°C (non-condensing) 0°C ... 50°C (non-conde
Degree of protection IP30 (actuation area)
Standards/regulations UL 2367 / UL 508 / CSA 22.2 UL 2367 / UL 508 / CSA 22.2 UL 2367 / UL 508 / CSA 22.2 -
Ordering data
Description Nominal
current Type Order No. Pcs. /
Pkt.
Electronic circuit breaker, can be plugged into TMCP base,
signaling via LED
1 A ECP-E 1A 0900113 5
2 A ECP-E 2A 0900210 5
3 A ECP-E 3A 0900317 5
4 A ECP-E 4A 0900414 5
6 A ECP-E 6A 0900618 5
8 A ECP-E 8A 0900812 5
10 A ECP-E 10A 0901002 5
12 A ECP-E-12A 0900126 5
Electronic circuit breaker, as above, but nominal current can be
set via a switch, 1A and 2A
1 A
(adjustable)
Electronic circuit breaker, as above, but nominal current can be
set via a switch, 3A and 6A
3 A
(adjustable)
Accessories
Spring lock, for mechanical locking in the case of overhead
mounting, 1-pos.
SPRING-LOCK 0713009 10
Modular socket, 2-position, for holding two circuit breakers, each
with a single position
TMCP SOCKET M 0916589 10
Socket termination elements, can be plugged in both to the left
and right, contain the connections for the reset inputs/group query
TMCP CONNECT LR 0916592 3
Signal bridge, plug-in, for bridging group signaling when there is a
free slot on the TMCPSOCKETM socket
TMCP SB 0916602 6
266
PHOENIX CONTACT
Plug-in electronic circuit breakers
– Device circuit breakers for protecting
against voltage dips caused by overloads
and short circuits
– Integrated active current limitation
– Remote control possible
– Maximum ease of maintenance, thanks to
the two-piece design
– Snap-in function for secure hold and easy
removal
– Plug coding possible
– Slim design
Notes:
For additional technical data, drawings, and accessories, please
visit phoenixcontact.net/products.
Protective devices
Device circuit breakers
Stop point
typ. 1,1xl 1,8xl
Switching time [s]
Multiples of I
N
NN
With reset input and status output With control input and group query With reset input and group query With floating signal contac

2
12
14
13
11
1
Control Unit
I<
LINE (+)
SO
Control
SC
LOAD (+)
GND (-)
On/Off
2
12
14
13
11
1
Control Unit
I<
LINE (+)
SO
Reset
SC
LOAD (+)
GND (-)
On/Off
LINE (+)
SO
On/Off
SI
SC
LOAD (L+)
GND (-)
Control Unit
2
12
14
13
11
1
LINE
LOAD
For further information and full technical data, visit phoenixcontact.net/products
Total width 12.5 mm Total width 12.5 mm Total width 12.5 mm
Technical data Technical data Technical data
24VDC 24VDC 24VDC
Depends on the product version selected Depends on the product version selected Depends on the product version selected Depends on the product version selected
Shutdown time See tripping characteristic See tripping characteristic See tripping characteristic See tripping characteristic
Typ. 1.8 x I
N
Typ. 1.8 x I
N
Typ. 1.8 x I
N
active active active
Temperature range 0°C ... 50°C (non-condensing) 0°C ... 50°C (non-condensing) 0°C ... 50°C (non-condensing) 0°C ... 50°C (non-condensing)
IP30 (actuation area) IP30 (actuation area) IP30 (actuation area)
Standards/regulations UL 2367 / UL 508 / CSA 22.2 UL 2367 / UL 508 / CSA 22.2 UL 2367 / UL 508 / CSA 22.2 -
Ordering data Ordering data Ordering data
Type Order No. Pcs. /
Pkt. Type Order No. Pcs. /
Pkt. Type Order No. Pcs. /
Pkt.
ECP-E2-1A 0900139 5ECP-E3 1A 0912041 5
ECP-E2-2A 0900236 5ECP-E3 2A 0912042 5ECP 2 0911034 5
ECP-E2-3A 0900333 5ECP-E3 3A 0912043 5ECP 3 0911047 5
ECP-E2-4A 0900430 5ECP-E3 4A 0912044 5ECP 4 0912034 5
ECP-E2-6A 0900634 5ECP-E3 6A 0912046 5ECP 6 0912033 5
ECP-E2-8A 0900838 5ECP-E3 8A 0912048 5ECP 8 0912019 5
ECP-E2-10A 0900100 5ECP-E3 10A 0912050 5ECP 10 0912020 5
ECP-E2-12A 0900207 5ECP-E3 12A 0912052 5
ECP 1-2 0912018 5
ECP 3-6 0916536 5
Accessories Accessories Accessories
SPRING-LOCK 0713009 10 SPRING-LOCK 0713009 10 SPRING-LOCK 0713009 10
TMCP SOCKET M 0916589 10 TMCP SOCKET M 0916589 10 TMCP SOCKET M 0916589 10
TMCP CONNECT LR 0916592 3TMCP CONNECT LR 0916592 3TMCP CONNECT LR 0916592 3
TMCP SB 0916602 6TMCP SB 0916602 6TMCP SB 0916602 6
267
PHOENIX CONTACT
Protective devices
Device circuit breakers
With reset input and status output With control input and group query With reset input and group query With floating signal contact and electrical
isolation

0,01
0,1
1
10
10
2
10
3
10
4
5
10 23
I
K
EC-E 1 ...
13
0V
Line+ LOAD+
2
13
14
Ex:
Total width 12.5 mm
Technical data
Rated data IEC UL / CUL CSA
Operating voltage 24 V DC
Nominal current I
N
Depends on the product version selected
Disconnection
Shutdown time See tripping characteristic
Fuse type Electronic
General data
Dimensions W / H / D 12.5 mm / 83 mm / 80 mm
Connection method Screw connection
Connection data solid / stranded / AWG 0.5 ... 16 mm² / 0.5 ... 16 mm² / 20 - 6
Stranded conductor cross section with ferrule 0.5 ... 10 mm²
Ambient temperature (operation) 0°C ... 50°C (non-condensing)
Degree of protection IP20 (housing)
Inflammability class according to UL 94 V0
Ordering data
Description Nominal
current Type Order No. Pcs. /
Pkt.
Electronic circuit breaker, signal contact: 1 N/O contact
0.5 A EC-E1 0,5A 0903022 6
1 A EC-E1 1A 0903023 6
2 A EC-E1 2A 0903024 6
3 A EC-E1 3A 0903025 6
4 A EC-E1 4A 0903026 6
6 A EC-E1 6A 0903028 6
8 A EC-E1 8A 0903029 6
10 A EC-E1 10A 0903030 6
12 A EC-E1 12A 0903031 6
Electronic circuit breaker, signal contact: 1 N/C contact
0.5 A EC-E4 0,5A 0903040 6
1 A EC-E4 1A 0903032 6
2 A EC-E4 2A 0903033 6
3 A EC-E4 3A 0903034 6
4 A EC-E4 4A 0903035 6
6 A EC-E4 6A 0903036 6
8 A EC-E4 8A 0903037 6
10 A EC-E4 10A 0903038 6
12 A EC-E4 12A 0903039 6
Accessories
Continuous bridge, 500 mm long, isolated, can be cut to length,
for potential distribution
FBST 500-PLC BU 2966692 20
Nominal current: 32 A FBST 500-PLC RD 2966786 20
FBST 500 TMC-N GY 0901028 10
Screwdriver SZS 0,6X3,5 1205053 10
268
PHOENIX CONTACT
Stop point
typ. 1,1xl 1,8xl
Switching time [s]
Multiples of I
N
NN
– Selective protection of all 24VDC load
circuits at switched-mode power supply
units
– A combination of active electronic
current limitation in the event of short
circuit and overload shutdown ensures
that the circuit breaker can respond to
overloads faster than the switched-mode
power supply unit
– The residual current is always limited to
1.3 - 1.8 times the nominal current
A complete data sheet is available to
download for each product at
phoenixcontact.net/products.
Notes:
For additional technical data, drawings, and accessories, please
visit phoenixcontact.net/products.
EC-E1 and EC-E4 electronic circuit
breakers
Protective devices
Device circuit breakers
With signal contact as N/C contact or N/O
contact

0,01
0,1
1
10
10
2
10
3
10
4
5
10 23
I
K
13
0V
Line+ LOAD+
2
EC-E ...
Reset 22
Status 23
For further information and full technical data, visit phoenixcontact.net/products
Total width 12.5 mm
Technical data
Rated data IEC UL / CUL CSA
Operating voltage 24 V DC
Nominal current I
N
Depends on the product version selected
Disconnection
Shutdown time See tripping characteristic
Fuse type Electronic
General data
Dimensions W / H / D 12.5 mm / 83 mm / 80 mm
Connection method Screw connection
Connection data solid / stranded / AWG 0.5 ... 16 mm² / 0.5 ... 16 mm² / 26 - 6
Stranded conductor cross section with ferrule 0.5 ... 10 mm²
Ambient temperature (operation) 0°C ... 50°C (non-condensing)
Degree of protection IP20 (housing)
Inflammability class according to UL 94 V0
Ordering data
Description Nominal
current Type Order No. Pcs. /
Pkt.
Electronic circuit breaker, with reset input
0.5 A EC-E 0,5A DC24V 0903041 6
1 A EC-E 1A DC24V 0903042 6
2 A EC-E 2A DC24V 0903043 6
3 A EC-E 3A DC24V 0903044 6
4 A EC-E 4A DC24V 0903045 6
6 A EC-E 6A DC24V 0903046 6
8 A EC-E 8A DC24V 0903047 6
10 A EC-E 10A DC24V 0903048 6
12 A EC-E 12A DC24V 0903049 6
Accessories
Continuous bridge, 500 mm long, isolated, can be cut to length,
for potential distribution
FBST 500-PLC BU 2966692 20
Nominal current: 32 A FBST 500-PLC RD 2966786 20
FBST 500 TMC-N GY 0901028 10
269
PHOENIX CONTACT
Stop point
typ. 1,1xl 1,8xl
Switching time [s]
Multiples of I
N
NN
– Selective protection of all 24VDC load
circuits at switched-mode power supply
units
– A combination of active electronic
current limitation in the event of short
circuit and overload shutdown ensures
that the circuit breaker can respond to
overloads faster than the switched-mode
power supply unit
– The residual current is always limited to
1.3 - 1.8 times the nominal current
A complete data sheet is available to
download for each product at
phoenixcontact.net/products.
Notes:
For additional technical data, drawings, and accessories, please
visit phoenixcontact.net/products.
EC-E electronic circuit breakers
Protective devices
Device circuit breakers
With reset input and status output

IN
OUT
IN OUT
1
2
3
4
1
2
3
4
270
PHOENIX CONTACT
Installation notes for
surge protective devices
Cable routing:
Protected and unprotected cables
must not be laid directly parallel to one
another. They must be physically separated
or shielded from one another so that
surge voltages cannot be coupled from
unprotected cables to protected ones. If
crossed, cables that can influence one
another must be crossed at right angles.
Quenching follow currents:
Gas-filled surge arresters only have
limited self-quenching capability and are
therefore almost always suitable for
protecting message transmission systems.
The arresters easily meet the
requirements of the usually high-
impedance remote indication circuits.
Distinct quenching behavior is observed
under the following conditions in the case
of systems with higher operating voltage
or lower impedance:
AC application: if the possible
short-circuit current of the source
exceeds the alternating current carrying
capacity, a fuse is required to prevent
overheating caused by the follow current.
DC application: for voltages
> 12 V DC, the possible short-circuit
current of the source must not exceed
100 mA. Otherwise a fuse that enables
shutdown within 5 seconds should be
selected. Self-quenching capability is
ensured for voltages 12 V. Please note,
however, that the specific technical data
for the product must always be observed.
Backup fuse: the system must be
protected against impermissibly high
short-circuit currents due to arrester
overload. The maximum permissible or
required backup fuse for the affected
arrester is documented in the technical
data of the relevant product.
Installation direction:
Surge protective devices with a
multi-stage configuration which are
looped into the circuit are marked “IN”
and “OUT”. They must be connected
before the device to be protected so that
“IN” points towards the direction from
which the surge voltage is expected.
The device to be protected should be
connected to the terminal points marked
“OUT”. This is the only way to ensure
correct operation of the surge protective
device in the event of a surge voltage
coupling.
Connection:
The protective conductor connection
of the system to be protected should be
connected directly and via the shortest
route to the ground connection of the
surge protective device or the
corresponding connection terminal block
on the “OUT” side of the surge
protective device.
This is the only way to ensure that
impermissibly high voltages due to
potential increases caused by discharge
currents are prevented between the
ground connections of the surge
protective device and the device to be
protected. The same is true for the
connection between ground and the live
conductors of the device to be protected
(see figure: ground connection).
Equipotential bonding:
Correct operation of the surge
protective devices requires complete
equipotential bonding in accordance with
the applicable regulations.
Ground connection
Electronics
Electronics
Correct
Incorrect
Surge voltage limiting
components
The main function-specific
components for lightning arresters and
surge protective devices are spark gaps,
gas-filled surge arresters, varistors, and
diodes, as well as decoupling impedances.
All components have specific
advantages and disadvantages. In order to
achieve optimum protection, protective
circuits and multi-stage protection
concepts that combine various
components can be implemented.
Suppressor diode
The reverse voltage U
R
is the highest
voltage that the diode can safely block.
A current of 1 mA flows through the
suppressor diode at the breakdown
voltage U
B
. At this point the suppressor
diode starts limiting the surge voltage.
The maximum clamping voltage U
C
is
the highest voltage which can be present
at the suppressor diode in the event of a
peak pulse current I
pp
(10/1000) µs.
U/I characteristic curve of a suppressor diode
Explanation:
U
R
= Reverse voltage
U
B
= Breakdown voltage
U
C
= Clamping voltage
I
pp
= Peak pulse current
I
R
= Reverse current
Technical information
General installation notes/surge voltage limiting components

10
-5
10
-3
10
0
10
3
A10
5
I
U
N
U
VA B
1200
V
V /U
SZ
800
600
400
200
0102104106108V/s 1010
du/dt
dv/dt
100 V/s 100 V/ sm
1 kV/ sm
10 kV/ sm
271
PHOENIX CONTACT
Varistors
Block varistor with thermal disconnect device
U/I characteristic curve of metal oxide varistors
Explanation:
A = High-resistance operating area
B = Low-resistance operating area/
limiting area
Disc varistor
Varistors are “voltage-dependent
resistors” which, due to their voltage/
current characteristic curves enable a high
discharge capacity with a low residual
voltage.
Gas-filled surge arresters consist of an
electrode arrangement in a ceramic or
glass tube. Between the electrodes is an
inert gas, such as argon or neon. When
the igniting voltage is reached, the
component changes to a low-resistance
state as a result of the gas discharge used.
The igniting voltage is not a constant,
instead it is dependent on the rate of rise
of the surge voltage.
After igniting the discharge path, an arc
voltage between 10 and 30 V typically
occurs, which can be measured as a
voltage drop at the arrester. In this
low-resistance state, a line follow current,
whose value depends on the impedance of
the mains connected upstream, can flow
through the arrester. In order to interrupt
line follow currents that exceed the
self-quenching capability, a fuse must be
connected upstream of the surge arrester.
Series connection of varistors or resistors
is also possible.
Characteristic ignition curve of a gas-filled surge arrester
Static response behavior
Dynamic response behavior
Gas-filled surge arresters
Spark gaps
ArC spark gap
The ArC spark gap in the FLASHTRAB
lightning arrester is based on arc chopping
technology. Two spark horns positioned
opposite one another are kept at a
distance by an isolator bridge bar. In
addition, a baffle plate is fitted below the
electrodes in the direction of the opening.
In the event of a surge voltage, surface
discharge occurs along the isolator bridge
bar, which creates an arc. This is driven
along the spark horns towards the baffle
plate where it is chopped up. The resulting
physical effects quench the arc and the
associated line follow currents.
A significant increase in the follow current
quenching capacity can be achieved with
spark gap types in which quenching plates
are arranged around the spark horns.
Characteristic ignition curve of a spark gap
Encapsulated ArC spark gap
ArC spark gap with quenching plates
Technical information
General installation notes/surge voltage limiting components

Explanation of termsSurge protective devices
AC withstand voltage
The r.m.s. value of the highest
sinusoidal voltage at mains frequency
which will not lead to a disruptive
discharge under the specified test
conditions.
Aging
Modification of the original
performance data due to disturbing
pulses, operation or unfavorable ambient
conditions.
Ambient conditions
The immediate ambient conditions
for the device or the relevant air and
creepage distances.
Arc voltage U
bo
The arc voltage is the instantaneous
value of the voltage on a discharge path
(arc discharge) during an arresting
process.
Arrester
Item of equipment that mainly
consists of voltage-dependent resistors
and/or spark gaps. Both elements can be
connected in series or in parallel, or even
used individually. Arresters are used to
protect other electrical equipment and
electrical systems against impermissibly
high surge voltages.
Associated electrical equipment
An item of electrical equipment in
which not all circuits are intrinsically safe,
but which contains circuits that can
influence the safety of the intrinsically
safe circuits to which they are connected.
Asymmetrical interference
Asymmetrical means that the source
of interference and the potentially
susceptible equipment are grounded, i.e.,
they have a capacitive or galvanic
connection to the protective conductor.
As shown in the figure, the interference
moves from the source along both
conductors to the potentially susceptible
equipment and back via ground. The
terms “common-mode interference” or
“common mode” are also used.
Source of
interference
Potentially
susceptible
equipment
The wide range of different
applications also requires numerous
different surge protective devices with
application-specific properties. Important
criteria include the type of circuit, the
surge-voltage limiting properties, and the
design. The TRABTECH range from
Phoenix Contact offers numerous
versions, such as adapters, junction boxes
or DIN-rail-mountable arresters in a
modular and compact design, providing
practical system solutions for all
applications.
In line with their intended application,
surge protective devices are designed for
high electrical loads. However, excessive
or very frequent surge voltages may lead
to overload. This can result in a reduction
or even failure of the protective function,
and the affected protective device having
to be replaced. Where possible, surge
protective devices should therefore have a
plug-in design and support testing.
The TRABTECH product range from
Phoenix Contact takes these
requirements into consideration as far as
modern technology permits. The product
range includes surge protective devices in
the form of adapters, as well as devices
with a two-piece plug-in modular design.
The protective devices in the
FLASHTRAB, VALVETRAB, PLUGTRAB,
and COMTRAB product ranges are
particularly interesting with regard to their
plug-in capability and testability. They have
been developed with various protective
circuits and different nominal voltages for
applications in power supply,
measurement and control, and data
interface protection.
With components that are perfectly
designed to work together, i.e., gas-filled
surge arresters, varistors, and suppressor
diodes depending on the protective
circuit, their specific advantages are fully
utilized.
Asymmetrical voltage, common
mode voltage
Average voltage between each
conductor and a specified reference
point, usually reference ground or
ground.
Burst
Pulses which occur repeatedly within
a specific time interval.
Common mode voltage
The common mode voltage is the
voltage which occurs in the event of
interference between live conductors and
ground.
Coupling
Interaction between circuits, in which
energy is transferred capacitively,
inductively or galvanically from one
circuit to the other.
Direct or close-up strikes
These cause surge voltages with an
energy level that constitutes a
considerable part of the total energy of
the lightning discharge.
Discharge of static electricity;
electrostatic discharge; ESD
The transmission of an electrical
charge between bodies with different
electrostatic potentials when they are in
close proximity or touching.
Disconnect device
This is a device which disconnects a
SPD from the mains when it fails. It is
designed to prevent a permanent fault in
the system caused by the faulty surge
arrester and provide an optical indication
of the faulty SPD.
Disturbance variable
The disturbance variable is an
electromagnetic (or electrical or
magnetic) variable, which can have an
undesirable influence on electrical
equipment.
Electromagnetic compatibility
(EMC)
The ability of a device or system to
operate without faults in an
electromagnetic environment without
itself causing electromagnetic
interference, which would be
unacceptable for other devices in this
environment.
Electromagnetic environment
The sum of all electromagnetic
phenomena at a given location.
272
PHOENIX CONTACT
Technical information
Explanation of terms

Electromagnetic interference
A loss in the quality of the operating
behavior, such as malfunction or failure of
electrical or electronic equipment, that is
caused by an electromagnetic disturbance
variable.
Equipment to be protected
All equipment of a structural system
or a range which requires surge
protection or lightning protection.
Equipotential bonding
The removal of potential differences
between conductive parts, in which all
points assume virtually the same
potential.
A distinction is made between
functional equipotential bonding and
protective equipotential bonding.
Equipotential bonding conductors
These are electrically conductive
connections used to create equipotential
bonding.
Equipotential bonding strip
This is the strip which is designed to
connect protective conductors,
equipotential bonding conductors, and
conductors for functional earth
grounding to the ground conductor and
the ground electrodes.
Equipotential bonding system
This refers to all the interconnected
equipotential bonding conductors,
including the conductive parts such as
housing or external conductive parts
which work in the same way.
The equipotential bonding system can
also be the grounding system or part of a
grounding system.
Exposure
Exposure is an insufficient distance
between the lightning protection system
and metal installations or electrical
systems which leads to a risk of flashover
or disruptive discharge in the event of a
lightning strike.
Exposure voltage
The exposure voltage is a voltage that
occurs at the exposure point when
lightning strikes the lightning protection
system.
Follow current I
f
Current which flows through the SPD
following discharge and is supplied by the
mains. The follow current differs
considerably from the continuous
operating current.
Gas-filled surge arrester
The gas-filled surge arrester is a
discharge path which is filled with a gas
other than air, generally an inert gas.
Ground
This expression refers to the earth
and the ground.
Ground conductor
A conductor which connects the
equipment to be grounded to a ground
electrode, as long as the ground
conductor is not laid in the ground or, if
laid in the ground, is insulated.
Ground electrode
A conductor embedded in the ground
with an electrically conductive
connection to ground. Parts of supply
lines to a ground electrode, which are not
insulated in the ground, are considered to
be parts of the ground electrode.
Grounding
Grounding is the sum of all means and
measures used for grounding.
Grounding resistance
The resistance between the
grounding system and the reference
ground. The amount of grounding
resistance depends on the interaction of
the individual ground electrodes.
Impulse sparkover voltage of
1.2/50 s
Highest voltage value before the
disruptive discharge between the
electrodes of the spark gap of a SPD.
Impulse withstand voltage U
st
The peak value of the highest surge
voltage with a predefined form and
polarity, which will not lead to a
disruptive discharge under the specified
test conditions.
Note: the impulse withstand voltage
is equal to or greater than the rated surge
voltage.
Inactive parts
Inactive parts are conductive parts
that are electrically isolated from all live
parts through basic insulation.
Insertion attenuation
To determine the insertion
attenuation of a SPD, the mains and
frequency are specified. The attenuation
value is defined as the ratio of voltages
that occur immediately before and after
the insertion point of the SPD to be
tested. The result is expressed in
decibels.
Insulation coordination
The assignment of characteristic
insulation data for an item of equipment
for:
– Expected surge voltages
– Characteristic data of the surge
protective device
– Expected ambient conditions
– Protective measures against
contamination
Interference suppression
Measure to reduce or avoid the
electromagnetic disturbance variables
that occur.
Intrinsically safe circuit
A circuit protected against sparks and
thermal effects that may occur under the
conditions specified in DIN EN 60079-11
(which include error-free operation and
specific fault conditions), which can cause
the ignition of a particular explosive gas
atmosphere.
Intrinsically safe electrical
equipment
Electrical equipment in which all
circuits are intrinsically safe.
Lightning protection system
All devices as a whole that provide
external and internal lightning protection
for the system to be protected.
Lightning surge current I
imp
Lightning surge currents are
characterized by the parameters peak
value, charge, specific energy, and current
rate of rise. The lightning surge current
I
imp
is a measurement for the discharge
capacity of lightning arresters (class I). It
is determined according to a defined test
procedure using 10/350 µs waveform test
pulses.
Lightning surge voltage
Surge voltage as a result of lightning
discharge.
273
PHOENIX CONTACT
Technical information
Explanation of terms

Normal mode voltage
The normal mode voltage is the
voltage which occurs in the event of
interference between two conductors of
a circuit.
Potentially susceptible equipment
All electrical equipment whose
function can be influenced by disturbance
variables is referred to as potentially
susceptible equipment. Influence on
function may be in the form of a
functional disturbance, reduction in
function, malfunction or failure.
Protection level U
p
A parameter that characterizes the
performance capabilities of the SPD with
regard to voltage limitation via its
connection terminal blocks. This value,
which should be specified by the
manufacturer, must be greater than the
highest measured value of the clamping
voltages.
Protective paths
The voltage-limiting or switching
components of the SPD can be
connected between conductor/
conductor, conductor/ground,
conductor/neutral conductor, and neutral
conductor/ground or a combination of
these options. These circuit types are
referred to as protective paths.
Pulse
Rapid, brief alteration of a physical
variable, followed by a fast return to the
original value.
Pulse burst; burst
Result of a limited number of pulses
or waves of a limited duration.
Rate of rise
Average rate of change of a variable
between two specified values, e.g., 10%
and 90% of the peak value.
Reference ground
An area of the earth, particularly of
the earth's surface, which is so far away
from the ground conductors that no
noticeable voltages occur between any
points of this area as a result of the
current entering the earth.
Remote strikes
These usually cause surge voltages
with a significantly lower energy level
than close-up strikes. Remote strikes are
responsible for causing surge voltages in
electrical and electronic systems.
Lightning test current
The (10/350) s lightning test current
has a rise time of 10 s and a decay time
to half-value of 350 s.
10/350 lightning current pulse according to IEC 62305-1
Live parts
Live parts are conductors and
conductive parts of equipment that are
energized under normal operating
conditions.
Maximum continuous voltage U
C
The rated voltage is the maximum
permissible r.m.s. value of the
power-frequency AC voltage, which may
be permanently applied to the protective
paths of the arrester.
Nominal current I
N
or load current I
L
Highest continuous current for
products according to IEC 61643 which
can flow through the surge protective
device at the specified temperature
without altering the electrical operating
properties. For higher operating
temperatures, the nominal current is
lower (derating).
Nominal discharge surge current I
n
Peak value of the current flowing
through the SPD with surge form
(8/20) s. It is used to classify the SPD
according to class II. Source:
EN 61643-11
8/20 surge current pulse according to IEC 60060-1
Nominal voltage U
N
A suitable rounded voltage value,
which is specified by the manufacturer for
equipment for the purpose of designation
or identification.
30
60
010
100
350
I
(%)
t ( us)
100
90
50
10
0
8
20
I
(%)
t ( us)
Residual current device (RCD)
Residual current devices are devices
which isolate electrical systems from the
power supply system as soon as the
residual current to ground exceeds a
specific value.
Residual voltage U
res
The peak voltage value that occurs
while discharge surge current is flowing
via the terminal blocks of the SPD.
Source: EN 61643-11:2002
Response
A response is when either:
– The peak value of the ohmic
components of the current flowing
through the arrester reaches 5 mA
– A voltage dip with an increase in the
peak value of the current flowing
through the arrester to 5 mA occurs
Selective residual current device
Selective residual current devices are
time-delayed circuit breakers.
Short-circuit stability
Highest interference-free
short-circuit current the SPD can
withstand.
Source of interference
A source of interference is the origin
of disturbance variables. In principle, any
electrical equipment, such as motors or
fluorescent lamps, can be a source of
interference.
Specialist
A specialist is a person who, because
of their education, experience, and
instruction, and their knowledge of
relevant regulations, can assess any
required operations and recognize any
possible dangers.
Note: when considering a person's
professional training, several years'
experience in the relevant field can also
be taken into account.
Spike
A relatively short single-polarity
pulse.
Surface discharge surge arrester
The surface discharge surge arrester,
according to DIN VDE 0845 Part 1, is a
discharge path in which gas discharge is
initiated by means of surface discharge.
Surge current of (8/20) s
Surge current with a rise time of 8 s
and a decay time to half-value of 20 s.
Source: IEC 60060-1
274
PHOENIX CONTACT
Technical information
Explanation of terms

Surge current of (10/350) s
Surge current with a rise time of 10 s
and a decay time to half-value of 350 s.
Source: IEC 62305-1
Surge protection equipment (SPE)
Surge protection equipment consists
of surge protective devices and all
equipment in telecommunications
systems, including their cables, used for
surge protection.
Surge protective device (SPD)
A device to limit surge voltages and
discharge surge currents. It contains at
least one non-linear voltage-limiting
component.
Surge voltage
Any voltage with a peak value that
exceeds the corresponding peak value of
the maximum continuous voltage under
normal operating conditions.
Source: EN 60664-1
Surge voltage category
Assignment of electrical equipment to
the anticipated surge voltage.
Surge voltage of (1.2/50) s
Surge voltage with a rise time of
1.2 s and a decay time to half-value of
50 s. Source: IEC 60060-1
1.2/50 surge voltage pulse according to IEC 60060-1
10/700 surge voltage pulse according to ITU-T K.44
10/1000 surge current pulse according to IEEE C62.41.1
Switching surge voltage
Surge voltage as a result of a switching
operation.
Symmetrical interference
As shown in the figure, the
disturbance variable moves from the
source along one conductor to the
potentially susceptible equipment and
back along the other conductor. The
terms “normal-mode interference” or
“differential mode” are also used.
100
90
50
30
01,2
50
U
(%)
t ( us)
100
90
50
30
0
U
(%)
t ( us)
10
700
100
90
50
10
0
I
(%)
t ( us)
10
1000
Source of
interference
Potentially
susceptible
equipment
Symmetrical interference voltage
Interference voltage between
two wires of a cable (e.g., double cable)
or between two connection points of
electrical equipment for this cable type.
Symmetrical voltage, differential
mode voltage
Voltage between two live conductors
from one defined group.
Temperature range
Range between the minimum and
maximum temperature that may be
present at/in housing. For devices
without self-heating, this value is the
permissible ambient temperature. For
devices with self-heating, these values are
the maximum temperatures that may
occur at/in the device during operation.
To g ro un d
An electrically conductive part, e.g.,
the lightning protection system is
connected to ground via a grounding
system.
Transient
Describes a phenomenon or variable
which changes during what is, in
comparison to the time scale being
observed, a short period of time between
two consecutive stationary states.
Transients
Irregular and relatively short positive
and/or negative voltage or current
changes between two stationary states.
Varistors
A varistor is a bipolar non-linear
resistor with a symmetrical voltage/
current characteristic curve and a
resistance value which decreases as the
voltage increases.
275
PHOENIX CONTACT
Technical information
Explanation of terms

276
PHOENIX CONTACT
accordance with EMC Directive 2004/108/EC
and according to R&TTE Directive 1999/5/EC
for radio and telecommunications terminal
equipment. As a “Telecom Certification
Body” (TCB), Phoenix Testlab may also
approve these products for markets in the
USA, Canada, and Japan.
Standards and regulations
All relevant standards and regulations are
used as the basis for the development and
maintenance of our products.
International standards are subject to
continuous changes as a result of
harmonization and new developments. In line
with this process, the current version of all
standards that are relevant to our products is
documented in the product area on our
website at
www.phoenixcontact.net/products.
Online product information service on
the web
Phoenix Contact's product range is growing
constantly.
Due to our commitment to product
monitoring, all products are subject to
improvement.
The Internet is an ideal platform to quickly
communicate new product developments and
improvements to the market.
You can quickly access the relevant
Phoenix Contact website for your region via
www.phoenixcontact.com. Here, you will
always find the latest overview of products,
solutions, and services from
Phoenix Contact. This includes technical
documents, such as data sheets and user
manuals, the latest driver and demo software,
plus a means of contacting the appropriate
contact person directly.
marketing the product within the EU.
Where applicable, the products that our
company currently manufactures fall within
the scope of the following directives:
– 2006/95/EC and 2014/35/EU
Electrical equipment designed for use
within certain voltage limits (Low-Voltage
Directive)
– 2004/108/EC and 2014/30/EU
Electromagnetic compatibility
(EMC Directive)
– 2004/22/EC and 2014/32/EU
Measuring instruments
– 2006/42/EC
Safety of machinery
(Machinery Directive)
– 94/9/EC and 2014/34/EU
Equipment and protective systems
intended for use in potentially explosive
areas (ATEX Directive)
– 1999/5/EC
R&TTE Directive and
2014/53/EU
Radio Equipment Directive
The standards upon which the specified
directives are based have been part of our
standard of development for a long time. This
guarantees conformance with European
directives. The numbers of the directives
indicate their version at the time of
publication. In the event of changes to
directives and/or standards, our products will
undergo conformity assessment again in good
time and a new declaration of conformity will
be issued promptly. The current declarations
for each product can also be found in our
download area.
The EMC Directive occupies a special place
among the European directives listed. It
defines electromagnetic compatibility as a
fundamental property of devices based on
mandatory guidelines. European Law
therefore acknowledges the electromagnetic
compatibility of devices and systems as an
important condition for error-free operation
of machinery and systems. Phoenix Contact is
one of the leading international companies in
surge protection, and therefore possesses
broad expertise in EMC. This expertise and
the experience gained over years of
developing and applying industrial interface
and communication technology have resulted
in our products having an extremely high
standard of quality with regard to
electromagnetic compatibility. It was with a
view to providing other companies with this
expertise that our associate company,
Phoenix Testlab, was founded. Phoenix
Testlab GmbH is an independent, accredited
service provider offering EMC testing that
conforms to European standards. At Phoenix
Testlab, devices are also tested with regard to
their electrical safety, mechanical influences,
and their behavior in relation to
environmental influences. Furthermore,
Phoenix Testlab is a “Notified Body” in
Integrated management system
The aim of the Phoenix Contact integrated
management system is to coordinate all the
requirements regarding products, processes,
and organization.
Statutory and regulatory requirements, as
well as those of international standards and
our customers, are met and, in some cases,
even exceeded in all phases of the product
lifecycle.
The Phoenix Contact management system
is monitored by internationally recognized
independent bodies each year to ensure that
quality, environmental protection, energy
efficiency, and occupational safety have been
integrated in conformance with the relevant
requirements. Certification in accordance
with international standards ISO 9001,
ISO 14001, ISO 50001, and BS OHSAS 18001
is the result of our corporate philosophy of
meeting the needs of our customers, staff,
and environment as best as possible. They
serve as the basis for innovative products
with the familiar high Phoenix quality
standard, actively practiced environmental
protection through efficient production and
products that conserve resources, and
responsibility in the field of occupational
health and safety. It goes without saying that
we integrate all further requirements of
standards, international approvals or special
customer requirements into our company
processes.
This system provides a building block for
the success of the Phoenix Contact Group
and its products and services.
CE marking
CE marking was introduced as an
important instrument for the free movement
of goods and services within the single
European market. By attaching the mark to a
product, the manufacturer confirms that it
complies with all applicable European Union
(EU) directives. EC directives describe the
product properties with regard to device
safety and avoiding danger. These are legally
binding regulations of the European Union
(EU). In other words, compliance with the
requirements is a statutory condition for
Quality in quantity
Technical information

60
200
For further information and full technical data, visit phoenixcontact.net/products
277
PHOENIX CONTACT
Finger safety
Back of hand safety
Example: pressure actuation
Shock protection
Finger safety Back of hand safety
machine.
The most important thing is that an area
formed by an even envelope curve 30 mm in
radius must surround the live parts. This
area must be touch proof, i.e., the live
parts of the electrical device must not be
within reach of the VDE test finger
according to IEC 60529/DIN VDE 0470-1
(test finger).
Back of hand safety is specified for the
“rest of the area” up to 100 mm around the
operating element. Back of hand safety
means that when a force of 50 N is applied
to a ball with a diameter of 50 mm, this does
not come into contact with the live parts of
the equipment. No special measures for
ensuring contact safety are stipulated
outside this area.
Note: systems and equipment that are
operated with SELV up to 25 V ~ or 60 V –
are considered to be protected against
“direct contact”.
According to § 5, Subsection 4 of the BGV
A 2 regulations, there is no need to test the
condition of the system prior to initial
startup if the company has confirmation
from the manufacturer or installer that the
electrical systems and equipment conform
to BGV A 2. The confirmation required
relates to systems and equipment that have
been installed and are ready for operation
and can only be issued by the installer or
installation company. The manufacturer of
the electrical equipment can only issue a
confirmation that products have been
produced in accordance with the relevant
electrotechnical DIN VDE regulations
stipulated in BGV A 2. The installer must
bear this in mind when selecting the
equipment to be used.
In the field of connection technology,
Phoenix Contact offers a wide range of
products that are touch proof or that can
be protected against contact using covers.
The accident prevention regulations BGV
A 2 issued by the German employer's
liability insurance association for precision
mechanics and electrical engineering apply
to the operators of electrical systems and
are aimed at the prevention of electrical
accidents by means of special safety
requirements.
These regulations contain specifications
regarding the safety distances for work,
operation, and occasional handling in the
proximity of “live parts” in low-voltage
systems up to 1000 V ~ or 1500 V –.
– Work with live parts is only permitted
once they have been de-energized.
Operational activities are only permitted
in the vicinity of live parts if these parts
are de-energized or are protected against
direct contact (§ 6). The following safety
measures apply when working in the
vicinity of live parts:
– Provision of the de-energized state for
the duration of the work
– Ensure shock protection is in place in the
form of covers or barriers during the
work
– Assurance that the permitted proximity
limits will not be violated (§ 7).
The term “occasional handling” has been
introduced for the operation of elements
such as pushbuttons, rocker arms or rotary
buttons in the proximity of live parts.
According to VDE 0105-1, this is covered
by “operation with partial protection
against direct contact”.
Detailed specifications for “occasional
handling” can be found in DIN VDE 0106-
100. This specifies to what degree live parts
in the proximity of operating elements are
to be protected against contact. The basis
for this is the definition
of a “protection area for occasional
handling”; this is the area into which the
user must reach in order to handle the
Depending on the conditions, all of this
must be taken into account when selecting
the individual types of terminal block and
accessories.
Technical information

Quality features of insulating housing
Thermoplastics
The majority of our insulating housing
is made from thermoplastic materials. Roughly
speaking, these can be divided into
amorphous and semi-crystalline substances.
Thermoplastics are processed using the
efficient and environmentally-friendly injection
molding process. They have good recycling
properties and can be re-used. We use many
materials that are modified in different ways to
meet the demanding requirements that
electrical and electronic modules, devices, and
systems have to meet with regard to their
mechanical, thermal, and electrical properties.
Behavior of plastics under the
influence of temperature (operating
temperatures, mechanical influences)
All plastics undergo a process referred to as
thermal aging when they are subjected to heat
over long periods. This process causes
changes in the mechanical and electrical
properties of the material. External influences,
e.g., radiation, additional mechanical, chemical
or electrical stresses, amplify this effect.
Special tests on samples can yield
characteristic data which provides a good
means of drawing comparisons between
different plastics. However, applying these
characteristics to an evaluation of molded
plastic parts is only possible to a limited
extent, and can only give the designer a rough
guide when it comes to selecting a plastic
material. This catalog uses the following
assessment criteria: the RTI value according
to UL746B/ANSI 746 B (elec. based on
electric strength) and the Ti value according
to IEC 60216-1 (based on a 50% reduction in
tensile strength after 20,000 hours).
IEC 60947-7-1/EN 60947-7-1 specifies a
permissible temperature increase of 45 K for
terminal blocks under nominal load.
Phoenix Contact terminal blocks meet this
requirement.
The properties of plastics are not only
affected by the influence of heat as described
above; they also undergo changes as a result of
cold influences. When subjected to cold as
well as low levels of humidity, plastics become
increasingly brittle with the result that they
are no longer capable of withstanding the
same mechanical loads. As the table on the
right shows, the plastics concerned can be
used down to a temperature of -40°C, but
only without a mechanical load. As far as the
products presented in the catalog are
concerned, it is the ambient temperature
specified in each case that is to be regarded as
definitive for operation. Regardless of the
plastics used, this may be subject to further
restrictions (e.g., limited to -20°C) as a result
of the components used or other restrictive
parameters.
At very low temperatures, this means that
any form of mechanical load on the plastic
components must be avoided (e.g., mounting
of products on/removal of products from the
DIN rail, actuation of terminal points,
locking/ejection of relays from bases, prizing
out of jumpers, bending of cables and lines,
etc.), as there is always an associated risk of
damage. Unless otherwise indicated, it is
recommended that you carry out the
specified mounting/operational tasks in a
temperature range from -10°C to +40°C.
Inflammability characteristics of
plastics (UL 94)
The inflammability tests for plastics have
been defined by the Underwriters Laboratory
(USA) in regulation UL 94. This applies to all
usage ranges, but in particular to electrical
engineering. A horizontal or vertical test is
carried out at the test laboratory to
determine the inflammability of the plastic
material with a naked flame. In order of
increasing flame-retardant behavior, the
evaluation classes are HB, V2, V1, V0, and 5V.
Test results are recorded on “yellow cards”
and are published annually in the Recognized
Component Directory.
Thermoplastics:
non-reinforced polyamide, PA
We use the modern, semi-crystalline
polyamide insulation material, which has now
become an essential component in electrical
engineering and electronics. It has long
occupied a leading position and is authorized
for use by the relevant approval authorities
such as the CSA, NEMKO, KEMA, PTB, SEV,
UL, VDE, etc.
Polyamide also has excellent electrical,
mechanical, chemical, and other properties,
even at high operating temperatures. Brief
peak temperatures up to approximately
200°C are permitted as a result of heat aging
stabilization. Depending on the type (PA 4.6,
6.6, 6.10, etc.), its melting point is in the region
of 215°C to 295°C.
Polyamide absorbs moisture from its
surroundings, on average 2.8%. However, this
moisture is not in the form of crystallization
water in the plastic itself, but chemically
bonded H
2
O groups in the molecule
structure. This makes the plastic flexible and
resistant to breakage, even at temperatures as
low as -40°C. According to UL 94, PA belongs
to inflammability class V2 to V0.
Thermoplastics: polyester, PBT
We use the semi-crystalline thermoplastic
polyester in non-reinforced and fiberglass-
reinforced variants for special applications
which require increased dimensional and form
stability.
In addition to the high operating
temperature, the material is characterized by
excellent mechanical strength and hardness,
and does not absorb moisture from its
surroundings. PBT is therefore particularly
suitable for strips, for example, which are
soldered onto PCBs and subsequently have to
pass a burn-in test while they are subjected to
heat. According to UL 94, PBT belongs to
inflammability class V2 to V0.
Thermoplastics: polycarbonate, PC
Polycarbonate combines many advantages
such as rigidity, impact strength, transparency,
dimensional stability, good insulation
properties, and resistance to heat.
This amorphous material only absorbs
moisture to a very limited degree, and is used
for items such as large, rigid electronic
component housing.
In its transparent form, polycarbonate is
particularly suitable for use as a material for
cover profiles or marking materials.
PC has good resistance properties against
mineral acids, saturated aliphatic
hydrocarbons, gasoline, greases, and oils.
The material is less resistant to solvents,
benzene, lyes, acetone, and ammonia. Strain
cracks may result from contact with certain
chemicals.
According to UL 94, PC belongs to
inflammability class V2 to V0.
Thermoplastics:
polycarbonate fiber-reinforced, PC-F
Compared to non-reinforced materials,
fiber-reinforced polycarbonates feature
greater rigidity, impact strength, and operating
temperature. In other respects, their
properties are largely identical to those of
non-reinforced polycarbonate.
278
PHOENIX CONTACT
Technical information

For further information and full technical data, visit phoenixcontact.net/products
Properties Unit/level Polyamide
PA
Polyester
PBT
Polycarbonate
PC
Polycarbonate
PC-F
ABS
Operating temperature RTI */** °C 105 105 125 120 80
Minimum temperature (without mechanical load) °C -40 -40 -40 -40 -40
Electric strength acc. to IEC 60243-1/DIN VDE 0303-21 kV/cm 600 400 > 300 850
Resistance to creepage IEC 60112/DIN VDE 0303-1 CTI...M 550 225 175 200
CTI... 600 225 175 175 600
Tropical and termite resistance Good Good Good
Specific contact resistance
IEC 60093/VDE 0303 Part 30; IEC 60167/VDE 0303 Part 31 cm 10
12
10
16
> 10
16
> 10
14
10
14
Surface resistance
IEC 60093/VDE 0303 Part 30; IEC 60167/VDE 0303 Part 31 10
10
10
13
> 10
14
10
13
Inflammability class according to UL 94 V2-V0 V0 V2-V0 V0 HB - V0
* According to UL 746 B/ANSI 746 B (elec.) ** Minimum value
Thermoplastics: ABS
We use the thermoplastic molding
compound ABS for products which must have
good impact and notched impact properties in
addition to high mechanical stability and
rigidity. The products are resistant to
chemicals and stress cracking due to their
special surface quality and hardness.
The characteristic thermal properties
provide good dimensional stability at both low
and high temperatures. Products made from
ABS can be coated with metallic surfaces, e.g.,
nickel.
The inflammability class of the molding
compound used is HB to V0 according to
UL 94.
Dimensions: Width/Height/Depth
D
H
W
DW
H
Dimensions
Subject to changes that serve
the purpose of technical progress.
In accordance with statutory regulations,
our products are indicated with this
footnote if they are intended for use in
industrial environments. This means that
the permitted limit values for residential
applications may be exceeded in the event
of conducted and emitted disturbance
variables. In such cases, the operator may
have to take additional safety measures in
order to ensure electromagnetic
compatibility in residential applications.
EMC: Class A product: Note:
The dimensions "Width/Height/Depth" are
defined as follows for all DIN-rail-mountable
products in the INTERFACE range:
–Width: measurement taken along the DIN
rail
–Height: measurement taken across the DIN
rail
–Depth: measurement taken starting from
the mounting plate and including the
NS 35/7,5 DIN rail (EN 60715)
The width, height, and depth never change,
even if the products shown in this catalog
happen to be photographed from two
different perspectives (horizontal or vertical).
To make things easier for you, one of the
following two symbols has been included next
to each product photo:
279
PHOENIX CONTACT
Technical information

280
PHOENIX CONTACT
Connection cross section
strand) or stranded (fine-strand).
These values can be found in the product-
specific technical data.
The rated connection capacity of
Phoenix Contact terminal blocks usually
exceeds standard requirements, which specify
that it must only be possible to connect one
conductor with one of the two next smallest
cross sections, excluding the rated cross
section (standardized for the cross section
range from 0.2 to 35 mm
2
).
In addition, conductors with a rated cross
section can usually be wired with ferrules with
plastic sleeve.
Phoenix Contact terminal blocks are
The rated cross section of terminal blocks
must be specified by the manufacturer
according to IEC 60947-7-1. The rated cross
section is the maximum conductor cross
section that can be connected in single, multi
or fine-strand versions subject to specific
thermal, mechanical, and electrical
requirements.
The manufacturer must also specify the
rated connection capacity, i.e., the area of
the conductor that can be connected, as well
as the number of conductors that can be
connected simultaneously and the necessary
preparation of the conductor ends. The
conductors can be solid (single or multi-
designed to allow copper cables to be
connected to them without any special
treatment. “Special treatment” or the use of
ferrules – both permitted according to
IEC 60947-7-1 – are not required. If ferrules
are nevertheless used to protect stranded
conductors against splicing, the connection
capacity of the stranded conductor is
generally reduced by one level.
Structure and dimensions of connecting cables
Cross
section
Single-strand Multi-strand Fine-strand American Wire Gauge [AWG]
Diameter
max.
dimension
Number of
wires
Diameter
max.
dimension
Number of
wires
(minimum
number)
Diameter
max.
dimension
Number of
wires
(guide
value)
Gauge No. Solid wires Stranded wires
[mm
2
]AWG [ mm] [circ. mils] [mm
2
] [ mm] [circ. mils] [mm
2
]
0.2 0.5 1––––24 0.51 404 0.21 –––
0.5 0.9 11.1 71.1 16 20 0.81 1022 0.52 0.97 1111 0.56
0.75 1.0 11.2 71.3 24 18 1.02 1620 0.82 1.16 1600 0.82
11.2 11.4 71.5 32 (17) 1.15 2050 1.04 – – _
–––––––16 1.29 2580 1.31 1.50 2580 1.32
1.5 1.5 11.7 71.8 30 (15) 1.45 3260 1.65 – – _
–––––––14 1.63 4110 2.08 1.85 4100 2.09
2.5 1.9 12.2 72.3 50 (13) 1.83 5180 2.63 –––
–––––––12 2.05 6530 3.31 2.41 6500 3.32
42.4 12.7 72.9 56 (11) 2.30 8230 4.17 – – _
–––––––10 2.59 10380 5.26 2.95 10530 5.37
62.9 13.3 73.9 84 (9) 2.91 13100 6.63 – – _
–––––––83.26 16510 8.37 3.73 16625 8.48
Extract from IEC 60947-1/EN 60947-1, Table 4
The torque according to IEC and the recommended torque for Phoenix Contact terminal blocks are specified
Thread Head screw with slot
Torque Recommended
tightening torque
[Nm] [Nm]
M2.5 (M2.6) 0.4 0.4-0.5
M3 0.5 0.5-0.6
M3.5 0.8 0.8-1.0
M4 1.2 1.2-1.5
Standard IEC 60947-7-1/EN 60947-7-1/
DIN VDE 0611-1 specifies the test currents
for the individual conductor cross sections
listed in the adjacent table. The corresponding
currents are listed with the connection data
for the individual terminal blocks. The type
tests of terminal blocks are based on this data.
Test currents according to IEC 60947-7-1/EN 60947-7-1, Table 5
Rated cross section [mm
2
]0.2 0.5 0.75 1.0 1.5 2.5 4 6 10 16
Test current [A] 4 6 9 13.5 17.5 24 32 41 57 76
Tightening torque of terminal block screws
Current carrying capacity
IEC 60947-1/EN 60947-1, modified, Table 4
specifies tightening torques for screw
connections based on the screw size for
electrical and mechanical type tests.
Technical information

X
j
FR
CCA
NL
F
DE
C
+
CA
p
DE
x
GB
&
US NL
m
JP
,
*
CA
US
CH
o
NO
A
US
!
FI
z
PL
a
CA
DE
y
RU
u
US
CA
w
BR
d
KR
g
IT
$
DE
l
US
BY
KZ
RU
DE
NL
C
CA
K
AT
&
US
s
CH
,
CA
US
J
V
DE
A
US
DE
a
CA
US
u
US
CA
CA
f
US
US
CA
BY
KZ
RU
T
DE
CN
For further information and full technical data, visit phoenixcontact.net/products
281
PHOENIX CONTACT
Certification bodies and approvals Country
code Explosion protection Country
code Ship classification societies Country
code
IECEE CB Scheme
(in combination with certifying body) Intl. International
Electrotechnical Commission Intl. Bureau Veritas
CENELEC Certification Agreement
(CCA inspection report)
(in combination with certifying body)
EU DEKRA Certification B.V. Germanischer Lloyd AG
Canadian Standards Association (CSA) Physikalisch-Technische Bundesanstalt Lloyd's Register of Shipping
Canadian Standards Association (CSA)
- CSA approval for the USA - KIWA Nederland B.V. Nippon Kaiji Kyokai
Canadian Standards Association.
(CSA) Combined logo
- CSA approval for Canada and the USA -
QS Schaffhausen AG Det Norske Veritas
Underwriters Laboratories Inc. (UL) VTT Expert Services Oy Polski Rejestr Statków
Underwriters Laboratories Inc. (UL)
- UL approval for Canada -
IBExU Institut für Sicherheitstechnik
GmbH Russian Maritime Register of Shipping
Underwriters Laboratories Inc.
(UL) Combined logo
- UL approval for the USA and Canada -
TÜV Rheinland do Brasil Korean Register of Shipping
INSIEME PER LA QUALITA'E LA
SICUREZZA Technischer Überwachungsverein Nord American Bureau of Shipping
Eurasian Conformity DEKRA EXAM GmbH
DEKRA Certification B.V. Canadian Standards Association (CSA)
Österreichischer Verband für
Elektrotechnik
Canadian Standards Association (CSA)
- CSA approval for the USA -
electrosuisse SEV
Verband für Elektro-,
Energie- und Informationstechnik
Canadian Standards Association.
(CSA) Combined logo
- CSA approval for Canada and the USA -
Verband Deutscher Elektrotechniker e.V.
(VDE)
– Approval of drawings
– Reports with production monitoring
Underwriters Laboratories Inc. (UL)
Berufsgenossenschaft (BG)
GS - Geprüfte Sicherheit
Underwriters Laboratories Inc. (UL)
- UL approval for Canada -
Intertek ETL Listed
- Approval for the USA -
Underwriters Laboratories Inc.
(UL) Combined logo
- UL approval for the USA and Canada -
Intertek ETL Listed
- Approval for Canada - FM Approvals
Intertek ETL Listed
- Approval for the USA and Canada - Eurasian Conformity for Ex-products
TÜV Rheinland Industrie Service GmbH
China Compulsory Certificate
Certification bodies and safety marks
Technical information

,
282
PHOENIX CONTACT
Rated surge voltages for equipment that is directly supplied by the low-voltage
network (extract from Table 1)
Nominal voltage of the power supply system
1
) (mains) acc. to IEC 60038
3
)
Conductor-neutral conductor voltage
derived from the total nominal AC
voltage or nominal DC voltage
Rated surge voltage
2
)
[V]
Three-phase Single-phase Surge voltage category
4
)
[V] [V] [V] I II III IV
120 to 240
50 330 500 800 1500
100 500 800 1500 2500
150 800 1500 2500 4000
230/400 277/480 300 1500 2500 4000 6000
400/690 600 2500 4000 6000 8000
1000 1000 4000 6000 8000 12000
1
) Refer to Annex B for application in existing deviating low-voltage networks and their nominal voltages.
2
) Equipment with this rated surge voltage may be used in systems according to IEC 60364-4-443.
3
) The slash, i.e., /, indicates a three-phase four-conductor system. The lower value is the conductor-to-neutral conductor voltage,
whereas the higher value is the conductor-to-conductor voltage. When only one value is specified, it refers to a three-phase three-
conductor system, and indicates the conductor-to-conductor voltage.
4
) Refer to 2.2.2.1.1 for an explanation of surge voltage categories.
Minimum clearances for surge voltages (extract from Table 2)
Required rated
impulse voltage
1
)
5
)
Condition A
Non-homogeneous field (refer to 3.15)
Condition B
Homogeneous field (refer to 3.14)
Pollution degree
6
)Pollution degree
6
)
1 2 3 1 2 3
[kV] [mm] [mm] [mm] [mm] [mm] [mm]
0.33
2
)0.01 0.2
3
)
4
) 0.8
4
)0.01 0.2
3
)
4
) 0.8
4
)
0.40 0.02 0.02
0.5
2
)0.04 0.04
0.60 0.06 0.06
0.80
2
)0.10 0.10
1.0 0.15 0.15
1.2 0.25 0.25 0.2
1.5
2
)0.5 0.5 0.3 0.3
2.0 1.0 1.0 1.0 0.45 0.45
2.5
2
)1.5 1.5 1.5 0.6 0.6
3.0 2.0 2.0 2.0 0.8 0.8
4.0
2
)3 3 3 1.2 1.2 1.2
5.0 4 4 4 1.5 1.5 1.5
6.0
2
)5.5 5.5 5.5 222
8.0
2
)888333
10 11 11 11 3.5 3.5 3.5
12
2
)14 14 14 4.5 4.5 4.5
15 18 18 18 5.5 5.5 5.5
20 25 25 25 8 8 8
25 33 33 33 10 10 10
30 40 40 40 12.5 12.5 12.5
40 60 60 60 17 17 17
50 75 75 75 22 22 22
60 90 90 90 27 27 27
80 130 130 130 35 35 35
100 170 170 170 45 45 45
1
) This voltage is:
– For function insulation: the highest surge voltage expected for the clearance
– For basic insulation, if influenced directly or considerably by surge voltages from the low-voltage network:
the rated surge voltage of the equipment
– For a different basic insulation: the highest impulse voltage possible in the circuit
2
) Preferred values
3
) For PCBs, the values of pollution degree 1 are applicable, except that no deviation below the value of 0.04 mm is permitted, as
specified in Table 4.
4
) Minimum clearances for pollution degrees 2 and 3 are based on the corresponding creepage distances. This resistance is reduced due
to the effects of humidity.
5
) Values can be interpolated for parts or circuits within equipment that are subjected to impulse voltages.
6
) The distances for pollution degree 4 are equal to those for pollution degree 3, except that the minimum clearance is 1.6 mm.
Schematic for determining clearances
Altitude correction factors
(extract from Table A.2)
Height
in m
Normal air pressure
in kPa
Multiplication factor
for gaps
2000
3000
4000
80.0
70.0
62.0
1.00
1.14
1.29
5000
6000
7000
54.0
47.0
41.0
1.48
1.70
1.95
8000
9000
10000
35.5
30.5
26.5
2.25
2.62
3.02
15000
20000
12.0
5.5
6.67
14.50
Dimensioning of clearances
Nominal voltage of the
power supply
Rated
surge
voltage
Rated surge voltage
according to Table 1
Surge
voltage
category
Minimum clearance L
according to Table 2
Pollution
degree
Height
> 2000 m
above sea
level
Multiply L with altitude
correction factor
according to Table A2
Impulse
voltage test
No
Rating acc.
to case A
Yes
Clearance L
Technical information

For further information and full technical data, visit phoenixcontact.net/products
283
PHOENIX CONTACT
Schematic for determining creepage
distances
Single-phase three or two-conductor AC or DC voltage
systems (extract from Table 3a)
Nominal
voltage of the
power supply
system (mains)
*)
Voltages for Table 4
for conductor-
conductor
insulation
1
)
for conductor-ground
insulation
1
)
All systems Three-conductor
systems
center point grounded
[V] [V] [V]
12.5 12.5 –
24
25 25 –
30 32 –
42
48
50 **) 50 –
60 63 –
30-60 63 32
100 **) 100 –
110
120 125 –
150 **) 160 –
220 250 –
110-220
220-240 250 125
300 **) 320 –
220-440 500 250
600 **) 630 –
480-960 1000 500
1000 **) 1000 –
1
) Conductor-ground insulation levels for non-grounded systems or
those grounded through impedance correspond to conductor-
conductor insulation levels as the operating voltage of every
conductor to ground can, in practice, reach the conductor-
conductor voltage. This is due to the fact that the actual voltage to
ground is determined by the insulation resistance and the
capacitive reactance of each conductor to ground. A low (but
permissible) insulation resistance of one conductor can thereby
practically ground it and increase the other two to conductor-
conductor voltage to ground.
*) Refer to 2.2.1 for correlation with the rated voltage.
**) These values correspond to the values in Table 1.
Three-phase four or three-conductor AC voltage systems
(extract from Table 3b)
Nominal
voltage of
the power
supply
system
(mains) *)
Voltages for Table 4
for
conductor-
conductor
insulation
All systems
Insulation for conductor-ground
Three-phase
four-conductor
systems with
grounded
neutral
conductor
2
)
Three-phase
three-
conductor
systems non-
grounded
1
)
or
conductor
grounded
[V] [V] [V] [V]
60 63 32 63
110/120/127 125 80 125
150 **) 160 – 160
208 200 125 200
220/230/240 250 160 250
300 **) 320 –320
380/400/415 400 250 400
440 500 250 400
480/500 500 320 500
575 630 400 630
600 **) 630 – 630
660/690 630 400 630
720/830 800 500 800
960 1000 630 1000
1000 **) 1000 – 1000
1
) Conductor-ground insulation levels for non-grounded systems or
those grounded through impedance correspond to conductor-
conductor insulation levels as the operating voltage of every
conductor to ground can, in practice, reach the conductor-
conductor voltage. This is due to the fact that the actual voltage to
ground is determined by the insulation resistance and the
capacitive reactance of each conductor to ground. A low (but
permissible) insulation resistance of one conductor can thereby
practically ground it and increase the other two to conductor-
conductor voltage to ground.
2
) For equipment designed for use in three-phase four-conductor
and three-phase three-conductor systems, grounded as well as
non-grounded, only the values for three-conductor systems may
be used.
*) Refer to 2.2.1 for correlation with the rated voltage.
**) These values correspond to the values in Table 1.
Creepage distances to prevent failures occurring due to creepage (extract from Table 4)
Voltage
1
)
r.m.s. value
Minimum creepage distances
1
) This voltage is:
a) For function insulation: the
working voltage
b) For basic and additional
insulation of a circuit supplied
directly by the low-voltage
network: either the voltage
selected from Table 3a or 3b on
the basis of the rated voltage of
the equipment or the rated
insulation voltage;
c) For basic and additional
insulation of systems,
equipment, and internal circuits
which are not supplied directly
from the mains: the highest r.m.s.
value of the voltage that, within
the bounds of the rated data, can
occur in the system, the
equipment or the internal circuit,
when supplied with rated voltage
and in the case of the most
unfavorable combination of
operating conditions.
2
) With pollution degree 3,
insulation material group IIIb is
not recommended for use if
voltages are greater than 630 V.
Printed circuits
Pollution degree Pollution degree
1 2 1 2 3
All insulation material
groups
All insulation material
groups except IIIb
All insulation material
groups
Insulation material group Insulation material group
III III III III
2
)
[V] [mm] [mm] [mm] [mm] [mm] [mm] [mm] [mm] [mm]
10
12.5
16
0.025
0.025
0.025
0.04
0.04
0.04
0.08
0.09
0.10
0.40
0.42
0.45
0.40
0.42
0.45
0.40
0.42
0.45
1.00
1.05
1.10
1.00
1.05
1.10
1.00
1.05
1.10
20
25
32
0.025
0.025
0.025
0.04
0.04
0.04
0.11
0.125
0.14
0.48
0.50
0.53
0.48
0.50
0.53
0.48
0.50
0.53
1.20
1.25
1.30
1.20
1.25
1.30
1.20
1.25
1.30
40
50
63
0.025
0.025
0.040
0.04
0.04
0.63
0.16
0.18
0.20
0.56
0.60
0.63
0.80
0.85
0.90
1.10
1.20
1.25
1.4
1.5
1.6
1.6
1.7
1.8
1.8
1.9
2.0
80
100
125
0.063
0.10
0.16
0.10
0.16
0.25
0.22
0.25
0.28
0.67
0.71
0.75
0.95
1.00
1.05
1.3
1.4
1.5
1.7
1.8
1.9
1.9
2.0
2.1
2.1
2.2
2.4
160
200
250
0.25
0.40
0.56
0.40
0.63
1.00
0.32
0.42
0.56
0.80
1.00
1.25
1.1
1.4
1.8
1.6
2.0
2.5
2.0
2.5
3.2
2.2
2.8
3.6
2.5
3.2
4.0
320
400
500
0.75
1.00
1.30
1.60
2.00
2.50
0.75
1.00
1.30
1.60
2.00
2.50
2.2
2.8
3.6
3.2
4.0
5.0
4.0
5.0
6.3
4.5
5.6
7.1
5.0
6.3
8.0
630
800
1000
1.80
2.40
3.20
3.20
4.00
5.00
1.8
2.4
3.2
3.2
4.0
5.0
4.5
5.6
7.1
6.3
8.0
10
8.0
10.0
12.5
9
11
14
10.0
12.5
16.0
1250
1600
2000
4.2
5.6
7.5
6.3
8
10
9
11
14
12.5
16
20
16
20
25
18
22
28
20
25
32
2500
3200
4000
10
12.5
16
12.5
16
20
18
22
28
25
32
40
32
40
50
36
45
56
40
50
63
5000
6300
8000
20
25
32
25
32
40
36
45
56
50
63
80
63
80
100
71
90
110
80
100
125
10000 40 50 71 100 125 140 160
Dimensioning of creepage distances
Nominal mains
voltage of the power
supply
Rated AC/DC voltage
Pollution
degree
Minimum creepage
distance K acc. to
Table 4
Insulation
material
Clearance
LPollution degree 1
Yes No
Increase K
to L
Yes K < L K < L
acc. to case A
No No Yes
Creepage distance K
Increase K to
L acc. to case
A
Technical information

Type Order No. Page Type Order No. Page Type Order No. Page Type Order No. Page
A
ADAPTER KOAX TYP F 2880972 130
B
BATTERY MOUNTING CASE 2320458 231
BATTERY MOUNTING KIT 2320788 231
BLT-T2-1S-320-UT 2906101 50
BLT-T2-320-UT 2906100 50
BNC-V 50 2805041 127
BNC-V 75 2805070 127
BT-1S-230AC/A 2803409 55
BT-1S-230AC/O 2800625 55
C
C-SAT-BOX 2880561 130
C-TV-SAT 2856993 131
C-TV/HIFI 2857002 131
C-UB/E 2763701 127
C-UFB- 5DC/E 75 2763604 127
C-UFB-24DC/E 2782313 127
C7/16-LAMBDA/4-2.25-BB 2801060 129
C7/16-LAMBDA/4-2.25-SB 2801059 129
CB 1/10-1/10 UT-BE 2801305 252
CB 1/6-2/4 PT-BE 2800929 252
CB E1 24DC/10A S-C P 2800928 257
CB E1 24DC/10A S-R P 2800914 257
CB E1 24DC/10A SI-C P 2905812 257
CB E1 24DC/10A SI-R P 2905805 257
CB E1 24DC/1A NC P 2800915 257
CB E1 24DC/1A NO P 2800901 256
CB E1 24DC/1A S-C P 2800922 257
CB E1 24DC/1A S-R P 2800908 257
CB E1 24DC/1A SI-C P 2905806 257
CB E1 24DC/1A SI-R P 2905799 257
CB E1 24DC/2A NC P 2800916 257
CB E1 24DC/2A NO P 2800902 256
CB E1 24DC/2A S-C P 2800923 257
CB E1 24DC/2A S-R P 2800909 257
CB E1 24DC/2A SI-C P 2905807 257
CB E1 24DC/2A SI-R P 2905800 257
CB E1 24DC/3A NC P 2800917 257
CB E1 24DC/3A NO P 2800903 256
CB E1 24DC/3A S-C P 2800924 257
CB E1 24DC/3A S-R P 2800910 257
CB E1 24DC/3A SI-C P 2905808 257
CB E1 24DC/3A SI-R P 2905801 257
CB E1 24DC/4A NC P 2800918 257
CB E1 24DC/4A NO P 2800904 256
CB E1 24DC/4A S-C P 2800925 257
CB E1 24DC/4A S-R P 2800911 257
CB E1 24DC/4A SI-C P 2905809 257
CB E1 24DC/4A SI-R P 2905802 257
CB E1 24DC/6A NC P 2800919 257
CB E1 24DC/6A NO P 2800905 256
CB E1 24DC/6A S-C P 2800926 257
CB E1 24DC/6A S-R P 2800912 257
CB E1 24DC/6A SI-C P 2905810 257
CB E1 24DC/6A SI-R P 2905803 257
CB E1 24DC/8A S-C P 2800927 257
CB E1 24DC/8A S-R P 2800913 257
CB E1 24DC/8A SI-C P 2905811 257
CB E1 24DC/8A SI-R P 2905804 257
CB PT BRIDGE 2801014 253
CB S-BE 2905067 252
CB TM1 0.5A F1 P 2800857 255
CB TM1 0.5A M1 P 2800846 254
CB TM1 0.5A SFB P 2800835 215
CB TM1 10A F1 P 2800865 255
CB TM1 10A M1 P 2800854 254
CB TM1 10A SFB P 2800843 253
CB TM1 12A F1 P 2800866 255
CB TM1 12A M1 P 2800855 254
CB TM1 12A SFB P 2800844 253
CB TM1 16A F1 P 2800867 255
CB TM1 16A M1 P 2800856 254
CB TM1 16A SFB P 2800845 253
CB TM1 1A F1 P 2800858 255
CB TM1 1A M1 P 2800847 254
CB TM1 1A SFB P 2800836 215
CB TM1 2A F1 P 2800859 255
CB TM1 2A M1 P 2800848 254
CB TM1 2A SFB P 2800837 215
CB TM1 3A F1 P 2800860 255
CB TM1 3A M1 P 2800849 254
CB TM1 3A SFB P 2800838 215
CB TM1 4A F1 P 2800861 255
CB TM1 4A M1 P 2800850 254
CB TM1 4A SFB P 2800839 215
CB TM1 5A F1 P 2800862 255
CB TM1 5A M1 P 2800851 254
CB TM1 5A SFB P 2800840 215
CB TM1 6A F1 P 2800863 255
CB TM1 6A M1 P 2800852 254
CB TM1 6A SFB P 2800841 215
CB TM1 8A F1 P 2800864 255
CB TM1 8A M1 P 2800853 254
CB TM1 8A SFB P 2800842 253
CB TM2 0.5A F1 P 2800890 255
CB TM2 0.5A M1 P 2800879 255
CB TM2 0.5A SFB P 2800868 253
CB TM2 10A F1 P 2800898 255
CB TM2 10A M1 P 2800887 255
CB TM2 10A SFB P 2800876 253
CB TM2 12A F1 P 2800899 255
CB TM2 12A M1 P 2800888 255
CB TM2 12A SFB P 2800877 253
CB TM2 16A F1 P 2800900 255
CB TM2 16A M1 P 2800889 255
CB TM2 16A SFB P 2800878 253
CB TM2 1A F1 P 2800891 255
CB TM2 1A M1 P 2800880 255
CB TM2 1A SFB P 2800869 253
CB TM2 2A F1 P 2800892 255
CB TM2 2A M1 P 2800881 255
CB TM2 2A SFB P 2800870 253
CB TM2 3A F1 P 2800893 255
CB TM2 3A M1 P 2800882 255
CB TM2 3A SFB P 2800871 253
CB TM2 4A F1 P 2800894 255
CB TM2 4A M1 P 2800883 255
CB TM2 4A SFB P 2800872 253
CB TM2 5A F1 P 2800895 255
CB TM2 5A M1 P 2800884 255
CB TM2 5A SFB P 2800873 253
CB TM2 6A F1 P 2800896 255
CB TM2 6A M1 P 2800885 255
CB TM2 6A SFB P 2800874 253
CB TM2 8A F1 P 2800897 255
CB TM2 8A M1 P 2800886 255
CB TM2 8A SFB P 2800875 253
CBB 04 2X2RC-PT 2905238 259
CBB 08 2X4RC-PT 2905240 259
CBB 12 2X6RC-PT 2905241 259
CBM E4 24DC/0.5-10A NO-R 2905743 258
CBM E8 24DC/0.5-10A NO-R 2905744 258
CHECKMASTER 2 2905256 139
CM 2-PA-CTM 2905282 139
CM 2-PA-FLT/VAL-CP/SEC 2905283 139
CM 2-PA-PT/PLT 2905284 139
CM 2-PA-VAL-MS 2905265 139
CN-LAMBDA/4-0.47-BB 2800021 128
CN-LAMBDA/4-0.47-SB 2800022 128
CN-LAMBDA/4-2.25-BB 2801057 128
CN-LAMBDA/4-2.25-SB 2801056 128
CN-LAMBDA/4-5.9-BB 2838490 129
CN-LAMBDA/4-5.9-SB 2800023 129
CN-UB-280DC-3-BB 2801050 126
CN-UB-280DC-3-SB 2801051 126
CN-UB-70DC-6-BB 2803166 126
CN-UB-70DC-6-SB 2803153 126
CN-UB/E 2763691 127
CN-UB/E-BB 2817686 127
CN-UB/MP 2818135 126
CN-UB/MP-90DEG-50 2803137 126
CSMA-LAMBDA/4-2.0-BS-SET 2800491 129
CT 1-10-ES 2765547 119
CT 10-2/2-GS 2765398 118
CT 10-2/2-GS/3E 2765408 118
CT 10-2/2-GS/3E-110AC 2920829 118
CT 10-MB/ 3 2765372 119
CT 10-MB/10 2765385 119
CT 10-TL 2765356 119
CT-KDT 2765518 119
CT-TERMIBLOCK 10 DA 0441711 119
CTM 10-MAG 2838610 119
CTM 1X2- 12DC 2838597 116
CTM 1X2- 24DC 2838513 116
CTM 1X2- 60DC 2838568 116
CTM 1X2-110AC 2838539 116
CTM 2X1- 12DC 2838584 116
CTM 2X1- 24DC 2838500 116
CTM 2X1- 60DC 2838542 116
CTM 2X1-110AC 2838526 116
CTM 2X1-180DC-GS 2838636 117
CTM 2X1-180DC-GS-P 2838623 117
CTM EST 2838649 116
CTM ISDN 2838555 117
D
D-DEK 1,5 BK 2838995 94
D-DEK 1,5 BU 2838982 95
D-LAN-19"-12 2880150 113
D-LAN-19"-16 2880147 113
D-LAN-19"-20 2880134 113
D-LAN-19"-24 2838791 113
D-LAN-19"-4 2880176 113
D-LAN-19"-8 2880163 113
D-LAN-19"-D-P 2880192 113
D-LAN-CAT.5-FP 2800723 109
D-UFB-PB 2880642 112
DK-BIC-35 2749880 134
DT-LAN-CAT.6+ 2881007 108
DT-TELE-RJ45 2882925 114
DT-TELE-SHDSL 2801593 114
DT-UFB-485/BS 2920612 110
DT-UFB-IB-RB0 2800056 111
DT-UFB-IB-RBI 2800055 111
DT-UFB-V24/S-9-SB 2803069 109
DT-UFB-V24/S-SB-SET 2803072 109
E
EC-E 0,5A DC24V 0903041 269
EC-E 1A DC24V 0903042 269
EC-E 2A DC24V 0903043 269
EC-E 3A DC24V 0903044 269
EC-E 4A DC24V 0903045 269
EC-E 6A DC24V 0903046 269
EC-E 8A DC24V 0903047 269
EC-E 10A DC24V 0903048 269
EC-E 12A DC24V 0903049 269
EC-E1 0,5A 0903022 268
EC-E1 10A 0903030 268
EC-E1 12A 0903031 268
EC-E1 1A 0903023 268
EC-E1 2A 0903024 268
EC-E1 3A 0903025 268
EC-E1 4A 0903026 268
EC-E1 6A 0903028 268
EC-E1 8A 0903029 268
EC-E4 0,5A 0903040 268
EC-E4 10A 0903038 268
EC-E4 12A 0903039 268
EC-E4 1A 0903032 268
EC-E4 2A 0903033 268
EC-E4 3A 0903034 268
EC-E4 4A 0903035 268
EC-E4 6A 0903036 268
EC-E4 8A 0903037 268
ECP 4 0912034 267
ECP 6 0912033 267
ECP 1-2 0912018 267
ECP 10 0912020 267
ECP 2 0911034 267
ECP 3 0911047 267
ECP 3-6 0916536 267
ECP 8 0912019 267
ECP-E 1A 0900113 266
ECP-E 2A 0900210 266
ECP-E 3A 0900317 266
ECP-E 4A 0900414 266
ECP-E 6A 0900618 266
ECP-E 8A 0900812 266
ECP-E 10A 0901002 266
ECP-E-12A 0900126 266
ECP-E2-10A 0900100 267
ECP-E2-12A 0900207 267
ECP-E2-1A 0900139 267
ECP-E2-2A 0900236 267
ECP-E2-3A 0900333 267
ECP-E2-4A 0900430 267
ECP-E2-6A 0900634 267
ECP-E2-8A 0900838 267
ECP-E3 10A 0912050 267
ECP-E3 12A 0912052 267
ECP-E3 1A 0912041 267
ECP-E3 2A 0912042 267
ECP-E3 3A 0912043 267
ECP-E3 4A 0912044 267
ECP-E3 6A 0912046 267
ECP-E3 8A 0912048 267
EML (20XE)R 0803452 135
EML (20XE)R YE 0803453 135
F
F-MS 12 2817987 44
F-MS 12 ST 2817990 40
F-MS 12/FM 2817974 44
F-MS 2200/30 ST 2805392 48
F-MS 80 ST 2921307 49
F-MS-T1/T2 50 ST 2800191 36
FBS 2-6 3030336 252
FBS 2-6 BU 3036932 252
FBS 2-6 GY 3032237 252
FBS 3-6 3030242 252
FBS 3-6 BU 3036945 252
FBS 3-6 GY 3032240 252
FBS 4-6 3030255 252
FBS 4-6 BU 3036958 252
FBS 4-6 GY 3032279 252
FBS 5-6 3030349 252
FBS 5-6 BU 3036961 252
FBS 5-6 GY 3032266 252
FBS 10-6 3030271 252
FBS 10-6 BU 3032198 252
FBS 10-6 GY 3032253 252
FBS 2-18 2801068 47
FBS 20-6 3030365 252
FBS 20-6 BU 3032208 252
FBS 50-6 3032224 252
FBS 50-6 BU 3032211 252
FBST 500 TMC-N GY 0901028 268
FBST 500-PLC BU 2966692 268
FBST 500-PLC RD 2966786 268
FLT-ISG-100-EX 2905579 142
FLT-ISG-BR-11 2905580 143
FLT-ISG-BR-14 2905581 143
FLT-ISG-BR-18 2905582 143
FLT-ISG-BR-22 2905583 143
FLT-ISG-BR-26 2905757 143
FLT-ISG-BR-30 2905758 143
FLT-ISG-BR-33 2905759 143
FLT-ISG-BR-36 2905760 143
FLT-ISG-BR-39 2905761 143
FLT-ISG-BR-42 2905762 143
FLT-ISG-BR-48 2905763 143
FLT-ISG-BR-56 2905764 143
FLT-ISG-BR-62 2905765 143
FLT-ISG-CA-100 2905589 143
Index
Alphabetical
284
PHOENIX CONTACT

Type Order No. Page Type Order No. Page Type Order No. Page Type Order No. Page
FLT-ISG-CA-200 2905590 143
FLT-ISG-CA-300 2905591 143
FLT-ISG-PL-11 2905584 143
FLT-ISG-PL-14 2905586 143
FLT-ISG-PL-18 2905587 143
FLT-ISG-PL-22 2905588 143
FLT-ISG-PL-26 2905745 143
FLT-ISG-PL-30 2905746 143
FLT-ISG-PL-33 2905747 143
FLT-ISG-PL-36 2905754 143
FLT-ISG-PL-39 2905755 143
FLT-ISG-PL-42 2905756 143
FLT-SEC-H-T1-1C-264/25-FM 2801615 20
FLT-SEC-H-T1-264/25-P 2905968 20
FLT-SEC-H-T1-3C-264/25-FM 2905871 20
FLT-SEC-P-T1-1C-350/25-FM 2905414 24
FLT-SEC-P-T1-1C-440/25-FM 2905987 21
FLT-SEC-P-T1-1S-350/25-FM 2905415 23
FLT-SEC-P-T1-2C-350/25-FM 2905416 23
FLT-SEC-P-T1-2S-350/25-FM 2905418 23
FLT-SEC-P-T1-350/25-P 2905422 22
FLT-SEC-P-T1-3C-350/25-FM 2905419 22
FLT-SEC-P-T1-3C-440/25-FM 2905988 21
FLT-SEC-P-T1-3S-350/25-FM 2905421 22
FLT-SEC-P-T1-440/25-P 2905989 21
FLT-SEC-P-T1-N/PE-350/100-FM 2905472 24
FLT-SEC-P-T1-N/PE-350/100-P 2905473 22
FLT-SEC-T1+T2-1C-350/25-FM 2905465 27
FLT-SEC-T1+T2-1S-350/25-FM 2905466 27
FLT-SEC-T1+T2-2C-350/25-FM 2905467 26
FLT-SEC-T1+T2-2S-350/25-FM 2905468 26
FLT-SEC-T1+T2-3C-350/25-FM 2905469 25
FLT-SEC-T1+T2-3S-350/25-FM 2905470 25
FLT-SEC-T1-350/25-P 2905471 25
G
GEB-SET-T1/T2 TAE/TV-SAT 2801022 39
I
IFS-CONFSTICK 2986122 230
IFS-CONFSTICK-L 2901103 230
IFS-MINI-DIN-DATACABLE 2320487 231
IFS-OPEN-END-DATACABLE 2320450 231
IFS-RS232-DATACABLE 2320490 231
IFS-USB-DATACABLE 2320500 230
K
KBL-SAT/20 2880985 130
L
LIT 1X2-24 2804610 92
LIT 2X1-24 2804636 93
LIT 2X2-24 2804623 92
LIT 4-12 2804704 93
LIT 4-24 2804678 93
LIT 4X1-24 2804649 93
LM-S-A/C-3S-ETH 2800618 11
LM-S-C-3LS 2800617 11
LM-S-LS-H 2800616 10
M
ME 17,5 TBUS 1,5/ 5-ST-3,81 GN 2709561 182
ME 6,2 TBUS-2 1,5/5-ST-3,81KMGY 2969401 93
MINI MCR-SL-V8-FLK 16-A 2811268 92
MINI-BAT/12DC/1.6AH 2866572 243
MINI-BAT/12DC/2.6AH 2866569 243
MINI-BAT/24DC/0.8AH 2866666 242
MINI-BAT/24DC/1.3AH 2866417 240
MINI-DC-UPS/12DC/4 2866598 239
MINI-DC-UPS/24DC/2 2866640 239
MINI-PS- 10- 42AC/15-60DC/3 2320199 205
MINI-PS- 12- 24DC/ 5-15DC/2 2320018 204
MINI-PS- 12- 24DC/24DC/1 2866284 204
MINI-PS- 12- 24DC/48DC/0.7 2320021 205
MINI-PS- 48- 60DC/24DC/1 2866271 205
MINI-PS-100-240AC/ 5DC/3 2938714 184
MINI-PS-100-240AC/10-15DC/2 2938756 184
MINI-PS-100-240AC/10-15DC/8 2866297 185
MINI-PS-100-240AC/24DC/1.3 2866446 182
MINI-PS-100-240AC/24DC/1.5/EX 2866653 185
MINI-PS-100-240AC/24DC/2 2938730 183
MINI-PS-100-240AC/24DC/4 2938837 183
MINI-PS-100-240AC/24DC/C2LPS 2866336 183
MINI-PS-100-240AC/2X15DC/1 2938743 185
MINI-SYS-PS-100-240AC/24DC/1.5 2866983 182
MNT-1 CH II 2882255 56
MNT-1 D 2882200 56
MNT-1 D/WH 2882213 56
MNT-ISDN D 2882336 56
MNT-ISDN D/WH 2882349 56
MNT-NET B/F 2882226 56
MNT-TAE D 2882381 57
MNT-TAE D/WH 2882394 57
MNT-TEL B/F 2882404 57
MNT-TELE E 2882417 57
MNT-TELE S/WH 2880901 57
MNT-TV-SAT B/F 2882307 57
MNT-TV-SAT D 2882284 57
MNT-TV-SAT D/WH 2882297 57
MPB 18/1-57 2809238 135
N
NEF 1- 1 2794123 149
NEF 1- 3 2794110 149
NEF 1- 6 2783082 149
NEF 1-10 2788977 149
P
PA-CASE 2 2906272 139
PAS-1 2765615 134
PLT-SEC-T3-120-FM 2905228 31
PLT-SEC-T3-120-P 2905234 31
PLT-SEC-T3-230-FM 2905229 31
PLT-SEC-T3-230-P 2905235 31
PLT-SEC-T3-24-FM 2905223 31
PLT-SEC-T3-24-P 2905232 31
PLT-SEC-T3-3S-230-FM 2905230 30
PLT-SEC-T3-3S-230-P 2905236 30
PLT-SEC-T3-3S-BE 2905592 30
PLT-SEC-T3-60-FM 2905225 31
PLT-SEC-T3-60-P 2905233 31
PLT-SEC-T3-BE 2905557 31
PLT-T3-IT-230-FM 2906450 55
PLT-T3-IT-230-P 2906451 55
PT 1X2+F-BE 2856126 84
PT 1X2- 5DC-ST 2856016 84
PT 1X2-12AC-ST 2856045 85
PT 1X2-12DC-ST 2856029 84
PT 1X2-24AC-ST 2856058 85
PT 1X2-24DC-ST 2856032 84
PT 1X2-48DC-ST 2803658 84
PT 1X2-BE 2856113 84
PT 2+1-S-48DC-ST 2839648 54
PT 2+1-S-48DC/FM 2817958 54
PT 2-F-ST 2859000 88
PT 2-TELE 2882828 91
PT 2X1+F-BE 2856142 85
PT 2X1- 5DC-ST 2856061 85
PT 2X1-12AC-ST 2856090 85
PT 2X1-12DC-ST 2856074 85
PT 2X1-24AC-ST 2856100 85
PT 2X1-24DC-ST 2856087 85
PT 2X1-BE 2856139 85
PT 2X1-VF-120AC 2859327 87
PT 2X1-VF-120AC-ST 2856799 87
PT 2X1-VF-230AC 2805460 87
PT 2X1-VF-230AC-ST 2921365 87
PT 2X1VA- 60AC-ST 2839172 87
PT 2X1VA-120AC-ST 2839185 87
PT 2X1VA-230AC-ST 2839198 87
PT 2X2+F-BE 2839224 82
PT 2X2- 5DC-ST 2838241 82
PT 2X2-12AC-ST 2838270 83
PT 2X2-12DC-ST 2838254 82
PT 2X2-24AC-ST 2838283 83
PT 2X2-24DC-ST 2838228 82
PT 2X2-BE 2839208 82
PT 2X2-FF-ST 2800755 91
PT 2X2-HF- 5 DC-ST 2839567 91
PT 2X2-HF-12 DC-ST 2839570 91
PT 2X2-HF-24 DC-ST 2839729 91
PT 2XEX(I)-24DC-ST 2838225 89
PT 2XEX(I)-BE 2839279 89
PT 3-HF-12DC-ST 2858043 90
PT 3-PB-ST 2858030 90
PT 4+F-BE 2839415 86
PT 4- 5DC-ST 2839211 86
PT 4-12DC-ST 2839237 86
PT 4-24AC-ST 2800078 86
PT 4-24DC-ST 2839240 86
PT 4-BE 2839402 86
PT 4-EX(I)-24DC-ST 2839253 89
PT 4-EX(I)-BE 2839486 89
PT 4-F-ST 2858441 88
PT 4X1+F-BE 2839376 83
PT 4X1- 5DC-ST 2838306 83
PT 4X1-12AC-ST 2838348 83
PT 4X1-12DC-ST 2838319 83
PT 4X1-24AC-ST 2838351 83
PT 4X1-24DC-ST 2838322 83
PT 4X1-48AC-ST 2804856 83
PT 4X1-48DC-ST 2858014 83
PT 4X1-BE 2839363 83
PT 5-HF- 5 DC-ST 2838762 90
PT 5-HF-12 DC-ST 2838775 90
PT 5-HF-24DC-ST 2906002 90
PT MAIN-EST 2880736 54
PT MCR-EST 2880749 90
PT PE/S+1X2-24-ST 2819008 86
PT PE/S+1X2-BE 2856265 86
PT-BE/FM 2839282 87
PT-IQ-1X2+F-12DC-PT 2801254 75
PT-IQ-1X2+F-12DC-UT 2800975 75
PT-IQ-1X2+F-24DC-PT 2801256 75
PT-IQ-1X2+F-24DC-UT 2800977 75
PT-IQ-1X2+F-48DC-PT 2801258 75
PT-IQ-1X2+F-48DC-UT 2800979 75
PT-IQ-1X2+F-5DC-PT 2801252 75
PT-IQ-1X2+F-5DC-UT 2800792 75
PT-IQ-1X2-12DC-PT 2801253 74
PT-IQ-1X2-12DC-UT 2800793 74
PT-IQ-1X2-24DC-PT 2801255 74
PT-IQ-1X2-24DC-UT 2800976 74
PT-IQ-1X2-48DC-PT 2801257 74
PT-IQ-1X2-48DC-UT 2800978 74
PT-IQ-1X2-5DC-PT 2801251 74
PT-IQ-1X2-5DC-UT 2800791 74
PT-IQ-1X2-EX-24DC-P 2801514 81
PT-IQ-1X2-EX-24DC-UT 2801512 81
PT-IQ-1X2-TELE-P 2800782 80
PT-IQ-1X2-TELE-PT 2801290 80
PT-IQ-1X2-TELE-UT 2800769 80
PT-IQ-2X1+F-12DC-PT 2801246 75
PT-IQ-2X1+F-12DC-UT 2800781 75
PT-IQ-2X1+F-24DC-PT 2801248 75
PT-IQ-2X1+F-24DC-UT 2800788 75
PT-IQ-2X1+F-48DC-PT 2801250 75
PT-IQ-2X1+F-48DC-UT 2800790 75
PT-IQ-2X1+F-5DC-PT 2801244 75
PT-IQ-2X1+F-5DC-UT 2800779 75
PT-IQ-2X1-12DC-PT 2801245 75
PT-IQ-2X1-12DC-UT 2800780 75
PT-IQ-2X1-24DC-PT 2801247 75
PT-IQ-2X1-24DC-UT 2800787 75
PT-IQ-2X1-48DC-PT 2801249 75
PT-IQ-2X1-48DC-UT 2800789 75
PT-IQ-2X1-5DC-PT 2801243 75
PT-IQ-2X1-5DC-UT 2800778 75
PT-IQ-2X2+F-12DC-PT 2801262 77
PT-IQ-2X2+F-12DC-UT 2800985 77
PT-IQ-2X2+F-24DC-PT 2801264 77
PT-IQ-2X2+F-24DC-UT 2800981 77
PT-IQ-2X2+F-48DC-PT 2801266 77
PT-IQ-2X2+F-48DC-UT 2800987 77
PT-IQ-2X2+F-5DC-PT 2801260 77
PT-IQ-2X2+F-5DC-UT 2800809 77
PT-IQ-2X2-12DC-PT 2801261 76
PT-IQ-2X2-12DC-UT 2800984 76
PT-IQ-2X2-24DC-PT 2801263 76
PT-IQ-2X2-24DC-UT 2800980 76
PT-IQ-2X2-48DC-PT 2801265 76
PT-IQ-2X2-48DC-UT 2800986 76
PT-IQ-2X2-5DC-PT 2801259 76
PT-IQ-2X2-5DC-UT 2800807 76
PT-IQ-2X2-EX-24DC-P 2801515 81
PT-IQ-2X2-EX-24DC-UT 2801513 81
PT-IQ-3-HF+F-12DC-PT 2801289 79
PT-IQ-3-HF+F-12DC-UT 2800995 79
PT-IQ-3-HF-12DC-PT 2801288 78
PT-IQ-3-HF-12DC-UT 2800786 78
PT-IQ-3-PB+F-PT 2801287 79
PT-IQ-3-PB+F-UT 2800994 79
PT-IQ-3-PB-PT 2801286 78
PT-IQ-3-PB-UT 2800785 78
PT-IQ-4X1+F-12DC-PT 2801270 77
PT-IQ-4X1+F-12DC-UT 2801218 77
PT-IQ-4X1+F-24DC-PT 2801272 77
PT-IQ-4X1+F-24DC-UT 2800983 77
PT-IQ-4X1+F-48DC-PT 2801274 77
PT-IQ-4X1+F-48DC-UT 2801220 77
PT-IQ-4X1+F-5DC-PT 2801268 77
PT-IQ-4X1+F-5DC-UT 2801216 77
PT-IQ-4X1-12DC-PT 2801269 77
PT-IQ-4X1-12DC-UT 2801217 77
PT-IQ-4X1-24DC-PT 2801271 77
PT-IQ-4X1-24DC-UT 2800982 77
PT-IQ-4X1-48DC-PT 2801273 77
PT-IQ-4X1-48DC-UT 2801219 77
PT-IQ-4X1-5DC-PT 2801267 77
PT-IQ-4X1-5DC-UT 2801215 77
PT-IQ-5-HF+F-12DC-PT 2801295 79
PT-IQ-5-HF+F-12DC-UT 2800801 79
PT-IQ-5-HF+F-5DC-PT 2801292 79
PT-IQ-5-HF+F-5DC-UT 2800798 79
PT-IQ-5-HF-12DC-PT 2801293 79
PT-IQ-5-HF-12DC-UT 2800799 79
PT-IQ-5-HF-5DC-PT 2801291 79
PT-IQ-5-HF-5DC-UT 2800797 79
PT-IQ-PTB-PT 2801296 74
PT-IQ-PTB-UT 2800768 74
PV-SET 1000DC-SC/AC-3P-QPD 2801604 61
PV-SET 1ST/1000DC/1MPP-SPD-SC 2801529 60
PV-SET 2ST/1000DC-SPD-SD-SC 2801318 61
PV-SET 2ST/1000DC/2MPP-SPD-SC 2801317 60
PV-SET 3ST-SPD-FESD-SC 2901860 59
PV-SET 3ST/1000DC/3MPP-SPD-SC 2801531 61
PV-SET 4ST/1000DC/SPD-SC 2801297 59
PWT 100-800AC-FM 2800531 35
PWT 35-800AC-FM 2800419 34
PWT CCT-SET 2800532 35
PWT CCT-SET 4 2905613 35
Q
QUINT-BAT/24DC/ 3.4AH 2866349 241
QUINT-BAT/24DC/ 7.2AH 2866352 241
QUINT-BAT/24DC/12AH 2866365 241
QUINT-BUFFER/24DC/24DC/40 2320393 235
QUINT-DIODE/12-24DC/2X20/1X40 2320157 212
QUINT-DIODE/48DC/2X20/1X40 2320160 213
QUINT-ORING/24DC/2X10/1X20 2320173 208
QUINT-ORING/24DC/2X20/1X40 2320186 209
QUINT-ORING/24DC/2X40/1X80 2902879 209
QUINT-PS-ADAPTERS7/1 2938196 214
QUINT-PS-ADAPTERS7/2 2938206 214
QUINT-PS/ 3AC/24DC/20/CO 2320924 167
QUINT-PS/12DC/12DC/8 2905007 199
QUINT-PS/12DC/24DC/ 5 2320131 198
QUINT-PS/1AC/12DC/15 2866718 162
QUINT-PS/1AC/12DC/20 2866721 162
Index
Alphabetical
285
PHOENIX CONTACT

Type Order No. Page Type Order No. Page Type Order No. Page Type Order No. Page
QUINT-PS/1AC/24DC/ 3.5 2866747 158
QUINT-PS/1AC/24DC/ 5 2866750 158
QUINT-PS/1AC/24DC/ 5/CO 2320908 166
QUINT-PS/1AC/24DC/10 2866763 159
QUINT-PS/1AC/24DC/10/CO 2320911 167
QUINT-PS/1AC/24DC/20 2866776 159
QUINT-PS/1AC/24DC/20/CO 2320898 167
QUINT-PS/1AC/24DC/40 2866789 159
QUINT-PS/1AC/48DC/ 5 2866679 163
QUINT-PS/1AC/48DC/10 2866682 163
QUINT-PS/1AC/48DC/20 2866695 163
QUINT-PS/24DC/12DC/ 8 2320115 197
QUINT-PS/24DC/24DC/ 5 2320034 196
QUINT-PS/24DC/24DC/ 5/CO 2320542 202
QUINT-PS/24DC/24DC/10 2320092 196
QUINT-PS/24DC/24DC/10/CO 2320555 202
QUINT-PS/24DC/24DC/20 2320102 197
QUINT-PS/24DC/24DC/20/CO 2320568 203
QUINT-PS/24DC/48DC/ 5 2320128 197
QUINT-PS/2AC/1DC/24DC/20 2320830 165
QUINT-PS/3AC/24DC/ 5 2866734 160
QUINT-PS/3AC/24DC/10 2866705 161
QUINT-PS/3AC/24DC/20 2866792 161
QUINT-PS/3AC/24DC/40 2866802 161
QUINT-PS/3AC/48DC/20 2320827 164
QUINT-PS/48DC/24DC/ 5 2320144 200
QUINT-PS/48DC/48DC/5 2905008 201
QUINT-PS/60-72DC/24DC/10 2905009 201
QUINT-PS/60-72DC/24DC/10/CO 2905011 203
QUINT-PS/96-110DC/24DC/10 2905010 201
QUINT-PS/96-110DC/24DC/10/CO 2905012 203
QUINT-PS/FAN/4 2320076 214
QUINT-UPS/ 1AC/ 1AC/500VA 2320270 223
QUINT-UPS/ 24DC/ 24DC/ 5 2320212 220
QUINT-UPS/ 24DC/ 24DC/ 5/1.3AH 2320254 234
QUINT-UPS/ 24DC/ 24DC/10 2320225 221
QUINT-UPS/ 24DC/ 24DC/10/3.4AH 2320267 234
QUINT-UPS/ 24DC/ 24DC/20 2320238 221
QUINT-UPS/ 24DC/ 24DC/40 2320241 221
QUINT-UPS/ 24DC/12DC/5/24DC/10 2320461 222
R
RAD-ADP-N/M-SMA/F 2917036 126
RAD-PIG-EF316-MCX-N 2867681 126
RAD-PIG-EF316-N-SMA 2867694 128
S
S-PT-1X2-24DC 2880668 98
S-PT-1X2-24DC-1/2" 2882569 98
S-PT-1X2-24DC-3/4" 2882598 98
S-PT-2XEX-24DC 2800040 99
S-PT-2XEX-24DC-1/2" 2800041 99
S-PT-2XEX-48DC 2800038 99
S-PT-2XEX-48DC-1/2" 2800039 99
S-PT-4-EX-24DC 2800036 99
S-PT-4-EX-24DC-1/2" 2800037 99
S-PT-EX(I)-24DC 2880671 98
S-PT-EX(I)-24DC-1/2" 2882572 98
S-PT-EX(I)-24DC-3/4" 2882585 98
S-PT-EX-24DC 2800034 99
S-PT-EX-24DC-1/2" 2800035 99
S-PT-EX-48DC 2800053 99
S-PT-EX-48DC-1/2" 2800054 99
SFP 1-10/120AC 2920670 147
SFP 1-15/120AC 2920683 147
SFP 1-20/120AC 2856702 146
SFP 1-20/230AC 2859987 146
SFP 1-5/120AC 2920667 147
SPRING-LOCK 0713009 265
SSA 3-6 2839295 135
SSA 5-10 2839512 135
ST 4-FSI/C 3036372 262
ST 4-FSI/C-LED 12 3036495 262
ST 4-FSI/C-LED 24 3036505 262
STEP-BAT/LIPO/18.5DC/1.4AH 2320364 236
STEP-DIODE/5-24DC/2X5/1X10 2868606 213
STEP-PS/ 1AC/ 5DC/2 2320513 190
STEP-PS/ 1AC/ 5DC/6.5 2868541 191
STEP-PS/ 1AC/12DC/1 2868538 192
STEP-PS/ 1AC/12DC/1.5 2868567 193
STEP-PS/ 1AC/12DC/1.5/FL 2868554 192
STEP-PS/ 1AC/12DC/3 2868570 193
STEP-PS/ 1AC/12DC/5 2868583 193
STEP-PS/ 1AC/15DC/4 2868619 191
STEP-PS/ 1AC/24DC/0.5 2868596 186
STEP-PS/ 1AC/24DC/0.75 2868635 187
STEP-PS/ 1AC/24DC/0.75/FL 2868622 187
STEP-PS/ 1AC/24DC/1.75 2868648 188
STEP-PS/ 1AC/24DC/2.5 2868651 188
STEP-PS/ 1AC/24DC/3.8/C2LPS 2868677 189
STEP-PS/ 1AC/24DC/4.2 2868664 189
STEP-PS/ 1AC/48DC/2 2868680 191
STEP-PS/277AC/24DC/3.5 2904945 189
STEP-PS/48AC/24DC/0.5 2868716 187
STEP-UPS/12DC/12DC/4 2868693 236
STEP-UPS/24DC/24DC/3 2868703 236
SVP 2E- 48AC 2788919 118
SVP 2E-110AC 2765534 118
SVP 3E-110AC 2765521 118
SZS 0,6X3,5 1205053 268
T
TAE-TRAB FM-NFN-AP 2749628 115
TCP 0,25A 0712123 263
TCP 0,5A 0712152 263
TCP 1A 0712194 263
TCP 2A 0712217 263
TCP 3A 0712233 263
TCP 4A 0712259 263
TCP 5/DC32V 0700005 262
TCP 6A 0712275 263
TCP 7,5/DC32V 0700007 262
TCP 8A 0712291 263
TCP 10/DC32V 0700010 262
TCP 10A 0712314 263
TCP 15/DC32V 0700015 262
TCP 20/DC32V 0700020 262
TCP 25/DC32V 0700025 262
TCP 30/DC32V 0700030 262
TCP 40/DC32V 0700040 262
TG 40 2788896 134
TMC 1 F1 100 0,2A 0914015 265
TMCP 1 F1 300 0,2A 0915506 265
TMCP CONNECT LR 0916592 265
TMCP SB 0916602 265
TMCP SOCKET M 0916589 265
TRIO-DIODE/12-24DC/2X10/1X20 2866514 210
TRIO-DIODE/48DC/2X10/1X20 2866527 211
TRIO-PS-2G/1AC/24DC/10 2903149 169
TRIO-PS-2G/1AC/24DC/20 2903151 169
TRIO-PS-2G/1AC/24DC/3/C2LPS 2903147 168
TRIO-PS-2G/1AC/24DC/5 2903148 169
TRIO-PS-2G/3AC/24DC/10 2903154 171
TRIO-PS-2G/3AC/24DC/20 2903155 171
TRIO-PS-2G/3AC/24DC/5 2903153 170
TRIO-PS/1AC/12DC/ 5 2866475 172
TRIO-PS/1AC/12DC/10 2866488 173
TRIO-PS/1AC/48DC/ 5 2866491 173
TRIO-PS/1AC/48DC/10 2866501 173
TRIO-PS/3AC/24DC/40 2866404 171
TRIO-PS/600DC/24DC/20 2866530 172
TRIO-UPS/1AC/24DC/ 5 2866611 238
TT-2-PE- 24DC 2838186 94
TT-2-PE-110AC 2858483 94
TT-2-PE-M-24DC 2920641 94
TT-2-PE/S1- 24DC 2839538 95
TT-2-PE/S1-M-24DC 2920638 95
TT-2/2- 24DC 2838173 95
TT-2/2-M-24DC 2920722 95
TT-D-2-PE-M-BK 2920654 94
TT-D-2-PE-M-BU 2803878 95
TT-D-ST-BU 2856773 97
TT-D-STTCO-BK 2858894 96
TT-EX(I)- 24DC 2832124 95
TT-EX(I)-M-24DC 2803865 95
TT-ST-2-PE-24DC 2858878 96
TT-ST-2-PE/S2-24DC 2801458 97
TT-ST-2/2-24DC 2858881 96
TT-ST-2/2-S-12DC 2921310 97
TT-ST-2/2-S-24DC 2920735 97
TT-ST-M-2-PE-24AC 2858920 96
TT-ST-M-2-PE-24DC 2858904 96
TT-ST-M-2/2-24AC 2858933 96
TT-ST-M-2/2-24DC 2858917 96
TT-ST-M-EX(I)-24DC 2859424 97
TT-ST-M-SFP-24AC 2858946 148
U
UC-TM 6 GN 0818360 135
UK 6-FSI/C 3118203 262
UK 6-FSI/C-LED12 3001925 262
UK 6-FSI/C-LED24 3001938 262
UNO-DIODE/5-24DC/2X10/1X20 2905489 213
UNO-PS/1AC/ 5DC/ 25W 2904374 178
UNO-PS/1AC/ 5DC/ 40W 2904375 178
UNO-PS/1AC/12DC/ 30W 2902998 177
UNO-PS/1AC/12DC/ 55W 2902999 177
UNO-PS/1AC/12DC/100W 2902997 177
UNO-PS/1AC/15DC/ 55W 2903001 179
UNO-PS/1AC/15DC/100W 2903002 179
UNO-PS/1AC/15DC/30W 2903000 179
UNO-PS/1AC/24DC/ 30W 2902991 174
UNO-PS/1AC/24DC/ 60W 2902992 174
UNO-PS/1AC/24DC/100W 2902993 175
UNO-PS/1AC/24DC/150W 2904376 175
UNO-PS/1AC/24DC/240W 2904372 175
UNO-PS/1AC/24DC/90W/C2LPS 2902994 176
UNO-PS/1AC/48DC/ 60W 2902995 180
UNO-PS/1AC/48DC/100W 2902996 180
UNO-PS/2AC/24DC/90W/C2LPS 2904371 176
UNO-UPS/24DC/24DC/60W 2905907 237
UPS-BAT/LI-ION/24DC/120WH 2320351 225
UPS-BAT/VRLA-WTR/24DC/13AH 2320416 228
UPS-BAT/VRLA-WTR/24DC/26AH 2320429 228
UPS-BAT/VRLA/24DC/ 1.3AH 2320296 226
UPS-BAT/VRLA/24DC/ 3.4AH 2320306 226
UPS-BAT/VRLA/24DC/ 7.2AH 2320319 227
UPS-BAT/VRLA/24DC/12AH 2320322 227
UPS-BAT/VRLA/24DC/38AH 2320335 227
UPS-CAP/24DC/10A/10KJ 2320377 224
UPS-CAP/24DC/20A/20KJ 2320380 224
UPS-CONF 2320403 230
UT 6-TMC M 0,5A 0916603 264
UT 6-TMC M 10A 0916610 264
UT 6-TMC M 12A 0916611 264
UT 6-TMC M 15A 0916612 264
UT 6-TMC M 16A 0916613 264
UT 6-TMC M 1A 0916604 264
UT 6-TMC M 2A 0916605 264
UT 6-TMC M 4A 0916606 264
UT 6-TMC M 5A 0916607 264
UT 6-TMC M 6A 0916608 264
UT 6-TMC M 8A 0916609 264
UWA 130 2901664 215
UWA 182/52 2938235 215
V
VAL-CP-350-ST 2859602 61
VAL-CP-350-ST-GY 2882718 51
VAL-CP-MCB-1S-350/40/FM 2882763 53
VAL-CP-MCB-3C-350/40/FM 2882776 53
VAL-CP-MCB-3S-350/40/FM 2882750 53
VAL-CP-MOSO 60-3C-FM 2804416 52
VAL-CP-MOSO 60-3S-FM 2804403 52
VAL-CP-N/PE-350-ST 2859699 61
VAL-CP-N/PE-350-ST-GY 2882734 51
VAL-CP-RCD-3S/40/0.03 2882802 51
VAL-CP-RCD-3S/40/0.3/SEL 2808001 51
VAL-MS 60 ST 2807573 44
VAL-MS 1000DC-PV-ST 2800624 58
VAL-MS 1000DC-PV/2+V 2800628 58
VAL-MS 1000DC-PV/2+V-FM 2800627 58
VAL-MS 120 ST 2807586 45
VAL-MS 230 2839127 44
VAL-MS 230 IT ST 2807599 45
VAL-MS 230 ST 2798844 40
VAL-MS 230/1+1 2804429 41
VAL-MS 230/1+1-FM 2804432 41
VAL-MS 230/2+0 2800103 41
VAL-MS 230/2+0-FM 2800102 41
VAL-MS 230/3+1 2838209 40
VAL-MS 230/3+1 FM 2838199 40
VAL-MS 230/FM 2839130 44
VAL-MS 3+V-BE 2905859 59
VAL-MS 320 ST 2838843 40
VAL-MS 320-UD ST 2858315 40
VAL-MS 320/1+1 2804380 41
VAL-MS 320/1+1-FM 2804393 41
VAL-MS 320/3+0 2920230 41
VAL-MS 320/3+0-FM 2920243 41
VAL-MS 320/3+1 2859178 40
VAL-MS 320/3+1/FM 2859181 40
VAL-MS 320/3+1/FM-UD 2856689 40
VAL-MS 350 VF ST 2856595 42
VAL-MS 350 VF/1+1 2901865 43
VAL-MS 350 VF/1+1-FM 2902577 43
VAL-MS 350 VF/3+0 2901861 42
VAL-MS 350 VF/3+0-FM 2901862 42
VAL-MS 350 VF/3+1 2858755 42
VAL-MS 350 VF/FM 2856579 43
VAL-MS 350VF 2856582 43
VAL-MS 350VF/3+1-FM 2858632 42
VAL-MS 385/65 ST 2920308 49
VAL-MS 385/65/3+0 2921019 49
VAL-MS 385/65/3+0-FM 2921006 49
VAL-MS 385/65/3+1 2920890 49
VAL-MS 385/65/3+1-FM 2920887 49
VAL-MS 385/80 ST 2920353 49
VAL-MS 385/80/3+0 2921093 49
VAL-MS 385/80/3+0-FM 2921080 49
VAL-MS 385/80/3+1 2920971 49
VAL-MS 385/80/3+1-FM 2920968 49
VAL-MS 400 ST 2816399 45
VAL-MS 500 ST 2807609 45
VAL-MS 580-ST 2920434 41
VAL-MS 580/3+0 2920450 41
VAL-MS 580/3+0-FM 2920447 41
VAL-MS 60 2868020 44
VAL-MS 60/FM 2868033 44
VAL-MS 600DC-PV-ST 2800623 58
VAL-MS 600DC-PV/2+V 2800642 58
VAL-MS 600DC-PV/2+V-FM 2800641 58
VAL-MS 75 VF ST 2805318 47
VAL-MS 750/30-ST 2920256 48
VAL-MS 750/30/3+0 2920269 48
VAL-MS 750/30/3+0-FM 2920272 48
VAL-MS 800/30 VF/FM 2805402 48
VAL-MS BE 2817741 46
VAL-MS BE-AR 2801065 47
VAL-MS BE-AR/FM 2801066 47
VAL-MS BE/FM 2817738 46
VAL-MS-AR 350 VF 2801489 47
VAL-MS-AR 350 VF/FM 2801490 47
VAL-MS-AR 75 VF 2801487 47
VAL-MS-AR 75 VF/FM 2801488 47
VAL-MS-AR-T1/T2 75 2801491 47
VAL-MS-AR-T1/T2 75/FM 2801492 47
VAL-MS-T1/T2 1000DC-PV-ST 2801162 58
VAL-MS-T1/T2 1000DC-PV/2+V 2801160 58
VAL-MS-T1/T2 1000DC-PV/2+V-FM 2801161 58
VAL-MS-T1/T2 1000DCPV-UD-ST 2801231 59
VAL-MS-T1/T2 175/12.5 ST 2800676 36
VAL-MS-T1/T2 175/12.5/1+0 2801043 37
VAL-MS-T1/T2 175/12.5/1+0-FM 2801044 37
VAL-MS-T1/T2 175/12.5/1+1 2800675 37
VAL-MS-T1/T2 175/12.5/1+1-FM 2800674 37
VAL-MS-T1/T2 175/12.5/3+0 2800673 37
VAL-MS-T1/T2 175/12.5/3+0-FM 2800672 37
VAL-MS-T1/T2 175/12.5/3+1 2800671 36
Index
Alphabetical
286
PHOENIX CONTACT

Type Order No. Page Type Order No. Page
287
PHOENIX CONTACT
Index
Alphabetical
VAL-MS-T1/T2 175/12.5/3+1-FM 2800670 36
VAL-MS-T1/T2 335/12.5 ST 2800190 36
VAL-MS-T1/T2 335/12.5/1+0 2801041 37
VAL-MS-T1/T2 335/12.5/1+0-FM 2801042 37
VAL-MS-T1/T2 335/12.5/1+1 2800187 37
VAL-MS-T1/T2 335/12.5/1+1-FM 2800186 37
VAL-MS-T1/T2 335/12.5/3+0 2800189 37
VAL-MS-T1/T2 335/12.5/3+0-FM 2800188 37
VAL-MS-T1/T2 335/12.5/3+1 2800184 36
VAL-MS-T1/T2 335/12.5/3+1-FM 2800183 36
VAL-MS-T1/T2 335/12.5/4+0 2800645 36
VAL-MS-T1/T2 335/12.5/4+0-FM 2800644 36
VAL-MS-T1/T2 48/12.5 ST 2801242 38
VAL-MS-T1/T2 48/12.5/1+0 2801241 38
VAL-MS-T1/T2 48/12.5/1+0-FM 2801240 38
VAL-MS-T1/T2 48/12.5/1+1V 2801532 38
VAL-MS-T1/T2 48/12.5/1+1V-FM 2801533 38
VAL-MS-T1/T2 600DC-PV-ST 2801165 58
VAL-MS-T1/T2 600DC-PV/2+V 2801163 58
VAL-MS-T1/T2 600DC-PV/2+V-FM 2801164 58
VAL-MS-T1/T2 75/12.5 ST 2801146 47
VAL-MS/2+0-BE 2804584 46
VAL-MS/2+0-BE/FM 2805321 46
VAL-MS/3+0-BE 2881816 45
VAL-MS/3+0-BE/FM 2881803 45
VAL-MS/4+0-BE/FM RN. 2906484 46
VAL-SEC-T2-175-P 2905355 28
VAL-SEC-T2-1S-175-FM 2905348 29
VAL-SEC-T2-1S-350 2905341 29
VAL-SEC-T2-1S-350-FM 2905333 29
VAL-SEC-T2-2C-175-FM 2905350 29
VAL-SEC-T2-2C-350 2905342 29
VAL-SEC-T2-2C-350-FM 2905337 29
VAL-SEC-T2-2S-175-FM 2905351 29
VAL-SEC-T2-2S-350 2905343 29
VAL-SEC-T2-2S-350-FM 2905338 29
VAL-SEC-T2-350-P 2905346 25
VAL-SEC-T2-3C-175-FM 2905353 28
VAL-SEC-T2-3C-350 2905344 28
VAL-SEC-T2-3C-350-FM 2905339 28
VAL-SEC-T2-3S-175-FM 2905354 28
VAL-SEC-T2-3S-350 2905345 28
VAL-SEC-T2-3S-350-FM 2905340 28
VAL-SEC-T2-N/PE-175-P 2905356 28
VAL-SEC-T2-N/PE-350-P 2905347 28
VAL-US 120 ST 2800739 46
VAL-US 240 ST 2800740 46
VAL-US 277 ST 2800741 46
VAL-US 347 ST 2800742 46
VAL-US 480 ST 2800743 46
VAL-US 60 ST 2800738 46
VIP-2/SC/PDM-2/16 2315256 214
VIP-2/SC/PDM-2/24 2315269 214
VIP-2/SC/PDM-2/32 2315272 214
VIP-2/SC/PDM-2/48 2903717 214
VIP-CAB-FLK16/FR/FR/0,14/0,5M 2900154 92
VIP-CAB-FLK16/FR/FR/0,14/1,0M 2900155 92
VIP-CAB-FLK16/FR/FR/0,14/2,0M 2900156 92
Z
ZB 12:UNPRINTED 0812120 135
ZBN 18 CUS 0825059 135
